Abstract
Finite-size effects occurring for quasi-bound states in the continuum (qBICs) formed in symmetric and asymmetric all-dielectric waveguide grating couplers are investigated using numerical simulations for different configuration parameters. We find that the beam size plays a crucial role in the formation of additional qBIC resonances originating in forbidden for plane-wave incidence BIC resonances, whose manifestation is strongly influenced by the beam divergence. Another parameter is the strength of Bragg reflection, determining the spatial extension of a distributed Bragg resonator (DBR): in configurations with strong Bragg reflection, the excited and Bragg reflected counterpropagating waveguide modes are confined within the footprint of the incident beam. Conversely, the DBR formed in configurations with weak Bragg reflection extends well beyond the incident beam footprint, resulting in high sensitivity of the system response to the grating width and incident beam position. We believe that our findings provide valuable insights for optimizing photonic devices that leverage qBIC resonances in finite-sized structures under realistic excitation conditions.
1 Introduction
In 1929, Von Neumann and Wigner found localized solutions of the Schrodinger equation for a single particle, where energies of these eigenstates lie in the continuum of the eigenvalue state solutions, the so-called Bound States in the Continuum (BICs) [1], [2]. Over time, the particular interest in investigating these embedded states led to their experimental realization [3], [4], [5], [6]. BICs are characterized as non-radiating resonant modes in open non-Hermitian systems, where their energy remains perfectly localized with an infinite lifetime, despite residing within the continuous spectrum of radiative waves. These modes being decoupled from radiating channels, prevent propagation outside the system. According to theory, BICs can give rise to infinite quality factors (Q-factor), with several types of excitation mechanisms based on their physical origins [7], [8], [9]. The Friedrich-Wintgen BIC mechanism, resulting from destructive interference between two resonant leaky modes in the same cavity, is one of the most studied methods [10], [11], [12], [13], [14]. For periodic photonic structures this type can be realized, if the mode frequency is below the frequency of excitation under normal light incidence and the structure is invariant under the time-reversal, in-plane inversion.
On the other hand, any perturbation in the ideal system, results in the collapse of BIC to a Fano resonance with a finite lifetime, a regime that is known as quasi-BIC (qBIC) and characterized by its inversely quadratic dependence of Q-factor on the perturbation [9]. Another interesting regime is the so-called “near BIC,” at which very high Q factors are still attainable in the vicinity of the BIC [15]. A central advantage of the near-BIC regime is that, unlike regular guided modes below the light line, the modes in this regime can be excited by free propagating plane waves.
Investigations of all these resonances have rapidly accumulated to constitute a cornerstone in modern photonics, offering unique opportunities for designing high-Q resonant systems with applications spanning sensing, lasing, and nonlinear optics [6], [8], [16], [17], [18], [19], [20]. While much progress has been made in understanding BICs and qBICs in idealized, infinite structures, real-world implementations that inevitably deviate from these theoretical paradigms are practically unexplored. Two critical factors that influence the behavior of these resonances are the finite size of photonic structures and the finite spatial extension of excitation beams. While several studies have explored the influence of finite structure size under plane wave illumination [21], [22], [23], combined effects of both the finite structure size and the finite size of excitation beam on the transmittance/reflectance spectra remain largely unexplored. Especially from the practical viewpoint, one would like to know how narrow the grating and incident beam can be without jeopardizing the resonant effects observed for infinitely extended gratings and plane incident waves. Hence, investigating influence of these factors on resonant interactions in photonic structures is still essential to bridge the gap between theoretical predictions and experimental realizations.
In this work, we investigate all-dielectric symmetric and asymmetric waveguide grating couplers based on the waveguide configuration investigated previously [13] but consider here the grating couplers that are finite in size and excited with (normally incident) finite-size Gaussian beams. We keep using in this work the previously introduced terminology, such as waveguide grating couplers for the sake of consistency, although gratings placed atop waveguides are often termed as resonant waveguide gratings (RWGs) when operating at the wavelength ensuring resonant excitation of waveguide modes [13], [24]. The essential physics remains however the same: the resonant excitation of waveguide modes under normal light incidence, taking place at the first diffraction order, is intrinsically linked to the occurrence of Bragg reflection of counterpropagating waveguide modes, taking place at the second diffraction order, and results thereby in the formation of a distributed Bragg resonator (DBR) along with BIC and qBIC resonances [13]. We note that the physical effects associated with finite sizes of incident beam and grating coupler are very different in nature. Finite-size beams have different angular spectra that influence the efficiency of mode excitation (i.e., the efficiency of mode phase-matching) and the excitation spectrum because the BIC dispersion becomes accessible at oblique incidence [13]. At the same time, finite-size gratings influence the DBR formation for a particular excited waveguide mode. We therefore first study the finite size effects by varying the excitation Gaussian beam radius to determine the smallest beam radius that ensures a practically complete transmission extinction of a normally incident beam with reasonably large gratings. Then, by varying the grating width and position of the excitation beam for the two gratings with different parameters that influence the Bragg reflection strength and thereby the spatial extension of the DBR, we explicitly reveal the importance of the grating width and Gaussian beam radius for manifestation of qBIC resonances: weaker Bragg reflection requires wider gratings and incident excitation beams for maintaining close to complete transmission extinction of the incident beam. In the opposite case of strong Bragg reflection, the excited and Bragg reflected counterpropagating waveguide modes are confined within the footprint of the incident beam. Our findings provide crucial insights that bridge the gap between theoretical models of infinite structures and practicalities of experimental work.
2 Results and discussion
The formal design of the photonic structure we study is shown on Figure 1a, which consists of a planar waveguide with a grating (periodic dielectric stripes) of finite lateral size on top. In our recent work we thoroughly investigated occurrence of BIC and qBIC resonances in similar structures with infinite gratings, under a plane wave incidence [13]. Despite the differences, the physical mechanisms involved in the resonance formation are the same, i.e., the resonant excitation of waveguide modes with the grating in the first diffraction order and the inherent Bragg reflection of those counterpropagating waveguide modes in the second diffraction order.

Schematic of the thin-film waveguide configuration with a grating coupler of finite size on its top (a). Off-center excitation of waveguide modes with a Gaussian beam characterized with the waist radius w o and beam offset Δ by a grating coupler with the period P o and width L (b).
In our previous work we have shown that, from the viewpoint of interplay between the diffractive coupling to counterpropagating waveguide modes and their Bragg reflection within the same grating, there exists a conceptual difference when considering symmetric and asymmetric gratings [13]. Therefore, we consider here two grating couplers: a symmetric grating with periodically distributed identical dielectric stripes and an asymmetric one, in which every second strip is perturbed in width. In the case of symmetric gratings, the waveguide mode wavelength (λ w) should be equal to the grating period P o for enabling the mode excitation in the first diffraction order, while the DBR condition implies 2P o = mλ w, where m is the order of Bragg reflection. These two conditions are satisfied only in the case of second order Bragg reflection. Asymmetric grating, on the other hand, consists of periodic dielectric stripes with period of P o/2, while the supercell period is kept the same (P o) to maintain the first-order excitation of waveguide modes at the same wavelengths. Thus, in this case, we still rely on the excitation in the first diffraction order (λ w = P o), whereas the DBR condition is modified due to the existence of a twice smaller period of (unperturbed) individual stripes in the system, entailing the following condition: P o = mλ w. Here one ends up with a distinctly different physics, since the mode excitation occurs only due to the stripe width perturbation, while the Bragg reflection is realized in the first order of a strong grating of unperturbed stripes.
To understand the influence of the beam size on the waveguide mode excitation and consequent formation of BIC and qBIC resonances we begin our analysis with a symmetric grating coupler of the period P o = 1,200 nm and lateral size of L ≈ 100 μm (Figure 1b; the structure is infinite along the grating stripes). A 1.2 μm-thin film of Al2O3 on a 500 μm-thick MgF2 substrate serves as a waveguiding configuration, while the grating is formed by 50-nm-high and 880-nm-wide germanium stripes (Figure 2a). All the parameters are chosen to be consistent with the ones from our previous investigation [13]. The simulations are performed for 2D models in the commercially available finite element software COMSOL Multiphysics 6.2 with a typical mesh size of 20 nm for the ridges and 100 nm elsewhere. Interpolated values are used for the permittivity of Al2O3 [25], MgF2 [26], Ge [27]. The transmission spectra of a normally incident TE-polarized Gaussian beam calculated for different beam waist radii (w o) are shown in Figure 2a for the beam being centered (offset Δ = 0). For the reference, the transmission spectrum of a normally incident plane wave is also presented alongside (empty circles in Figure 2a). It is seen that, for relatively wide Gaussian beams (w o = 40 and 80 μm), there is practically no difference in the transmission spectra when compared with the plane wave incidence: the transmission is completely extinct at the resonant wavelengths corresponding to the excitation of fundamental and first transverse electric (TE) modes [13], and these wavelengths remain practically the same. The transmission spectrum becomes completely different for the small beam radius (w o = 5 μm, the blue curve in Figure 2a). In this case, one observes the occurrence of an additional resonance minimum at the long-wavelength side of the (shifted to a shorter wavelength) minimum corresponding to that observed for the plane-wave and wide-beam normal incidences. Note that the new long-wavelength minimum for the fundamental mode is outside of the considered wavelength interval.
![Figure 2:
Transmission spectra for normal Gaussian beam incidence at the 100-μm-wide symmetric grating coupler calculated for different beam waist radii w
o (a). Dispersion curves calculated for the normal plane-wave incidence at the infinitely wide grating coupler [13] along with angular (spatial frequency) spectra of Gaussian beams with different beam waist radii corresponding to the selected transmission calculations (b).](/document/doi/10.1515/nanoph-2024-0731/asset/graphic/j_nanoph-2024-0731_fig_002.jpg)
Transmission spectra for normal Gaussian beam incidence at the 100-μm-wide symmetric grating coupler calculated for different beam waist radii w o (a). Dispersion curves calculated for the normal plane-wave incidence at the infinitely wide grating coupler [13] along with angular (spatial frequency) spectra of Gaussian beams with different beam waist radii corresponding to the selected transmission calculations (b).
The occurrence of additional transmission minima for the narrow-beam normal incidence is apparently similar (although with noticeable differences in the perceived Q-factors) to what was observed for off-normal plane-wave incidence in our previous work: that has also resulted in the occurrence of additional minima at the long-wavelength side and blueshifts of the minima related to the normal plane-wave incidence [13]. The physical mechanisms at play are also similar. Indeed, the spatial frequency spectra of finite-size Gaussian beams contain non-zero spatial frequencies corresponding to non-zero angles of incidence of plane-wave components originating from the plane-wave decomposition of Gaussian beams, with narrower beams resulting in wider spatial frequency spectra and larger incident angles (Figure 2b). For the narrow (5-μm-wide) incident beam, the (non-zero) plane-wave components associated with the off-normal incidence destroy partially the BIC symmetry protection and thereby result in the occurrence of the additional transmission minima at the (longer) wavelengths (Figure 2a) corresponding to the lower, BIC related, dispersion curves calculated for the normal plane-wave incidence at the infinite grating coupler (Figure 2b). The additional minimum observed in Figure 2a is understandably broader than those calculated for off-normal incident plane waves [13] because it is caused by the angular spectrum of incident plane-wave components as opposed to one specific off-normal incident wave. The pronounced (for the narrow beam) blueshifts of the original minima associated with the qBIC resonances [13] correspond to the qBIC-related dispersion curves tending to higher frequencies (shorter wavelengths) away from the normal incidence (Figure 2). Note that, for different incident beams, there might appear different minimum-like spectral features (at longer wavelengths) related to different plane-wave components within the angular spread of the incident beam spatial frequency spectrum. In fact, any finite-sized normally incident beam generates off-normal incident plane-wave components, that should result in more (for narrower beams) or less (for wider beams) pronounced additional spectral features at the long-wavelength side of the original, qBIC related, resonance that becomes progressively (for narrower beams) wider and more shifted to shorter wavelengths, features that can also be inferred from the transmission spectra and dispersion curves shown in Figure 2.
At this point, we would like to comment on the terminology used to describe the considered physical phenomena. For normally incident (on infinite gratings couplers) plane waves, the resonant excitation of counterpropagating waveguide modes is intrinsically linked to the DBR formation and occurrence of the band gap revealed with two dispersion branches starting off the associated BIC and qBIC resonances (Figure 2b). The off-axis points of the BIC-related dispersion are accessible with off-normal plane-wave incidence, resulting in narrow resonance-like transmission minima [13]. These resonances are typically referred to as guided-mode (GM) resonances [24] or near-BIC resonances [14]. However, at off-normal incidence, the Bragg reflection of the excited waveguide mode can no longer be guaranteed since the Bragg condition is no longer satisfied. In the absence of the Bragg reflection, no DBR is formed, and the transmission minimum should simply be related to the phase-matched excitation of a single (propagating away from the excitation domain) waveguide mode. This transmission minimum is therefore a Fano interference phenomenon that should not be confused with any of the resonances [13], because the occurrence of resonance implies the existence of resonant field configuration, which in our case can only be generated by the DBR. At the same time, the Bragg reflection has a certain bandwidth manifesting itself, in our case, via the occurrence of the band gap in dispersion diagrams. If the excited waveguide mode is within the spatial frequency bandwidth of the Bragg reflection, the DBR can be formed, and the corresponding transmission minimum can be associated with the GM or near-BIC resonances. The same reasoning should also be applied to the qBIC-related dispersion branch: transmission minima observed at off-normal incidence can be associated with qBIC resonances if the excited waveguide modes are within the spatial frequency bandwidth of the Bragg reflection.
Returning to the main subject of finite-size effects, another important parameter is associated with the strength of Bragg reflection determining the DBR spatial extension, i.e., the effective DBR width, that indicates how tight the excited and Bragg-reflected (counterpropagating) waveguide modes are bound to the lateral excitation region, i.e., to the width of normally incident Gaussian beam. We consider the 40-μm-diameter Gaussian beam (w 0 = 20 μm) centered with respect to the 100-μm-wide grating coupler as a reference configuration, whose transmission spectrum fairly replicates that for the plane wave incidence on an infinite grating (Figure 2a). The intention is to evaluate the effective DBR width by following the evolution of the transmission minimum related to the excitation of waveguide mode when varying the grating width and position of the excitation beam away from the reference configuration. We expect to find that the grating couplers with different parameters would influence the Bragg reflection strength and thus the spatial extension of the DBR, whose changes would be reflected in modifications of dependences of the transmission minimum on grating parameters. It is anticipated that, for strong Bragg reflection, the excited and Bragg-reflected counterpropagating modes are confined within the footprint of the incident beam, while, for weak Bragg reflection, the DBR extends well beyond the incident beam. It is also expected that larger grating ridge widths lead to larger scattering strengths for any diffraction order.
The dependences of the transmission minimum (resonant transmittance for the fundamental mode) on the grating size L are shown in Figure 3a. Here the resonant wavelengths are shifted due to the variation of the ridge size and are 1,892 nm, 1,894 nm, 1,899 nm, 1,907 nm, 1,931 nm and 1,950 nm, for the ridge widths varying from 80 nm to 880 nm respectively. One can note that for relatively large grating ridge widths of 400 and 880 nm, the grating size can be decreased down to 50 μm without deterioration of very low transmittance at resonance (Figure 3a). Even the 40-μm-wide grating, i.e., of the same size as the incident Gaussian beam, exhibits low (<10 %) transmittance, unequivocally indicating that the DBR is within a footprint of the incident beam. To further support this assertion, we have modelled the grating coupler as a perfect reflector, whose transmission is only related to those parts of the 40-μm-diameter incident Gaussian beam that are not incident on the grating. The transmittance, in this case, can simply be evaluated by integrating the beam intensity profile over beam parts extending beyond the grating. The resulting transmittance dependence on the width of a perfect reflector (black solid line in Figure 3a) is indeed very close to those calculated for relatively large grating ridge widths of 400 and 880 nm. For smaller ridge widths, even the largest considered grating width of 100 μm is not sufficient to reach the transmittance level that no longer depends on further grating width increase (Figure 2a), thus indicating that the Bragg reflection becomes too weak and the DBR extension too large to efficiently suppress the incident 40-μm-wide beam transmission within the 100-μm-wide grating.

Transmission of symmetric grating couplers for normal 20-μm-wide Gaussian beam incidence calculated for different ridge widths d as a function of the grating size L (a) and beam offset Δ (b). Black solid line in both panels corresponds to the transmittance of the perfect reflector equal in width to the considered grating coupler illuminated with the considered Gaussian beam.
Here it should be borne in mind that, in the ideal case of normal plane-wave incidence on lossless infinitely extended waveguide gratings, the qBIC resonance transmission would be zero for any grating parameter, because the outcoupled (by the grating) radiation would interfere distractively (in transmission) or constructively (in reflection) with the incident one. For a finite-size beam normally incident on a finite-size grating, the transmission is never zero, because the Bragg reflection associated with the exponential decay of the incident field allows some part of the incident waveguide mode propagate beyond both the incident beam and grating coupler areas, escaping thereby the Bragg reflection and destructive interference for outcoupled waves. For weak gratings, an appreciable part of the excited waveguide modes reaches the grating terminations (escaping thereby the Bragg reflection) and continues their propagation in unperturbed waveguide without leakage into either of the neighbor media. Note that, even for infinite grating couplers, the resonant transmission of finite-size beams increases for weaker gratings, because the DBR width becomes progressively larger than the incident beam width. Consequently, the waveguide modes outcoupled by the grating outside the incident beam area can no longer interfere with the incident beam, cancelling each other in transmission, and the transmission increases.
One would expect that similar conclusions could be surmised from the transmittance dependencies on the incident beam displacement, offset Δ, from the grating center (Figure 3b). Indeed, it is seen that, for relatively large grating ridge widths of 400 and 880 nm resulting in the strong Bragg reflection and DBR confinement (within the incident beam footprint), the transmittance offset dependencies follow closely that of a perfect 100-μm-wide reflector, increasing from very small values for small offsets to near unity for beams incident away from the grating coupler. Note that the incident beam is centered at the grating edge for the offset of 50 μm, touching the edge from within and outside the grating at 30 and 70 μm, respectively. For weaker gratings and thus larger DBR extensions, the influence of the grating edge causing the increase in transmission is observed at progressively smaller offsets (Figure 3b). The physical mechanisms involved are the same as those considered above when discussing the influence of the grating size on the transmission (Figure 3a). It would also be reasonable to comment that these dependencies are, at least to some extent, complementary. The most important conclusion of the discussed simulations and their considerations is that sufficiently strong waveguide grating couplers do not have to be larger than the incident beam size to achieve efficient suppression (in transmission) of the incident beam.
We can now turn our attention to finite-size effects observed with the asymmetric grating, whose parameters are again consistent with those from our previous investigation [13], implying the same supercell period P 0 = 1,200 nm and grating width L ≈ 100 μm. As discussed above, in this case, the mode excitation occurs only due to the stripe width perturbation, while the Bragg reflection is realized in the first order of a strong grating of unperturbed stripes. The transmission minima for a normal plane-wave incidence on an infinitely wide grating are significantly narrower in this case than those observed for the symmetric grating (cf. empty circles in Figures 2a and 4a), a remarkable difference that was attributed to relatively weak radiation loss (i.e., in- and outcoupling of excited waveguide modes) for the asymmetric grating [13]. The influence of finite sizes of incident Gaussian beams on the transmission spectra is somewhat similar to the symmetric grating case: narrow Gaussian beams open access to near BIC resonances, although the occurrence of new transmission minima is mirrored (Figure 4a). Contrary to the symmetric grating case, additional (associated with BIC dispersion branches) minima for narrow beams occur at the short-wavelength side of those observed for the plane-wave and wide-beam normal incidences, because the corresponding BICs are formed on the high-energy (short-wavelength) side of the band gap (Figure 4b). Note that the new short-wavelength minimum for the first-order mode is outside of the considered wavelength interval.
![Figure 4:
Transmission spectra for normal Gaussian beam incidence at the 100-μm-wide asymmetric grating coupler for different beam waist radii w
o (a). Dispersion curves calculated for the normal plane-wave incidence at the infinite grating coupler [13] along with angular (spatial frequency) spectra of Gaussian beams with different beam waist radii corresponding to the selected transmission calculations (b). The nominal ridge width d is 150 nm, while the perturbation δ is 80 nm.](/document/doi/10.1515/nanoph-2024-0731/asset/graphic/j_nanoph-2024-0731_fig_004.jpg)
Transmission spectra for normal Gaussian beam incidence at the 100-μm-wide asymmetric grating coupler for different beam waist radii w o (a). Dispersion curves calculated for the normal plane-wave incidence at the infinite grating coupler [13] along with angular (spatial frequency) spectra of Gaussian beams with different beam waist radii corresponding to the selected transmission calculations (b). The nominal ridge width d is 150 nm, while the perturbation δ is 80 nm.
One can observe in Figure 4a additional spectral oscillations, which are also visible albeit less pronounced in Figure 2a, especially for the smallest incident beam waist size. In this case, the incident beam features a rather large angular spectrum (several degrees) that enables the resonant excitation of the waveguide modes within relatively broad spectral (frequency) widths of the incident Gaussian beam. In that case however, as elaborated in the above discussion pertaining to the results shown in Figure 2, the incident beam at a particular frequency (wavelength) might still resonantly excite the waveguide mode, while the Bragg condition would no longer be strictly satisfied. Given a continuous angular spectrum of the incident beam and certain (non-zero) bandwidth of Bragg reflection, interfering conditions for counterpropagating waveguide modes become strongly varying with the wavelength, giving thereby rise to additional spectral oscillations seen in Figures 2a and 4a. More quantitative arguments require quite complex additional simulations concentrating on these additional oscillations, a considerable effort that goes well beyond the scope of the current work targeting the resonances occurring for infinitely extended gratings and plane incident waves.
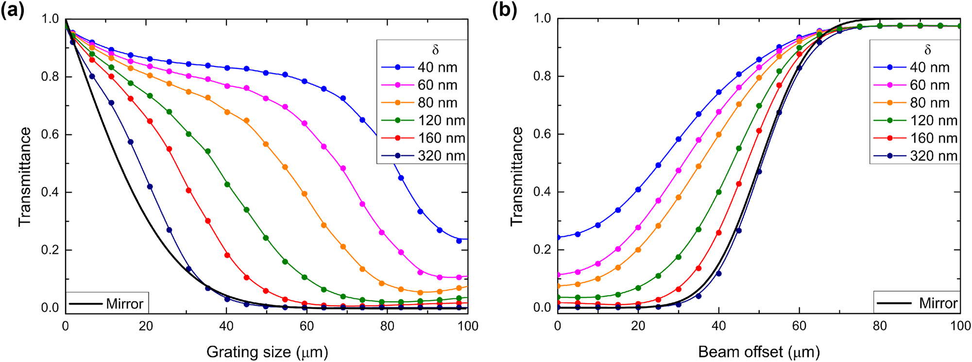
The dependences of the transmission minimum (resonant transmittance for the fundamental mode, with resonance wavelengths of 1,942 nm, 1,950 nm, 1,954 nm, 1,965 nm, 1,975 nm and 1,996 nm for the ridge width perturbation varying from 40 nm to 320 nm, respectively) on the grating width L calculated for asymmetric gratings with different perturbations reveal rather strong influence of the perturbation parameter δ (Figure 5a), indicating that the spatial DBR extension depends not only on the Bragg reflection strength that, being determined by the unperturbed grating, should not vary much for small perturbations (δ < d). Apparently, the radiative coupling (in-coupling and outcoupling) of waveguide modes, being strongly dependent on the perturbation parameter (radiative coupling vanishes for small perturbations), plays also an important role. Both effects add up constructively, because larger perturbations result in larger average size of ridges (responsible for the first-order Bragg reflection) and more pronounced supercell gratings enabling the first-order radiation coupling. Thus, the asymmetric grating made of 150 and 470-nm-wide ridges, i.e., having a very large perturbation δ = 320 nm, results in the DBR confined within the incident beam width, which in turn leads to the transmittance dependence being very close to that of the perfect reflector and thereby to that of the symmetric grating with the largest considered ridge width d = 880 nm (cf. Figures 3a and 5a). Note that the dependence of perfect reflector transmittance on the grating (reflector) width is naturally identical in both cases.

Transmission of asymmetric grating couplers for normal 20-μm-wide Gaussian beam incidence calculated for different ridge perturbations δ as a function of the grating size L (a) and beam offset Δ (b). Black solid line in both panels corresponds to the transmittance of the perfect reflector equal in width to the considered grating coupler illuminated with the considered Gaussian beam.
The above conclusions are additionally supported by the behavior of the transmittance dependencies on the incident beam displacement, offset Δ, from the grating center (Figure 5b): for the largest considered ridge perturbation δ = 320 nm, the transmittance dependence is very close to that of the perfect reflector, unequivocally indicating that the DBR is confined within the incident beam footprint. Conversely, for asymmetric gratings with relatively small perturbations, the DBR extends progressively farther and beyond the beam footprint, causing the increase in transmission being observed at progressively smaller offsets (Figure 5b). The physical mechanisms responsible for the influence of both the grating size and beam offset on the resonant transmission are the same as those considered above for the case of symmetric gratings. Also, for asymmetric gratings one finds that the transmittance dependencies on the grating size and beam offset are complementary. This complementarity can in both cases be accounted for, at least partially, by the choice of 100 μm for both the largest grating size and largest offset. For the 40-μm-diameter incident beam, this choice implies completely reversed situations at both ends of the interval, within which the grating size and offset are varied.
The considered waveguide grating coupler configurations are different in underlying physics and transmission spectra. At the same time, while the widths of transmission minima found for plane-wave incidence on infinitely extended gratings differ by one order of magnitude [13], the dispersion curves indicate similar band gaps (cf. Figures 2b and 4b). Considering the finite-size effects studied in this work, we arrived at similar important practical conclusions in a sense that, for both configurations, 40-μm-diameter incident Gaussian beams are found wide enough to ensure nearly complete extinction of the transmission with 40-μm-wide waveguide grating couplers. This similarity indicates that the most important physical parameter is the strength of resonant Bragg reflection that determines both the size of the band gap in the dispersion curves and the manifestation of finite-size effects, although the strength of the radiative coupling plays a certain role. Fundamentally, we demonstrated that the waveguide grating couplers can be engineered to exhibit tightly confined interaction between incident radiation and excited waveguide modes, i.e., the DBR limited to the incident beam footprint.
3 Conclusions
Summarizing, the focus of the present work was to study finite-size effects in all-dielectric symmetric and asymmetric waveguide grating couplers for normal light incidence by considering the waveguide configuration investigated previously [13]. We have investigated the finite-size effects by first varying the excitation Gaussian beam radius to determine the smallest beam radius that ensures a practically complete transmission extinction of a normally incident beam with reasonably large gratings. Then, by varying the grating width and position of the excitation beam for the two considered gratings we have explicitly revealed the extent of interaction between incident radiation and excited waveguide modes, i.e., the spatial DBR extension, and studied the influence of grating parameters on the interaction spatial confinement, i.e., the DBR extension. We have identified the strength of Bragg reflection as the most important parameter determining the spatial DBR extension: in configurations with strong Bragg reflection, the excited and Bragg reflected counterpropagating waveguide modes are confined within the footprint of the incident beam. Conversely, the DBR formed in configurations with weak Bragg reflection extends well beyond the incident beam footprint, resulting in high sensitivity of the system response to the grating width and incident beam position. Importantly, we have demonstrated that the waveguide grating couplers can be engineered to feature the DBR limited to the incident beam footprint, an important design objective enabling the footprint minimization of the corresponding photonic components (waveguide couplers or narrowband wavelength filters). Overall, we believe that our findings shed light on important physical mechanisms at play for qBIC resonances in finite-size waveguide gratings, providing valuable insights for optimizing waveguide-grating-based photonic devices that leverage qBIC resonances in finite-sized structures under realistic excitation conditions.
Funding source: State Committee of Science of Armenia
Award Identifier / Grant number: 23RL-2A034
Funding source: Danish Natural Research Foundation
Award Identifier / Grant number: DNRF 165
-
Research funding: TY acknowledges the support from the Center for Polariton-driven Light-Matter Interactions (POLIMA) funded by the Danish National Research Foundation (Project No. DNRF165). RG acknowledges the support from Scientific Research Grant through the State Committee of Science of Ministry of Education, Science, Culture and Sports of Armenia (Project No. 23RL-2A034).
-
Author contributions: SIB formulated the problem. RG has conducted preliminary calculations. TY has finalized the simulations and prepared all figures. All authors have accepted responsibility for the entire content of this manuscript and consented to its submission to the journal, reviewed all the results and approved the final version of the manuscript
-
Conflict of interest: Authors state no conflicts of interest.
-
Data availability: Data sharing is not applicable to this article as no datasets were generated or analyzed during the current study.
References
[1] C. W. Hsu, et al.., “Observation of trapped light within the radiation continuum,” Nature, vol. 499, no. 7457, p. 188, 2013, https://doi.org/10.1038/nature12289.Suche in Google Scholar PubMed
[2] J. Von Neumann and E. Wigner, “On some peculiar discrete eigenvalues,” Phys. Z, vol. 30, no. 1, p. 465, 1929.Suche in Google Scholar
[3] C. W. Hsu, B. Zhen, A. Stone, J. Joannopoulos, and M. Soljačić, “Bound states in the continuum,” Nature Rev. Mater., vol. 1, no. 9, p. 16048, 2016. https://doi.org/10.1038/natrevmats.2016.48.Suche in Google Scholar
[4] K. Koshelev, A. Bogdanov, and Y. Kivshar, “Meta-optics and bound states in the continuum,” Sci. Bull., vol. 64, no. 12, p. 836, 2019, https://doi.org/10.1016/j.scib.2018.12.003.Suche in Google Scholar PubMed
[5] D. Marinica, A. Borisov, and S. Shabanov, “Bound states in the continuum in photonics,” Phys. Rev. Lett., vol. 100, no. 18, p. 183902, 2008, https://doi.org/10.1103/physrevlett.100.183902.Suche in Google Scholar
[6] Z. Sadrieva, et al.., “Experimental observation of a symmetry-protected bound state in the continuum in a chain of dielectric disks,” Phys. Rev. A, vol. 99, no. 5, p. 053804, 2019.10.1103/PhysRevA.99.053804Suche in Google Scholar
[7] E. A. Bezus, D. A. Bykov, and L. L. Doskolovich, “Bound states in the continuum and high-Q resonances supported by a dielectric ridge on a slab waveguide,” Photon. Res., vol. 6, no. 11, p. 1084, 2018, https://doi.org/10.1364/prj.6.001084.Suche in Google Scholar
[8] M. Kang, T. Liu, C. Chan, and M. Xiao, “Applications of bound states in the continuum in photonics,” Nat. Rev. Phys., vol. 5, no. 11, p. 659, 2023, https://doi.org/10.1038/s42254-023-00642-8.Suche in Google Scholar
[9] K. Koshelev, S. Lepeshov, M. Liu, A. Bogdanov, and Y. Kivshar, “Asymmetric metasurfaces with high-Q resonances governed by bound states in the continuum,” Phys. Rev. Lett., vol. 121, no. 19, p. 193903, 2018, https://doi.org/10.1103/physrevlett.121.193903.Suche in Google Scholar
[10] M. Amrani, et al.., “Friedrich-Wintgen bound states in the continuum and induced resonances in a loop laterally coupled to a waveguide,” Phys. Rev. B, vol. 106, no. 12, p. 125414, 2022, https://doi.org/10.1103/physrevb.106.125414.Suche in Google Scholar
[11] H. Friedrich and D. Wintgen, “Interfering resonances and bound states in the continuum,” Phys. Rev. A, vol. 32, no. 6, p. 3231, 1985, https://doi.org/10.1103/physreva.32.3231.Suche in Google Scholar PubMed
[12] X.-F. Yan, X.-Y. Wang, Q. Lin, L.-L. Wang, and G.-D. Liu, “Active formation of Friedrich-Wintgen bound states in the continuum in dielectric dimerized grating borophene heterostructure,” Available at: https://arxiv.org/abs/2401.10630, 2024.Suche in Google Scholar
[13] T. Yezekyan, S. Boroviks, O. J. Martin, and S. I. Bozhevolnyi, “Engineering quasi-bound states in the continuum in asymmetric waveguide gratings,” New J. Phys., vol. 26, no. 9, p. 093027, 2024, https://doi.org/10.1088/1367-2630/ad787d.Suche in Google Scholar
[14] L. Huang, L. Xu, D. A. Powell, W. J. Padilla, and A. E. Miroshnichenko, “Resonant leaky modes in all-dielectric metasystems: fundamentals and applications,” Phys. Rep., vol. 1008, no. 1, p. 1, 2023. https://doi.org/10.1016/j.physrep.2023.01.001.Suche in Google Scholar
[15] S. I. Azzam, V. M. Shalaev, A. Boltasseva, and A. V. Kildishev, “Formation of bound states in the continuum in hybrid plasmonic-photonic systems,” Phys. Rev. Lett., vol. 121, no. 25, p. 253901, 2018, https://doi.org/10.1103/physrevlett.121.253901.Suche in Google Scholar
[16] S. Joseph, S. Pandey, S. Sarkar, and J. Joseph, “Bound states in the continuum in resonant nanostructures: an overview of engineered materials for tailored applications,” Nanophotonics, vol. 10, no. 17, p. 4175, 2021, https://doi.org/10.1515/nanoph-2021-0387.Suche in Google Scholar
[17] S. Romano, et al.., “Tuning the exponential sensitivity of a bound-state-in-continuum optical sensor,” Opt. Express, vol. 27, no. 13, p. 18776, 2019, https://doi.org/10.1364/oe.27.018776.Suche in Google Scholar PubMed
[18] J. Wang, et al.., “Optical bound states in the continuum in periodic structures: mechanisms, effects, and applications,” Photonics Insights, vol. 3, no. 1, p. R01, 2024, https://doi.org/10.3788/pi.2024.r01.Suche in Google Scholar
[19] R. Zengerle and O. Leminger, “Phase-shifted Bragg-grating filters with improved transmission characteristics,” J. Lightwave Technol., vol. 13, no. 12, p. 2354, 1995, https://doi.org/10.1109/50.475575.Suche in Google Scholar
[20] H. Zhou, et al.., “Perfect single-sided radiation and absorption without mirrors,” Optica, vol. 3, no. 10, p. 1079, 2016, https://doi.org/10.1364/optica.3.001079.Suche in Google Scholar
[21] E. N. Bulgakov and A. F. Sadreev, “High-Q resonant modes in a finite array of dielectric particles,” Phys. Rev. A, vol. 99, no. 3, p. 033851, 2019, https://doi.org/10.1103/physreva.99.033851.Suche in Google Scholar
[22] S. Droulias, T. Koschny, and C. M. Soukoulis, “Finite-size effects in metasurface lasers based on resonant dark states,” ACS photonics, vol. 5, no. 9, p. 3788, 2018, https://doi.org/10.1021/acsphotonics.8b00835.Suche in Google Scholar PubMed PubMed Central
[23] H. Vyas and R. Hegde, “Mirror-symmetry breaking mitigates finite-size related performance degradation in guided mode resonance filters,” OSA Continuum, vol. 4, no. 7, p. 2060, 2021, https://doi.org/10.1364/osac.427445.Suche in Google Scholar
[24] G. Quaranta, G. Basset, O. J. Martin, and B. Gallinet, “Recent advances in resonant waveguide gratings,” Laser Photon. Rev., vol. 12, no. 9, p. 1800017, 2018, https://doi.org/10.1002/lpor.201800017.Suche in Google Scholar
[25] R. Boidin, T. Halenkovič, V. Nazabal, L. Beneš, and P. Němec, “Pulsed laser deposited alumina thin films,” Ceram. Int., vol. 42, no. 1, p. 1177, 2016, https://doi.org/10.1016/j.ceramint.2015.09.048.Suche in Google Scholar
[26] Q. Zheng, X. Wang, and D. Thompson, “Temperature-dependent optical properties of monocrystalline CaF 2, BaF 2, and MgF 2,” Opt. Mater. Express, vol. 13, no. 8, p. 2380, 2023, https://doi.org/10.1364/ome.496246.Suche in Google Scholar
[27] T. Yezekyan, V. A. Zenin, M. Thomaschewski, R. Malureanu, and S. I. Bozhevolnyi, “Germanium metasurface assisted broadband detectors,” Nanophotonics, vol. 12, no. 12, p. 2171, 2023, https://doi.org/10.1515/nanoph-2023-0116.Suche in Google Scholar PubMed PubMed Central
© 2025 the author(s), published by De Gruyter, Berlin/Boston
This work is licensed under the Creative Commons Attribution 4.0 International License.
Artikel in diesem Heft
- Frontmatter
- Editorial
- In honor of Federico Capasso, a visionary in nanophotonics, on the occasion of his 75th birthday
- Reviews
- Flat nonlinear optics with intersubband polaritonic metasurfaces
- Polaritonic quantum matter
- Machine-learning-assisted photonic device development: a multiscale approach from theory to characterization
- Perspectives
- Towards field-resolved visible microscopy of 2D materials
- Perspective on tailoring longitudinal structured beam and its applications
- Tunable holographic metasurfaces for augmented and virtual reality
- Polarization-sensitive diffractive optics and metasurfaces: “Past is Prologue”
- Compound meta-optics: there is plenty of room at the top
- Nonlocal metasurfaces: universal modal maps governed by a nonlocal generalized Snell’s law
- Resonant metasurface-enabled quantum light sources for single-photon emission and entangled photon-pair generation
- Active metasurface designs for lensless and detector-limited imaging
- Letter
- Real-time tuning of plasmonic nanogap cavity resonances through solvent environments
- Research Articles
- On the generalized Snell–Descartes laws, shock waves, water wakes, and Cherenkov radiation
- Silicon rich nitride: a platform for controllable structural colors
- Overcoming stress limitations in SiN nonlinear photonics via a bilayer waveguide
- High-harmonic generation from subwavelength silicon films
- Space-time wedges
- XUV yield optimization of two-color high-order harmonic generation in gases
- Skyrmion bag robustness in plasmonic bilayer and trilayer moiré superlattices
- Quantum-enhanced detection of viral cDNA via luminescence resonance energy transfer using upconversion and gold nanoparticles
- Deep neural networks for inverse design of multimode integrated gratings with simultaneous amplitude and phase control
- Topological chiral-gain in a Berry dipole material
- Diagnostic oriented discrimination of different Shiga toxins via PCA-assisted SERS-based plasmonic metasurface
- Quantum emitter interacting with a dispersive dielectric object: a model based on the modified Langevin noise formalism
- 3D-printed mirror-less helicity preserving metasurface “mirror” for THz applications
- Supershift properties for nonanalytic signals
- Enhancing radiative heat transfer with meta-atomic displacement
- Quasi-bound states in the continuum in finite waveguide grating couplers
- Long lived surface plasmons on the interface of a metal and a photonic time-crystal
- Tailoring propagation-invariant topology of optical skyrmions with dielectric metasurfaces
- Experimental generation of optimally chiral azimuthally-radially polarized beams
- Tailoring optical response of MXene thin films
- Nonlinear analog processing with anisotropic nonlinear films
- Optical levitation of Janus particles within focused cylindrical vector beams
- Large tuning of the optical properties of nanoscale NdNiO3 via electron doping
- Combining quantum cascade lasers and plasmonic metasurfaces to monitor de novo lipogenesis with vibrational contrast microscopy
- Monoclinic nonlinear metasurfaces for resonant engineering of polarization states
- Non-linear bistability in pulsed optical traps
- Tutorial: Hong–Ou–Mandel interference with structured photons
- Inhomogeneous broadening in the time domain
- MoS2 based 2D material photodetector array with high pixel density
- Temporal interface in dispersive hyperbolic media
- Measurement of the cavity dispersion in quantum cascade lasers using subthreshold luminescence
- Designing the response-spectra of microwave metasurfaces: theory and experiments
- Exciton–polariton condensation in MAPbI3 films from bound states in the continuum metasurfaces
- Experimental analysis of the thermal management and internal quantum efficiency of terahertz quantum cascade laser harmonic frequency combs
- Energy-efficient thermally smart windows with tunable properties across the near- and mid-infrared ranges
Artikel in diesem Heft
- Frontmatter
- Editorial
- In honor of Federico Capasso, a visionary in nanophotonics, on the occasion of his 75th birthday
- Reviews
- Flat nonlinear optics with intersubband polaritonic metasurfaces
- Polaritonic quantum matter
- Machine-learning-assisted photonic device development: a multiscale approach from theory to characterization
- Perspectives
- Towards field-resolved visible microscopy of 2D materials
- Perspective on tailoring longitudinal structured beam and its applications
- Tunable holographic metasurfaces for augmented and virtual reality
- Polarization-sensitive diffractive optics and metasurfaces: “Past is Prologue”
- Compound meta-optics: there is plenty of room at the top
- Nonlocal metasurfaces: universal modal maps governed by a nonlocal generalized Snell’s law
- Resonant metasurface-enabled quantum light sources for single-photon emission and entangled photon-pair generation
- Active metasurface designs for lensless and detector-limited imaging
- Letter
- Real-time tuning of plasmonic nanogap cavity resonances through solvent environments
- Research Articles
- On the generalized Snell–Descartes laws, shock waves, water wakes, and Cherenkov radiation
- Silicon rich nitride: a platform for controllable structural colors
- Overcoming stress limitations in SiN nonlinear photonics via a bilayer waveguide
- High-harmonic generation from subwavelength silicon films
- Space-time wedges
- XUV yield optimization of two-color high-order harmonic generation in gases
- Skyrmion bag robustness in plasmonic bilayer and trilayer moiré superlattices
- Quantum-enhanced detection of viral cDNA via luminescence resonance energy transfer using upconversion and gold nanoparticles
- Deep neural networks for inverse design of multimode integrated gratings with simultaneous amplitude and phase control
- Topological chiral-gain in a Berry dipole material
- Diagnostic oriented discrimination of different Shiga toxins via PCA-assisted SERS-based plasmonic metasurface
- Quantum emitter interacting with a dispersive dielectric object: a model based on the modified Langevin noise formalism
- 3D-printed mirror-less helicity preserving metasurface “mirror” for THz applications
- Supershift properties for nonanalytic signals
- Enhancing radiative heat transfer with meta-atomic displacement
- Quasi-bound states in the continuum in finite waveguide grating couplers
- Long lived surface plasmons on the interface of a metal and a photonic time-crystal
- Tailoring propagation-invariant topology of optical skyrmions with dielectric metasurfaces
- Experimental generation of optimally chiral azimuthally-radially polarized beams
- Tailoring optical response of MXene thin films
- Nonlinear analog processing with anisotropic nonlinear films
- Optical levitation of Janus particles within focused cylindrical vector beams
- Large tuning of the optical properties of nanoscale NdNiO3 via electron doping
- Combining quantum cascade lasers and plasmonic metasurfaces to monitor de novo lipogenesis with vibrational contrast microscopy
- Monoclinic nonlinear metasurfaces for resonant engineering of polarization states
- Non-linear bistability in pulsed optical traps
- Tutorial: Hong–Ou–Mandel interference with structured photons
- Inhomogeneous broadening in the time domain
- MoS2 based 2D material photodetector array with high pixel density
- Temporal interface in dispersive hyperbolic media
- Measurement of the cavity dispersion in quantum cascade lasers using subthreshold luminescence
- Designing the response-spectra of microwave metasurfaces: theory and experiments
- Exciton–polariton condensation in MAPbI3 films from bound states in the continuum metasurfaces
- Experimental analysis of the thermal management and internal quantum efficiency of terahertz quantum cascade laser harmonic frequency combs
- Energy-efficient thermally smart windows with tunable properties across the near- and mid-infrared ranges