Infrared nanoplasmonic properties of hyperdoped embedded Si nanocrystals in the few electrons regime
-
Meiling Zhang
, Jean-Marie Poumirol, Nicolas Chery
, Clément Majorel
, Rémi Demoulin , Etienne Talbot , Hervé Rinnert , Christian Girard , Fuccio Cristiano , Peter R. Wiecha, Teresa Hungria
, Vincent Paillard, Arnaud Arbouet
, Béatrice Pécassou , Fabrice Gourbilleau and Caroline Bonafos
Abstract
Using localized surface plasmon resonance (LSPR) as an optical probe we demonstrate the presence of free carriers in phosphorus doped silicon nanocrystals (SiNCs) embedded in a silica matrix. In small SiNCs, with radius ranging from 2.6 to 5.5 nm, the infrared spectroscopy study coupled to numerical simulations allows us to determine the number of electrically active phosphorus atoms with a precision of a few atoms. We demonstrate that LSP resonances can be supported with only about 10 free electrons per nanocrystal, confirming theoretical predictions and probing the limit of the collective nature of plasmons. We reveal the appearance of an avoided crossing behavior linked to the hybridization between the localized surface plasmon in the doped nanocrystals and the silica matrix phonon modes. Finally, a careful analysis of the scattering time dependence versus carrier density in the small size regime allows us to detect the appearance of a new scattering process at high dopant concentration, which can be explained by P clustering inside the SiNCs.
Localized surface plasmon resonances (LSPR), the collective oscillations of free carriers at metal surfaces, have been studied for decades due to their ability to fundamentally alter light–matter interactions and the resulting remarkable applications in: enhanced spectroscopy [1], sensing [2], optical devices, and photovoltaics [3]. For a long time, plasmonics-based technology relied heavily on noble metal nanostructures due to their intense LSPR in the visible range [4]. Things have begun to change recently, with the observation of LSPR in doped semiconductors. The new form of control provided by the tunability of carrier density in semiconductors, combined with the resulting expansion of plasmonics into the Infrared spectral range (not easily reached with metals), has fueled the search for novel plasmonic materials with improved crystalline quality, integrability, tunability, and potentially lower losses [5, 6].
However the real paradigm shift came with the observation of LSPR in very small semiconducting nanostructures and nanocrystals [7], [8], [9], [10], [11]. Because the LSPR frequency becomes more sensitive to changes in the number of free carriers as the size of the nanocrystal decreases, with electro-optic sensitivity going as 1/r 3 (r being the radius of the NC) [12], it is possible to detect the addition of a very small number of carriers to a nanocrystal. In this context, LSPRs have emerged as an optical probe (contactless) with unprecedented sensitivity to processes involving carrier dynamics that would otherwise be difficult to access. Furthermore, the concept of plasmon supported by a small number of carriers raises fundamental questions that go beyond material science issues, such as the minimum number of charge carriers required to sustain a plasmon resonance, the effect of confinement on the plasmon resonance, and the validity of the Drude model in such conditions [13].
In this article we investigate the plasmonic properties of phosphorus-doped Si nanocrystals (SiNCs) embedded in SiO2. We demonstrate that SiNCs can be massively doped by combining low energy ion implantation and rapid thermal annealing (RTA), with measured LSPR wavelength ranging from 4 to 7 μm depending on the P implantation dose. To determine the carrier density and electronic scattering time for all experimental doses, we use homemade numerical simulations based on the green dyadic method (GDM), taking into account the complex multilayered dielectric environment of our samples. The simulations suggest the presence of hybridization between the LSPR and the optical phonon modes of the silica matrix. We were able to determine the variation of the phosphorus activation rate and pinpoint a lower limit to the number of activated carriers required to support plasmonic resonances by combining these results with atomically resolved 3D mapping. Finally, we show that the experimentally observed plasmonic damping is compatible with the presence of three distinct competing electronic scattering processes in SiNCs.
A 200 nm thick thermal silica layer on top of a silicon substrate is implanted with Si ions at an energy of 8 keV and a dose of 2 ×1016 cm−2. An intermediate RTA is performed for 60 s at 1050 °C in N2 with the goal of phase separation and SiNCs formation. After the synthesis of SiNCs, dopant impurities are introduced into the SiNCs to decouple equilibrium properties from kinetic effects [14]. Phosphorus is implanted in 5 doses, from 1015 to 3 ×1015 cm−2, at 7 keV to match the projected Si range. The ratio of the P and Si doses ranges from 5 to 15%. Following P implantation, the samples undergo a new annealing at 1050 °C for 60 s dedicated to dopant activation. As a last step, a forming gas (FG) annealing at N2 + 10% H2 was used to passivate dangling bonds at the SiNCs/matrix interface [15].
Figure 1a shows a low magnification energy filtered TEM (EFTEM) image of the SiNCs after doping. They are distributed along a 20 nm-thick band located at 4 nm from the surface. The doped SiNCs show a sharp and bimodal size distribution (see SI Figure S1), with the largest SiNCs located at the profile projected range (15 nm) and small NCs located deeper in the profile tail. Such a bimodal size distribution, with large NCs in the Si projected range where the Si supersaturation is greatest and small NCs in the profile tails, was expected due to the Gaussian shape of the implantation profile. This ion spatial distribution causes the nucleation of a higher density of SiNCs at the projected Si range, which has a faster Ostwald ripening than the ones formed in the tails. Figure 1b a high resolution image clearly shows that the doped SiNCs are spherical and remain crystalline after doping, with the same lattice parameter as bulk Si. At doses up to 1.5 ×1015 cm−2, the average NC diameter remains constant for both small (2.8 nm) NCs located in the profile tail and large (5 nm) NCs formed at the maximum of the implantation profile. On the contrary, at higher doses, the average diameter of the big NCs increases with the P dose, reaching up to twice the size of the low dose regime (see Figure 1c). The increase in P concentration has no effect on the size of the small SiNCs. This enhanced NC growth with P concentration has previously been observed in the literature for SiNCs in a silica matrix prepared using various techniques [16], [17], [18]. The hypothesis of P doping softening silica matrices has been proposed, resulting in longer diffusion length of Si atoms during annealing, and larger particles [18]. Enhanced diffusion by implanted P atoms has also been proposed as a possible explanation for the favored SiNCs phase separation in the presence of P [16]. A careful examination of atomically resolved 3D images obtained by laser-assisted atom probe tomography (ATP), shown in Figure 1d reveals the precise location of the dopant. The majority of P atoms, black dots on the figure, are well-concentrated inside the big SiNCs (see left panel), with a homogeneous distribution and no accumulation of dopant at the surface. These findings are consistent with theoretical calculations [19, 20] and previous observations for similar systems [21], [22], [23]. The position of P in the core of the SiNCs contradicts self-purification theories but is consistent with the well-known macroscopic behavior of these dopants at bulk Si/SiO2 interfaces, where segregation is in favor of silicon for phosphorus at thermal equilibrium [24]. Small NCs contain very few, if no, P atoms, which are not surprising as they are located deeper inside the SiO2 matrix in the profile tail of the P implantation profile (see right panel Figure 1d).

(a) EFTEM cross-sectional image displaying the spatial distribution of doped SiNCs for sample P5 (implanted at 3 × 1015 at cm−3), inset: zoom on the 20 nm thick implantation layer. (b) HREM image of a SiNC in the (110) zone axis. (c) Evolution of the size (big SiNCs) with implanted dose. (d) APT images of a large NC located at the projected range of the Si implantation profile (left panel) and of small NCs located in the profile tail (right panel). The red (black) dots are the Si (P) atoms, respectively.
Scanning transmission electron microscopy-energy dispersive X-ray spectroscopy (STEM-EDX) was used to determine the P content of SiNCs. The phosphorus Cliff-Lorimer coefficient has been quantitatively calibrated on a reference sample (P implantation in bulk Si) [25]. The P concentration in big SiNCs ranges from 3.2 to 6.3 × 1021 cm−3 (see Figure 4b), whereas it is negligible and close to the detection limit in the small SiNCs and in the matrix. The high P concentration of the large SiNCs is consistent with previous studies [21, 22, 26] that conclude that doping SiNCs in SiO2 corresponds to a thermodynamically advantageous configuration. The measured P concentrations are up to 6 times higher than the solid solubility of P in bulk silicon at 1050 °C (1021 cm−3) [27], Even if the dopants are introduced into the SiNCs from a spatially separated dopant source, keeping the system in principle very close to thermodynamic equilibrium, the ion implantation process and the short annealing duration place our process out of balance. As a result, it is impossible to conclude here that the observed increase of incorporated dopant concentration corresponds to an equilibrium property of Si-NCs embedded in SiO2 as described in reference [22] or to a kinetic effect.
To determine the effect of the implanted phosphorus on the electronic properties of the SiNCs we performed Fourier transform infrared (FTIR) spectroscopy at room temperature, in vacuum. This technique is an all-optical, nondestructive and very sensitive method for active dopant concentration measurement in semiconductor bulk and nanostructures [6]. Figure 2 shows the normalized extinction spectra recorded for the different implanted doses (P1 to P5). The extinction spectra are normalized using undoped SiNCs (P0) sample as a reference. This normalization procedure reduces the optical signature of the thermal silica layer as well as the likelihood of seeing interference patterns in the spectra. Two interesting features can be noticed in all five extinction curves: (i) A relatively sharp feature that appears at low frequency (around 1050 cm−1) and can be attributed to the multiple SiO2 phonon modes that are not completely removed by normalization [28, 29]. (ii) A broad peak that shifts progressively higher in frequency as the P dose, thus the free carrier density, increases. This maximum of extinction is most likely related to the excitation of a localized surface plasmon in doped SiNCs. The amplitude of the plasmon mode is quite small, as expected for such small NC, reaching 2% for the highest dose (P5) and falling to 0.5% for the lowest dose (P1). Nonetheless, it is plainly visible.

Normalized extinction curves measured for five different P doses.
To confirm the plasmonic nature of the observed modification of extinction we model our experimental results using numerical simulations based on the green dyadic method (GDM) with our homemade simulation toolkit “pyGDM” [30, 31]. This method, which is based on nanostructure volume discretization, allows us to simulate the complex multilayered geometry of our samples, as shown in Figure 1a. Figure 3a depicts a schematic of the simulated geometry, with the NC represented by a doped silicon sphere (The effect of possible non sphericity of the SiNC is shown in the Supplementary, Figure S7, and is negligible in the expected deviation range). The Drude–Lorentz model is used to describe the dielectric function of the doped Si layer:
![Figure 3:
(a) Geometry used in the numerical simulations. The light is propagating along the z direction. (b) Complex dielectric functions used in calculations. Top: calculated from Eq. (2). Bottom: pure silica from [28, 29]. (c) Comparison between simulated normalized extinction (dashed line) and experimental measurement (continuous line). The resulting fitting parameters are shown in the top right corner for each P dose (same color code as in Figure 2).](/document/doi/10.1515/nanoph-2022-0283/asset/graphic/j_nanoph-2022-0283_fig_003.jpg)
(a) Geometry used in the numerical simulations. The light is propagating along the z direction. (b) Complex dielectric functions used in calculations. Top: calculated from Eq. (2). Bottom: pure silica from [28, 29]. (c) Comparison between simulated normalized extinction (dashed line) and experimental measurement (continuous line). The resulting fitting parameters are shown in the top right corner for each P dose (same color code as in Figure 2).
where ω
p =
with f the volume fraction of Si inclusions. In our calculation we fix f to 16%, based on STEM-EDX measurement, the resulting dielectric function is displayed in Figure 3b (top panel). Finally this layer is sandwiched between a SiO2 substrate (see dielectric function in Figure 3b (bottom panel)) and a vacuum cladding. The extinction efficiencies of individual doped SiNC in the simulated environment are then calculated using the Lippmann–Schwinger equation.
Figure 3c depicts the best fit we obtained for all P implanted doses. Note that as we calculate the extinction of one single NC, the simulation is not expected to reproduce the extinction absolute amplitude. All simulated curves in Figure 3c are by consequence normalized to the experimental LSPR amplitude. The fitting parameters are the carrier density N and scattering time τ, with all other parameters held constant. For all samples, the simulated extinctions reproduce the LSPR signature very well. The theoretical description of the phonon-related extinction is satisfactory but not perfect. This result is not entirely unexpected given that the Maxwell Garnett model we used to simulate the Si rich silica layer (see Eq. (2)) assumes isotropic composites i.e. with equivalent nanoparticle densities in all directions in space equivalent. However the undoped SiNCs inside the silica matrix are not uniformly distributed around the doped NC (see inset Figure 1a). Nevertheless, the quality of the fitting procedure is a strong indication that the approximation is quite good (as a reference Figure S3 in Supplementary shows the same simulations using
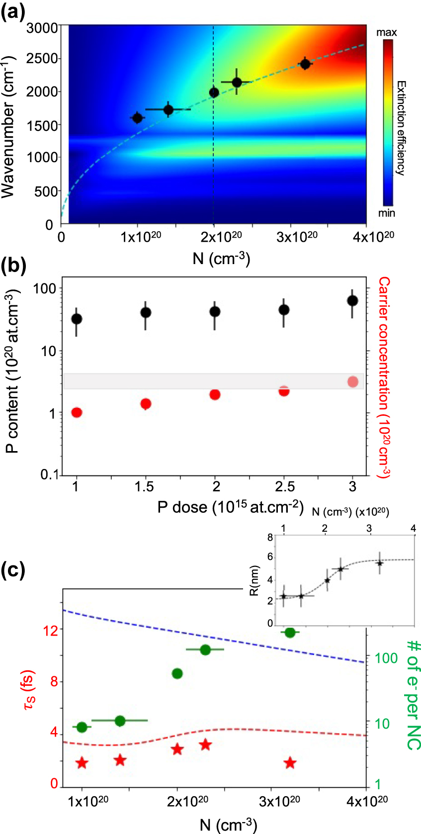
Figure 4a depicts the maximum of extinction versus N (black dots) extracted from Figure 3c. As a reference, we plot in dashed line, on the same graph, the expected LSPR energy ω sp (Mie resonance) for a spherical NC [37]:
where ϵ m , the average dielectric function of the surrounding environment, is taken to be ϵ layer(ω = 6000 cm−1) = 2.3 far from any phonon mode. One can see that at high carrier density the experimental points follow the expected square root dependence for plasmon resonances, but start deviating from it at low carrier density. To understand this discrepancy we calculated the frequency dependent extinction versus carrier density with a constant sphere radius of r = 4 nm and constant scattering time τ = 2.9 fs, shown as the superimposed color map on the figure. This simulation seems to indicate that this deviation is mainly due to hybridization between phonons of silica and the LSPR resulting in an avoided crossing [38, 39]. Such plasmon–phonon crossing has been observed in 2D materials [40] and recently reported in Au rods on dielectric substrates [41]. This is the first time such a physical phenomenon has been observed in the MIR for doped semiconducting nanoparticles in contact with a dielectric environment. The very good description of the experimental results we obtained here, while using a single value of NC’s radius (r = 4 nm) for all carrier densities, discard possible explanations linked to the NC’s size, in agreement with theoretical prediction that estimate that no quantization effects should be observed for Si-NCs with r ≥ 2 nm [42]. To confirm that this result is not affected by the scattering time selected in our simulation we also performed the same simulation with τ = 1.88 fs and τ = 3.1 fs with very similar results (see Figure S6 in Supplementary).
![Figure 4:
(a) Energy of the LSPR (ω
P) versus carrier density (black dots) deduced from the fitting procedure depicted in Figure 3. Color map: GDM calculations, frequency dependent extinction versus carrier density. Dashed blue line: exact Mie solution for spherical particle (from Eq. (3)). Vertical dashed line: Cut of the color map along this line is the yellow curve shown in Figure 3c. (b) P concentration inside big particles measured by STEM-EDX (black dots) and carrier concentration measured by FTIR (red circles) as a function of P dose. The range of experimental values for electrical solubility of P in bulk Si at 1050 °C is represented by the grey rectangle [35]. (c) Left axis: scattering time versus carrier density extracted from fitting procedure (red stars). Dashed blue line: Si bulk scattering time τ
bulk(N) [36]. Red dashed line: effective scattering time τ
eff(N) deduced from Eq. (4). Right axis: average number of electrons in each NC contributing to the plasmon resonance versus carrier density (green circles). Inset: black dot: measured average size of the doped Si-NCs versus carrier density. Dashed black line: SiNCs radius r(N) used in Eq. (3).](/document/doi/10.1515/nanoph-2022-0283/asset/graphic/j_nanoph-2022-0283_fig_004.jpg)
(a) Energy of the LSPR (ω P) versus carrier density (black dots) deduced from the fitting procedure depicted in Figure 3. Color map: GDM calculations, frequency dependent extinction versus carrier density. Dashed blue line: exact Mie solution for spherical particle (from Eq. (3)). Vertical dashed line: Cut of the color map along this line is the yellow curve shown in Figure 3c. (b) P concentration inside big particles measured by STEM-EDX (black dots) and carrier concentration measured by FTIR (red circles) as a function of P dose. The range of experimental values for electrical solubility of P in bulk Si at 1050 °C is represented by the grey rectangle [35]. (c) Left axis: scattering time versus carrier density extracted from fitting procedure (red stars). Dashed blue line: Si bulk scattering time τ bulk(N) [36]. Red dashed line: effective scattering time τ eff(N) deduced from Eq. (4). Right axis: average number of electrons in each NC contributing to the plasmon resonance versus carrier density (green circles). Inset: black dot: measured average size of the doped Si-NCs versus carrier density. Dashed black line: SiNCs radius r(N) used in Eq. (3).
Using the carrier density and average volume of the NC in our samples, we can calculate the average number of electrons (equal to the number of activated P atoms) in each NC contributing to the plasmon resonances. We deduced these values with a precision of few electrons and they range from more than 100 electrons for larger NCs (higher P dose) down to approximately ten electrons for small NCs (lower P dose, see green circles in Figure 4c). Due to the collective nature of the plasmonic resonance the question of the minimum number of required electrons is of fundamental nature, our work is confirming the theoretical prediction made in [42] that estimated a minimum of 10 electrons for the plasmonic mode to emerge. This value is quite similar to what has been observed in metallic clusters (
It is worth noting here that the degree of optical field confinement λ IR/(2nd) (where d is the SiNC diameter and n the optical index of SiO2) observed in those samples is extremely high, ranging from 250 for P5 up to 800 for P1. This is significantly higher than what can be obtained with noble metals and even better than what has previously been observed in hyper doped Si based plasmonic metasurfaces [6].
In Figure 4b the carrier density N (red circles) is plotted as a function of the P implanted dose. One can clearly see that this value reaches the electrical solubility of P in bulk Si at 1050 °C (grey rectangle) [35]. Beyond this value, the additional P atoms likely form small electrically inactive clusters. The activation rate, defined as the ratio of the carrier density N to the total number of P atoms inserted inside the SiNCs measured in STEM-EDX ranges between 3 and 5%. This activation ratio is more than one to two orders of magnitude higher than that previously measured on freestanding [44] or silica embedded [45] P doped SiNCs of the same size. However, this activation efficiency is lower than that measured on Si nanostructures obtained through top down processing of hyperdoped Si overlayers, where the activation process occurs at the bulk state and is optimized by non-equilibrium melt laser annealing [6].
Figure 4c shows the scattering time versus the extracted carrier density. For similar carrier density, the scattering time observed in SiNCs (red stars in Figure 4c) is smaller than that observed in continuous Si layers (blue dashed line extracted from [36]). Furthermore, τ(N) exhibits a non-monotonic dependence, increasing with N at low density and decreasing at high density. To explain both observations, we must consider the effects of NC size on scattering time. As the diameter of the NC becomes smaller than the electron mean free path, electrons collide with the spherical NC surface at an average rate of 2v F/r, where v F is the Fermi velocity in Si [46]. To account for the observed dependence of τ eff(N), we must consider two competing effects: (i) In silicon (bulk), the scattering time decreases with increasing carrier density, as described in Ref [36] (see τ bulk(N) dashed blue line on Figure 4c), (ii) the size of the NC in our system is a function of the P content and therefore of the carrier density, with r(N) an increasing function displayed in inset of Figure 4c. As a result, the effective collision time is N dependent [47]:
with
In conclusion, we achieved massively doped SiNCs embedded in a silica matrix by combining low energy ion implantation and rapid thermal annealing. We demonstrated that such embedded nanostructures can support localized surface plasmon resonances that are controlled by the silicon free carrier density. Despite a significant mismatch between the wavelength (4–7 μm) and the Si-NC radius (
Funding source: Agence Nationale de la Recherche
Award Identifier / Grant number: ANR-18-CE09- 0034
Award Identifier / Grant number: ANR-21-CE30-0042
Acknowledgments
The authors thank the China Scholarship Council (201801810118) and l’Institut National de Physique of CNRS for funding. We thank Jérémie Teyssier and Dirk Van der Marel from UniGe for providing the IR spectrometer. The authors acknowledge the CALMIP computing facility (grant P12167) and Jean-Christophe Marrot and Eric Imbernon from the LAAS-CNRS micro and nanotechnologies platform, a member of the French RENATECH network for phosphorus implantations.
-
Author contributions: All the authors have accepted responsibility for the entire content of this submitted manuscript and approved submission.
-
Research funding: This work was partly funded by ANR DONNA (ANR-18-CE09-0034), from the International Emerging Action from CNRS-DONNA and from ANR TI-P (ANR-21-CE30-0042).
-
Conflict of interest statement: The authors declare no conflicts of interest regarding this article.
References
[1] K. Kneipp, Y. Wang, H. Kneipp, et al.., “Single molecule detection using surface-enhanced Raman scattering (SERS),” Phys. Rev. Lett., vol. 78, pp. 1667–1670, 1997. https://doi.org/10.1103/physrevlett.78.1667.Search in Google Scholar
[2] M. Larsson Elin, L. Christoph, and Z. Igor, “Kasemo bengt, nanoplasmonic probes of catalytic reactions,” Science, vol. 326, pp. 1091–1094, 2009. https://doi.org/10.1126/science.1176593.Search in Google Scholar PubMed
[3] H. A. Atwater and A. Polman, “Plasmonics for improved photovoltaic devices,” Nat. Mater., vol. 9, pp. 205–213, 2010. https://doi.org/10.1038/nmat2629.Search in Google Scholar PubMed
[4] S. Link and M. A. El-Sayed, “Size and temperature dependence of the plasmon absorption of colloidal gold nanoparticles,” J. Phys. Chem. B, vol. 103, pp. 4212–4217, 1999. https://doi.org/10.1021/jp984796o.Search in Google Scholar
[5] G. V. Naik, V. M. Shalaev, and A. Boltasseva, “Alternative plasmonic materials: beyond gold and silver,” Adv. Mater., vol. 25, pp. 3264–3294, 2013. https://doi.org/10.1002/adma.201205076.Search in Google Scholar PubMed
[6] J. M. Poumirol, C. Majorel, N. Chery, et al.., “Hyper-doped silicon nanoantennas and metasurfaces for tunable infrared plasmonics,” ACS Photonics, vol. 8, pp. 1393–1399, 2021. https://doi.org/10.1021/acsphotonics.1c00019.Search in Google Scholar
[7] S. Zhou, X. Pi, Z. Ni, et al.., “Comparative study on the localized surface plasmon resonance of boron- and phosphorus-doped silicon nanocrystals,” ACS Nano, vol. 9, pp. 378–386, 2015. https://doi.org/10.1021/nn505416r.Search in Google Scholar PubMed
[8] J. M. Luther, P. K. Jain, T. Ewers, and A. P. Alivisatos, “Localized surface plasmon resonances arising from free carriers in doped quantum dots,” Nat. Mater., vol. 10, pp. 361–366, 2011. https://doi.org/10.1038/nmat3004.Search in Google Scholar PubMed
[9] K. I. Hunter, N. Bedford, K. Schramke, and U. R. Kortshagen, “Probing dopant locations in silicon nanocrystals via high energy X-ray diffraction and reverse monte carlo simulation,” Nano Lett., vol. 20, pp. 852–859, 2020. https://doi.org/10.1021/acs.nanolett.9b03025.Search in Google Scholar PubMed
[10] N. J. Kramer, K. S. Schramke, and U. R. Kortshagen, “Plasmonic properties of silicon nanocrystals doped with boron and phosphorus,” Nano Lett., vol. 15, pp. 5597–5603, 2015. https://doi.org/10.1021/acs.nanolett.5b02287.Search in Google Scholar PubMed
[11] D. J. Rowe, J. S. Jeong, K. A. Mkhoyan, and U. R. Kortshagen, “Phosphorus-doped silicon nanocrystals exhibiting mid-infrared localized surface plasmon resonance,” Nano Lett., vol. 13, pp. 1317–1322, 2013. https://doi.org/10.1021/nl4001184.Search in Google Scholar PubMed
[12] J. A. Faucheaux, A. L. D. Stanton, and P. K. Jain, “Plasmon resonances of semiconductor nanocrystals: physical principles and new opportunities,” J. Phys. Chem. Lett., vol. 5, pp. 976–985, 2014. https://doi.org/10.1021/jz500037k.Search in Google Scholar PubMed
[13] R. Zhang, L. Bursi, J. D. Cox, et al.., “How to identify plasmons from the optical response of nanostructures,” ACS Nano, vol. 11, pp. 7321–7335, 2017. https://doi.org/10.1021/acsnano.7b03421.Search in Google Scholar PubMed PubMed Central
[14] E. Arduca and M. Perego, “Doping of silicon nanocrystals,” Mater. Sci. Semicond. Process., vol. 62, pp. 156–170, 2017. https://doi.org/10.1016/j.mssp.2016.10.054.Search in Google Scholar
[15] B. Fernandez, M. Lopez, C. Garcia, et al.., “Influence of average size and interface passivation on the spectral emission of Si nanocrystals embedded in SiO2,” J. Appl. Phys., vol. 91, pp. 798–807, 2002. https://doi.org/10.1063/1.1423768.Search in Google Scholar
[16] X. Hao, E. C. Cho, G. Scardera, et al.., “Effects of phosphorus doping on structural and optical properties of silicon nanocrystals in a SiO2 matrix,” Thin Solid Films, vol. 517, pp. 5646–5652, 2009. https://doi.org/10.1016/j.tsf.2009.02.076.Search in Google Scholar
[17] T. C. J. Yang, K. Nomoto, B. Puthen-Veettil, et al.., “Properties of silicon nanocrystals with boron and phosphorus doping fabricated via silicon rich oxide and silicon dioxide bilayers,” Mater. Res. Express, vol. 4, p. 075004, 2017. https://doi.org/10.1088/2053-1591/aa7328.Search in Google Scholar
[18] M. Fujii, K. Toshikiyo, Y. Takase, Y. Yamaguchi, and S. Hayashi, “Below bulk-band-gap photoluminescence at room temperature from heavily P- and B-doped Si nanocrystals,” J. Appl. Phys., vol. 94, pp. 1990–1995, 2003. https://doi.org/10.1063/1.1590409.Search in Google Scholar
[19] R. Guerra and S. Ossicini, “Preferential positioning of dopants and Co-dopants in embedded and freestanding Si nanocrystals,” J. Am. Chem. Soc., vol. 136, pp. 4404–4409, 2014. https://doi.org/10.1021/ja5002357.Search in Google Scholar PubMed
[20] N. Garcia-Castello, S. Illera, J. D. Prades, S. Ossicini, A. Cirera, and R. Guerra, “Energetics and carrier transport in doped Si/SiO2 quantum dots,” Nanoscale, vol. 7, pp. 12564–12571, 2015. https://doi.org/10.1039/c5nr02616d.Search in Google Scholar PubMed
[21] R. Khelifi, D. Mathiot, R. Gupta, D. Muller, M. Roussel, and S. Duguay, “Efficient n-type doping of Si nanocrystals embedded in SiO2 by ion beam synthesis,” Appl. Phys. Lett., vol. 102, p. 013116, 2013. https://doi.org/10.1063/1.4774266.Search in Google Scholar
[22] R. Demoulin, M. Roussel, S. Duguay, et al.., “Atomic-scale characterization of N-doped Si nanocrystals embedded in SiO2 by atom probe tomography,” J. Phys. Chem. C, vol. 123, pp. 7381–7389, 2019. https://doi.org/10.1021/acs.jpcc.8b08620.Search in Google Scholar
[23] K. Nomoto, H. Sugimoto, A. Breen, et al.., “Atom probe Tomography analysis of boron and/or phosphorus distribution in doped silicon nanocrystals,” J. Phys. Chem. C, vol. 120, pp. 17845–17852, 2016. https://doi.org/10.1021/acs.jpcc.6b06197.Search in Google Scholar
[24] K. Sakamoto, K. Nishi, F. Ichikawa, and S. Ushio, “Segregation and transport coefficients of impurities at the Si/SiO2 interface,” J. Appl. Phys., vol. 61, pp. 1553–1555, 1987. https://doi.org/10.1063/1.338089.Search in Google Scholar
[25] N. Chery, M. Zhang, R. Monflier, et al.., “Study of recrystallization and activation processes in thin and highly doped silicon-on-insulator layers by nanosecond laser thermal annealing,” J. Appl. Phys., vol. 131, p. 065301, 2022. https://doi.org/10.1063/5.0073827.Search in Google Scholar
[26] M. Perego, G. Seguini, E. Arduca, et al.., “Thermodynamic stability of high phosphorus concentration in silicon nanostructures,” Nanoscale, vol. 7, pp. 14469–14475, 2015. https://doi.org/10.1039/c5nr02584b.Search in Google Scholar PubMed
[27] R. W. Olesinski, N. Kanani, and G. J. Abbaschian, “The P–Si (Phosphorus–Silicon) system,” Bull. Alloy Phase Diagr., vol. 6, pp. 130–133, 1985. https://doi.org/10.1007/bf02869224.Search in Google Scholar
[28] I. H. Malitson, “Interspecimen Comparison of the refractive index of fused silica,” J. Opt. Soc. Am., vol. 55, pp. 1205–1209, 1965. https://doi.org/10.1364/josa.55.001205.Search in Google Scholar
[29] R. Kitamura, L. Pilon, and M. Jonasz, “Optical constants of silica glass from extreme ultraviolet to far infrared at near room temperature,” Appl. Opt., vol. 46, p. 8118, 2007. https://doi.org/10.1364/ao.46.008118.Search in Google Scholar PubMed
[30] P. R. Wiecha, “pyGDM—a python toolkit for full-field electro-dynamical simulations and evolutionary optimization of nanostructures,” Comput. Phys. Commun., vol. 233, pp. 167–192, 2018. https://doi.org/10.1016/j.cpc.2018.06.017.Search in Google Scholar
[31] C. Majorel, V. Paillard, A. Patoux, et al.., “Theory of plasmonic properties of hyper-doped silicon nanostructures,” Opt. Commun., vol. 453, p. 124336, 2019. https://doi.org/10.1016/j.optcom.2019.124336.Search in Google Scholar
[32] D. Chandler-Horowitz and P. M. Amirtharaj, “High-accuracy, midinfrared refractive index values of silicon,” J. Appl. Phys., vol. 97, p. 123526, 2005. https://doi.org/10.1063/1.1923612.Search in Google Scholar
[33] V. A. Markel, “Introduction to the Maxwell Garnett approximation: tutorial,” J. Opt. Soc. Am. A, vol. 33, p. 1244, 2016. https://doi.org/10.1364/josaa.33.001244.Search in Google Scholar
[34] J. C. M. Garnett and J. LarmorXII, “Colours in metal glasses and in metallic films,” Philos. Trans. R. Soc. Lond. – Ser. A Contain. Pap. A Math. or Phys. Character, vol. 203, pp. 385–420, 1904.10.1098/rsta.1904.0024Search in Google Scholar
[35] P. Pichler, Intrinsic Point Defects, Impurities, and Their Diffusion in Silicon, Computational Microelectronics, S. Selberherr, Ed., Vienna, Springer, 2004.10.1007/978-3-7091-0597-9Search in Google Scholar
[36] G. Masetti, M. Severi, and S. Solmi, “Modeling of carrier mobility against carrier concentration in arsenic-, phosphorus-, and boron-doped silicon,” IEEE Trans. Electron Devices, vol. 30, pp. 764–769, 1983. https://doi.org/10.1109/t-ed.1983.21207.Search in Google Scholar
[37] S. Maier, Plasmonics: Fundamentals and Applications, Switzerland, Spinger Nature, 2007, p. 67.10.1007/0-387-37825-1Search in Google Scholar
[38] R. Marty, A. Mlayah, A. Arbouet, C. Girard, and S. Tripathy, “Plasphonics: local hybridization of plasmons and phonons,” Opt. Express, vol. 21, p. 4551, 2013. https://doi.org/10.1364/oe.21.004551.Search in Google Scholar PubMed
[39] G. Abstreiter, M. Cardona, A. Pinczuk, A. Cardona, and G. Güntherodt, Eds. Light Scattering in Solids IV, vol. 54, Berlin, Heidelberg, Springer, 1984.Search in Google Scholar
[40] F. J. Bezares, A. D. Sanctis, J. R. M. Saavedra, et al.., “Intrinsic plasmon–phonon interactions in highly doped graphene: a near-field imaging study,” Nano Lett., vol. 17, pp. 5908–5913, 2017. https://doi.org/10.1021/acs.nanolett.7b01603.Search in Google Scholar PubMed
[41] J. J. Liberko, J. A. Busche, R. Seils, et al.., “Probing nanoparticle substrate interactions with synchrotron infrared nanospectroscopy: coupling gold nanorod Fabry-Pérot resonances with SiO2 and h-BN phonons,” Phys. Rev. B, vol. 104, p. 035412, 2021. https://doi.org/10.1103/physrevb.104.035412.Search in Google Scholar
[42] X. Pi and C. Delerue, “Tight-binding calculations of the optical response of optimally P-doped Si nanocrystals: a model for localized surface plasmon resonance,” Phys. Rev. Lett., vol. 111, p. 177402, 2013. https://doi.org/10.1103/physrevlett.111.177402.Search in Google Scholar
[43] H. Haberland, B. von Issendorff, J. Yufeng, and T. Kolar, “Transition to plasmonlike absorption in small Hg clusters,” Phys. Rev. Lett., vol. 69, pp. 3212–3215, 1992. https://doi.org/10.1103/physrevlett.69.3212.Search in Google Scholar
[44] R. Gresback, N. J. Kramer, Y. Ding, T. Chen, U. R. Kortshagen, and T. Nozaki, “Controlled doping of silicon nanocrystals investigated by solution-processed field effect transistors,” ACS Nano, vol. 8, pp. 5650–5656, 2014. https://doi.org/10.1021/nn500182b.Search in Google Scholar PubMed
[45] S. Gutsch, J. Laube, D. Hiller, et al.., “Electronic properties of phosphorus doped silicon nanocrystals embedded in SiO2,” Appl. Phys. Lett., vol. 106, p. 113103, 2015. https://doi.org/10.1063/1.4915307.Search in Google Scholar
[46] C. Flytzanis, F. Hache, M. Klein, D. Ricard, and P. Roussignol, Progress in Optics, vol. 29, E. Wolf, Ed., Elsevier, 1991, pp. 321–411.Search in Google Scholar
[47][a] “The quantum mechanical calculation gives: 1/τeff = 1/τbulk + g(ν) × vF/r where g(ν)=1/ν∫1−ν1x3/2(x+ν)1/2dν$g\left(\nu \right)=1/\nu {\int }_{1-\nu }^{1}{x}^{3/2}{\left(x+\nu \right)}^{1/2} \mathrm{d}\nu $ with ν = ℏω/EF. The g(ν) factor is usually found very close to unity. See Kreibig, U. Electronic properties of small silver particles: the optical constants and their temperature dependence,” J. Phys. F. Met. Phys., vol. 4, pp. 999–1014, 1974.Search in Google Scholar
[b] A. Kawabata and R. Kubo, “Electronic properties of fine metallic particles. II. Plasma resonance absorption,” J. Phys. Soc. Jpn., vol. 21, pp. 1765–1772, 1966.10.1143/JPSJ.21.1765Search in Google Scholar
[c] C. Flytzanis, F. Hache, M. Klein, D. Ricard, and P. Rous-Signol, Progress in Optics, vol. 29, E. Wolf, Ed., Elsevier, 1991, pp. 321–411.10.1016/S0079-6638(08)70009-XSearch in Google Scholar
Supplementary Material
The online version of this article offers supplementary material (https://doi.org/10.1515/nanoph-2022-0283).
© 2022 the author(s), published by De Gruyter, Berlin/Boston
This work is licensed under the Creative Commons Attribution 4.0 International License.
Articles in the same Issue
- Frontmatter
- Review
- Super-resolution optical microscopy using cylindrical vector beams
- Research Articles
- Multi-moded high-index contrast optical waveguide for super-contrast high-resolution label-free microscopy
- Resonant multilevel optical switching with phase change material GST
- Geometry-dependent skin effects in reciprocal photonic crystals
- Steering coherence in quantum dots by carriers injection via tunneling
- Nonlinear localized modes in one-dimensional nanoscale dark-state optical lattices
- Chirality-modulated photonic spin Hall effect in PT-symmetry
- Infrared nanoplasmonic properties of hyperdoped embedded Si nanocrystals in the few electrons regime
- Edge states in plasmonic meta-arrays
- Surface-wave coupling in double Floquet sheets supporting phased temporal Wood anomalies
- Ultrahigh-performance vector magnetic field sensor with wedge-shaped fiber tip based on surface plasmon resonance and magnetic fluid
- Erratum
- Erratum to: Controlling the plasmon resonance via epsilon-near-zero multilayer metamaterials
Articles in the same Issue
- Frontmatter
- Review
- Super-resolution optical microscopy using cylindrical vector beams
- Research Articles
- Multi-moded high-index contrast optical waveguide for super-contrast high-resolution label-free microscopy
- Resonant multilevel optical switching with phase change material GST
- Geometry-dependent skin effects in reciprocal photonic crystals
- Steering coherence in quantum dots by carriers injection via tunneling
- Nonlinear localized modes in one-dimensional nanoscale dark-state optical lattices
- Chirality-modulated photonic spin Hall effect in PT-symmetry
- Infrared nanoplasmonic properties of hyperdoped embedded Si nanocrystals in the few electrons regime
- Edge states in plasmonic meta-arrays
- Surface-wave coupling in double Floquet sheets supporting phased temporal Wood anomalies
- Ultrahigh-performance vector magnetic field sensor with wedge-shaped fiber tip based on surface plasmon resonance and magnetic fluid
- Erratum
- Erratum to: Controlling the plasmon resonance via epsilon-near-zero multilayer metamaterials