Startseite Delinquenz im Altersverlauf
Artikel Öffentlich zugänglich

Delinquenz im Altersverlauf

Befunde der kriminologischen VerlaufsforschungResearch findings in life-course criminology
  • Klaus Boers EMAIL logo
Veröffentlicht/Copyright: 30. Mai 2019

Zusammenfassung

In der kriminologischen Verlaufsforschung werden die Kontinuität und der Abbruch delinquenten Verhaltens im Altersverlauf analysiert. Dazu müssen wiederholt dieselben Personen befragt werden. Neben der Entwicklungsdynamik ermöglichen solche Paneldaten, sowohl kausale Annahmen als auch die Wirkungen von Kontrollinterventionen zu untersuchen. Seit den 1930er Jahren haben sich zunächst eher persönlichkeitsorientierte multifaktorielle und später soziologische Forschungsperspektiven herausgebildet. Im Rahmen Letzterer konnten in jüngerer Zeit auch die Wirkungen polizeilicher und justizieller Kontrollen genauer untersucht werden. In einer Verlaufsperspektive sind weniger sich spontanbewährende gelegentliche Täter von Interesse, als vielmehr wiederholt auffällige (Gewalt-)Täter. Solche Intensivtäter sind ganz überwiegend nicht bis ins höhere Erwachsenenalter, sondern vor allem im Jugend- und Heranwachsendenalter aktiv. Individuelle und (etwas stärker) soziale Ursachen beeinflussen miteinander die Entstehung und den Abbruch delinquenter Verläufe. Formelle Kontrollinterventionen fördern delinquente Normorientierungen sowie die Bindung an delinquente Gruppen und reduzieren schulische oder berufliche Erfolgschancen. In deren Folge kommt es verstärkt zu delinquentem Verhalten.

Abstract

The continuity of and desistance from delinquent behavior is a focal point of interest in developmental and life-course criminology. To analyze such phenomena, a repeated interrogation of the same respondents is essential. Such panel data allow for the analysis of developmental dynamics, of causal processes or of the impact of control interventions. Since the 1930 s, personality-oriented multifactorial as well as sociological perspectives have emerged in life-course criminology. From a life-course perspective, especially intensive offending is of interest rather than occasional offending. However, intensive (violent) offenders are not necessarily persistent offenders over the life-course. They are mainly active during adolescence, while most of them start to desist from crime in early adulthood. Individual and (somewhat more) social factors are interrelated in causing the emergence of as well as the desistance from delinquent behavior. Formal control interventions foster delinquent peer associations as well as delinquent norm orientations while reducing conventional life chances. Subsequently, this leads to an increase of delinquent behavior.

1 Einführung

In der Kriminologie, Kriminalpraxis und Kriminalpolitik besteht seit jeher ein großes Interesse an der Kontinuität und Veränderung delinquenten Verhaltens. Die Beschreibung und Analyse dieser beiden Phänomene bilden das Zentrum der kriminologischen Verlaufsforschung (Life-Course oder Developmental Criminology). Im Einzelnen geht es um die Entstehungsbedingungen, die Entwicklung und Vorhersage der Delinquenz im Altersverlauf sowie um die Wirkungen von Präventionsmaßnahmen und sozialen Kontrollinterventionen. Es handelt sich mithin um Grundlagenforschung mit großer praktischer Bedeutung.

Innerhalb der Kriminologie stellt die Verlaufsforschung einen der ältesten und umfangreichsten Forschungsbereiche dar. Ihre Anfänge liegen in den 1930er Jahren in den Vereinigten Staaten mit wiederholt durchgeführten Untersuchungen von Kontrastgruppen delinquenter und nichtdelinquenter Jugendlicher in St. Louis (Robins 1966), Cambridge, Massachusetts (McCord et al. 1959) sowie in Boston mit der bis heute bedeutsamen Crime and Causation Study des Ehepaares Glueck (Glueck & Glueck 1950). Auch die Mitte der 1960er Jahre als erste deutsche kriminologische Längsschnittstudie begonnene Tübinger Jungtäter-Vergleichsuntersuchung folgte einem solchen Forschungsdesign (Göppinger 1983).

Die sehr aufwendigen kriminologischen Verlaufsuntersuchungen wurden kontinuierlich weitergeführt und haben mittlerweile mit weltweit über 30 Studien ein großes Ausmaß an Datensätzen und Veröffentlichungen hervorgebracht. Der Grund liegt darin, dass in kaum einem anderen kriminologischen Forschungsbereich Grundlagen- und Anwendungsforschung sowie erkenntnistheoretische Fragen so eng miteinander verbunden sind.

Insbesondere in den frühen, aber auch in neueren Studien ging und geht man in der Tradition eines positivistisch-kausalen Erkenntnisprogramms davon aus, dass delinquentes Verhalten aufgrund einer kausalen Erklärung vorhergesagt und im Zuge von Prävention und Intervention kontrolliert werden kann. Wie in den Naturwissenschaften die Natur, so sollte auch die in der vermeintlich biologischen, psychischen oder sozialen »Natur« vorgegebene Delinquenz erforscht werden können. Vor allem in der Frühphase der Disziplin wollte man mit einem am naturwissenschaftlichen Positivismus orientierten Erkenntnisprogramm seine Eigenständigkeit und Wissenschaftlichkeit sowohl gegenüber den Bezugsdisziplinen (Strafrechtswissenschaft, Soziologie und Psychologie) als auch gegenüber kritischen Effizienzerkundigungen aus der Politik und Praxis dokumentieren. Die positivistische Erkenntnistrias des Erklärens, Vorhersagens und Kontrollierens wurde seit der wissenschaftlich-technischen Revolution des 19. Jahrhunderts von außerordentlichen Erfolgen, insbesondere im naturwissenschaftlichen und medizinischen Fortschritt und in technischen Entwicklungen, gekrönt. Die darauf beruhenden hochgesteckten Erwartungen konnten in den Sozial- und Verhaltenswissenschaften jedoch nicht in vergleichbarem Maße erfüllt werden. Menschliches Verhalten und soziale Interaktionen sind nun einmal noch komplexer als die Natur und technische Konstruktionen.

Die Hoffnung, zu einem frühen Zeitpunkt und für einen längeren Lebensabschnitt verlässliche und damit praxistaugliche Verfahren der individuellen Prognose entwickeln zu können, läuft letztlich (zumal auf der Grundlage eines reinen Kausalmodells) auf eine wissenschaftliche Überforderung hinaus. Möglich erscheint indessen, dass die immer nur für bestimmte Gruppen zu erlangenden statistischen Befunde (Aggregate) zur Verlaufsklassifizierung einen Wahrscheinlichkeitsrahmen zu erwartender und (im Sinne eines negativen Ausschlusses) vor allem auch nicht zu erwartender Entwicklungen abstecken. Dieser kann die Strukturierung eines kontinuierlichen Risikokalküls individueller Verläufe[1] und darauf aufbauender Maßnahmen zur Prävention und Intervention systematisch unterstützen.

In einem solchen erkenntnistheoretisch zurückhaltenderen Sinne hat die kriminologische Verlaufsforschung zu zahlreichen bedeutenden Erkenntnissen beigetragen. Sie beruhen auf dem entscheidenden Vorteil dieser Untersuchungsmethode: Längsschnittstudien sind per definitionem dynamisch orientiert. Es ist damit grundsätzlich möglich, die Auswirkungen von Veränderungen individueller Dispositionen sowie des Wandels gesellschaftlicher Kontexte und sozialer Kontrollstrukturen zu analysieren. Längsschnittstudien mit denselben Probanden (sogenannte Panel-Studien) ermöglichen die Analyse sowohl interindividueller Gruppenvergleiche als insbesondere auch intraindividueller Entwicklungen.[2]

In der kriminologischen Verlaufsforschung bezieht sich die Zeitdimension auf das Alter (Lebenszeit) und nicht auf das Kalenderjahr. Mit wiederholten Befragungen derselben Personen können die Ursachen individueller Delinquenzentwicklungen sowie die individuellen Auswirkungen von Prävention und sozialer Kontrolle untersucht werden. Bei Untersuchungen aufgrund des Kalenderjahres (kalendarische Zeit) handelt es sich hingegen um Zeitreihen. Hier werden unterschiedliche Personengruppen desselben Alters (oder derselben Altersgruppen) in aufeinanderfolgenden Zeiteinheiten befragt. Sie dienen der Beobachtung der Kriminalitätsentwicklung zwischen verschiedenen Kalenderjahren. Dabei werden für die gesamte oder für Teile der Gesellschaft Tat-, Täter- oder Opferraten aggregiert. Solche Aggregatdaten bilden die empirische Grundlage für makrosoziale Kriminalitätsanalysen sowie für kriminalpolitische Planungen.

Im Folgenden wird nach einer kurzen Erläuterung der Parameter zur Beschreibung von Delinquenzverläufen (2.) zunächst auf die Definition und Klassifikation von (persistenten) Intensivtätern im Kontext von Ubiquität und Spontanbewährung eingegangen (3.). Sodann werden die Perspektiven und wesentlichen Befunde der kriminologischen Verlaufsforschung anhand einer Unterscheidung in multifaktorielle und soziologische Untersuchungen erörtert (4.).[3]

2 Parameter zur Beschreibung delinquenter Verläufe

Eine Voraussetzung für die Analyse der Entstehungsbedingungen delinquenter Verläufe ist die genaue Beschreibung solcher Verläufe. Hierzu hat das in den 1980er Jahren durchgeführte US-amerikanische Panel on Research on Criminal Careers vier sogenannte Karriereparameter entwickelt: Prävalenz, Täterinzidenz, Dauer und Schwere (Blumstein et al. 1986, 17 ff., 31 ff.). Nur die Schwere (Spezialisierung und Eskalation) wird an dieser Stelle ausführlicher erörtert. Auf die drei anderen Parameter wird in den folgenden Darstellungen hinlänglich Bezug genommen.

2.1 Prävalenz

Die Prävalenz (Participation) bezieht sich auf die Verbreitung von Personen mit einer bestimmten Eigenschaft und wird bei Dunkelfelddaten als Prozentrate berechnet (Anzahl der Täter oder Opfer je 100 Personen der altersgleichen Bevölkerung). Bei Hellfelddaten werden Täterprävalenzraten auf 100.000 Personen der altersgleichen Bevölkerung bezogen, z. B. die Tatverdächtigenbelastungszahl (TVBZ) in der Polizeilichen Kriminalstatistik (Bundeskriminalamt 2018 a, 49). Anhand von Prävalenzraten werden beispielsweise die kriminologisch bedeutsame weite, aber in der Regel episodenhafte Verbreitung jugendlicher Delinquenz und die damit verbundenen Phänomene der Ubiquität und Spontanbewährung beschrieben (Abschnitt 3.1).

2.2 Täterinzidenz

Die Täterinzidenz (Frequency) bezieht sich auf die Häufigkeit des Auftretens des Ereignisses Tatbegehung und wird als durchschnittliche Tathäufigkeit pro aktivem (d. h. in Freiheit befindlichem) Täter berechnet (Anzahl der Tatbegehungen einer Population dividiert durch die Anzahl der Täter). Bei Dunkelfelddaten (Täterbefragungen) wird die Täterinzidenzrate mit λ, bei Hellfelddaten mit µ bezeichnet. Messeinheit ist hier also nicht die Person (Verbreitung in einer Population), sondern das individuelle Ereignis (Intensität). Damit kann insbesondere die Intensität der Deliktsbegehungen der zahlenmäßig wenigen Mehrfach- und Intensivtäter beschrieben werden (Abschnitt 3.2). Um zu berücksichtigen, dass Täter, die sich in einer geschlossenen Einrichtung befinden oder befanden, weniger Tatgelegenheiten haben als Täter, die in Freiheit leben, sollten die Tathäufigkeiten Ersterer anhand der zuvor in Freiheit begangenen Delikte sowie anhand der Unterbringungszeit gewichtet werden.

2.3 Dauer

Die Dauer (Duration) eines intensiven Delinquenzverlaufs soll anhand von dessen Beginn und Abbruch bestimmt werden. Hiermit sind vor allem zwei kriminologisch bedeutsame Phänomene verbunden: Zum einen, ob es sich um eine länger andauernde Entwicklung (Persistence) handelt; zum anderen, unter welchen Bedingungen es zu einem Abbruch (Desistance) von sogar persistenten Delinquenzverläufen kommen kann (Abschnitte 4.1.1, 4.2.1.3).

2.4 Schwere

Bei der Schwere (Seriousness) eines intensiven Delinquenzverlaufs geht es zum einen um den Umfang der Spezialisierung auf bestimmte Deliktsarten (vor allem auf Gewaltdelikte) und zum anderen um die quantitative (mehr Delikte) sowie qualitative (mehr schwerere Delikte) Eskalation der Tatbegehungen.

2.4.1 Spezialisierung

Unter Spezialisierung wird die Tendenz zur wiederholten Begehung desselben Delikts oder von Delikten derselben Deliktsgruppe verstanden, wobei Letzteres eine Spezialisierung wegen der größeren Wiederholungschance eher erwarten lässt (Blumstein et al. 1986, 81; MacDonald et al. 2014, 45). Im Rahmen eines Karriereparadigmas ist mit der Tathäufigkeit eine zunehmende Spezialisierung zu erwarten. Eine solche Annahme ist aber eigentlich nur dann sinnvoll, wenn es zu einer Spezialisierung auf schwerere Delikte kommt (MacDonald et al. 2014, 46 f.). Denn eine Spezialisierung auf z. B. Bagatelldelikte würde der dem Karriereparadigma unterliegenden Annahme einer Entwicklung zu problematischen Formen delinquenten Verhaltens (Spezialisierung als Teil des Schwereparameters) nicht entsprechen.

Spezialisierungsprozesse wurden zunächst vornehmlich anhand der in einer Übergangsmatrix aggregierten Übergangswahrscheinlichkeiten von einem zum nächsten Delikt analysiert (Wolfgang et al. 1972, 175 ff.). Neuere Untersuchungen beruhen auf statistisch elaborierteren Analysen intraindividueller Zusammenhänge (im Überblick: MacDonald 2014 et al., 45 f.). Die meisten Untersuchungen sind bislang ganz überwiegend mit Hellfelddaten durchgeführt worden, auch weil diese mit dem jeweiligen Tatzeitpunkt eine genaue zeitliche Anordnung der einzelnen Ereignisse ermöglichen. Sie erlauben hinsichtlich der eigentlich interessanten Spezialisierung des Täterverhaltens im Dunkelfeld allenfalls Vermutungen.[4]

Die empirischen Befunde früherer (aus den 1970er und 1980er Jahren) wie neuerer Untersuchungen mit Hellfelddaten lassen bei jungen Tätern nur geringe Spezialisierungstendenzen erkennen. Diese waren bei Gewaltdelikten seltener als bei Eigentums- oder Drogendelikten. Delinquente Entwicklungen wären demnach in jungen Jahren durch Versatilität geprägt, also durch eine Tendenz, bei mehrfacher Tatbegehung eher verschiedenartige statt derselben Delikte oder Deliktsarten zu begehen. Vornehmlich im Erwachsenenalter konnte, wiederum vor allem bei Eigentumsdelikten, eine stärkere Tendenz zur Spezialisierung beobachtet werden (Wolfgang et al. 1972, 188 f.; Klein 1984; Blumstein et al. 1986, 81 ff.; Cohen 1986, 390 ff.; Farrington et al. 1988; Nieuwbeerta et al. 2011). Allerdings zeigten sich in der vor allem jüngeren Philadelphia Geburtskohorte (Geburtsjahr: 1958) auch bei mehrfach[5] auffälligen jugendlichen Tatverdächtigen deutlichere Spezialisierungen, am stärksten bei Diebstahl, weniger ausgeprägt bei Körperverletzungs- und Sachbeschädigungsdelikten (Tracy et al. 1990, 116 ff., 284; aufgrund von Reanalysen dieser Daten zurückhaltender: Schubert 1997, 118 ff.). Ebenfalls nur schwache Spezialisierungen bei Gewaltdelikten ergaben (allerdings nicht nach dem Alter differenzierte) Untersuchungen der Sanktionsentscheidungen deutscher Gerichte (Jahr der Bezugsentscheidung: 1994, Harrendorf 2007, 318 ff., 395; siehe im Überblick auch Eisenberg & Kölbel 2017, 1115 ff.).

Analysen mit Dunkelfelddaten wurden erst in jüngerer Zeit durchgeführt. Sie untersuchen Delinquenzmuster mit elaborierteren Methoden auf der individuellen Ebene und gelangen zu heterogeneren Befunden als Hellfelddatenanalysen. Diese reichen von Versatilität in jungen Jahren (MacDonald et al. 2014, 50 ff.) zu auch im Jugendalter und auch bei Gewaltdelikten mehr oder weniger deutlich zu beobachtenden Spezialisierungen (Lynam et al. 2004; Loeber et al. 2008 b, 317;[6]Deane et al. 2005; Osgood & Schreck 2007; zum Ganzen: Piquero et al. 2003, 453 ff.; 2012, 28 ff.; im Überblick auch Walter & Neubacher 2011, 267 f.).

2.4.2 Eskalation

Unter Eskalation wird die Tendenz zur Begehung schwererer Delikte im Verlauf wiederholter Tatbegehungen verstanden. Aus Sicht eines Karriereparadigmas sollte sich insbesondere in diesem Kennwert die Entwicklung einer kriminellen Karriere manifestieren (Blumstein et al. 1986, 84). Man wird wohl nicht nur den Übergang von leichteren zu schweren Delikten, sondern auch eine (deutlich) häufigere Begehung schwerer Delikte als Eskalation auffassen können (so auch Liu et al. 2011, 176). Eine Deliktseskalation ist wie der Delinquenzabbruch oder die Spezialisierung sinnvollerweise nur bei wiederholt auffälligen Delinquenten zu erwarten.

In Analysen mit Hellfelddaten wurden Eskalationsprozesse hin zu schwereren (Gewalt-)Delikten am ehesten im Jugendalter beobachtet (Blumstein et al. 1986, 84; Cohen 1986, 402 ff.; Farrington et al. 1988, 481 f.; nur für das Jugendalter mit einem Schwereindex vor allem für die 1958er Philadelphia Geburtskohorte: Tracy et al. 1990, 159 ff., 285 f.; Schubert 1997, 115 ff.).[7] Analysen mit Verurteilungen aus England und Wales weisen zudem darauf hin, dass eine Differenzierung der für Eskalationsprozesse gewählten Beobachtungseinheit zu unterschiedlichen Befunden führen kann. Während die Deliktsschwere ab dem Jugendalter am ehesten eskalierte, wenn man die zunehmende Anzahl der Sanktionierungen zugrunde legte, zeigte sich bei Berücksichtigung der Altersentwicklung mit zunehmenden Lebensjahren eine Deeskalation (Liu et al. 2011, 188).

In den nur wenigen Untersuchungen mit Dunkelfelddaten wurde ebenfalls eine Tendenz zur Eskalation in Richtung Gewaltdelikte bei jugendlichen Mehrfachtätern festgestellt. Diese Analysen untersuchten, ob im Verlauf der Deliktsbegehung überhaupt eine höhere Stufe eines hierarchisch geordneten Delinquenzpfades erreicht wurde (Le Blanc & Fréchette 1989, 113 ff.; Elliott 1994, 10 ff.; Loeber et al. 1999; 2008 b, 316; im Überblick unter dem Begriff »Aggravation«: Le Blanc & Loeber 1998, 141 ff.).

Spezialisierungs- und vor allem Eskalationsprozesse wurden bislang nur selten mit Dunkelfelddaten über längere Alterszeiträume untersucht. Denn erst in neuerer Zeit stehen Datensätze zur Verfügung, die vom Kindes- bzw. Jugendalter bis in das Erwachsenenalter reichen. Mit in Deutschland erhobenen Daten wurden – soweit bekannt – solche Analysen bislang nicht durchgeführt. Die bislang insgesamt noch uneindeutigen Befunde mögen auch mit der noch recht lückenhaften Datenlage zusammenhängen. Die Frage, ob und inwieweit von Spezialisierung und Eskalation, also im Delinquenzverlauf von einer zunehmenden Schwere ausgegangen werden kann, wird deshalb zurzeit nur der Tendenz nach zu beantworten sein (siehe auch Piquero et al. 2012, 30 f.). Ermutigend ist, dass mit neueren Methoden die diesbezüglichen Verläufe auf individueller (und nicht auf aggregierter) Ebene angemessener untersucht werden können.

3 Die Trias: Ubiquität, Spontan-bewährung und Intensivtäter-schaft. Grundphänomene und Definitionen

Im Zentrum der kriminologischen Verlaufsforschung stehen nicht alle mit der Altersentwicklung der Kriminalität zusammenhängenden Phänomene. Es geht vor allem um dauerhafte und intensive Delinquenzentwicklungen und weniger um das gelegentliche und spätestens im Jugendalter – im Zuge des Prozesses der Spontanbewährung – vorübergehende delinquente Verhalten. Denn vor allem bei der dauerhaften Delinquenz werden die in der Regel detaillierteren Theorien und Untersuchungen über den Verlauf (Persistenz und Abbruch) und die Ursachen der Delinquenz sowie über die Wirkungen von Kontrollinterventionen bedeutsam.

Um den Gegenstandsbereich der kriminologischen Verlaufsforschung genauer abschichten zu können, ist es sinnvoll, zunächst die Trias der Grundphänomene der Verbreitung und Entwicklung der Delinquenz von Jugendlichen und Heranwachsenden in den Blick zu nehmen: Ubiquität, Spontanbewährung und Intensivtäterschaft (siehe nur Eisenberg & Kölbel 2017, 965 f.; Neubacher 2017, 70 ff.). Diese Phänomene können insbesondere im Rahmen von Täterbefragungen und Verlaufsuntersuchungen beobachtet werden. Täterbefragungen werden seit den 1940er Jahren vornehmlich mit jungen Menschen durchgeführt. Sie dienen der Erhebung des Dunkelfeldes der Delinquenz.[8]

3.1 Ubiquität und Spontanbewährung

Mit Ubiquität wird in der Kriminologie die weite Verbreitung der Delinquenz im Jugendalter bezeichnet. Eines der zunächst unerwarteten Ergebnisse der Täterbefragungen war und ist, dass das Begehen von delinquenten Handlungen im Jugendalter deutlich weiter als im polizeilich registrierten Hellfeld der Kriminalität verbreitet ist, nämlich so weit, dass bis zum Beginn des Erwachsenenalters fast alle Jungen und die meisten Mädchen zumindest einmal die Begehung einer Straftat berichten. Ganz überwiegend handelt es sich dabei freilich um leichte Delikte (vor allem Ladendiebstahl) und, in etwas geringerem Ausmaß, um Delikte, die im unteren Bereich mittlerer Schwere liegen (Fahrraddiebstahl, Autoaufbruch, Körperverletzungen).[9]

Allerdings gehen die Täterprävalenzraten nach einem steilen Anstieg ab dem Ende des Kindesalters noch im Jugendalter weitgehend zurück. Das Begehen von Straftaten ist lediglich eine Episode im menschlichen Lebensverlauf. Dieser glockenförmige Verlauf der Alterskurve kriminologischer Prävalenzraten wird als Spontanbewährung bezeichnet und wurde erstmals im 19. Jahrhundert von dem Astronomen und Statistiker Quetelet (1869 [1835], 299 ff.) anhand von französischen Justizstatistiken der Jahre 1826 bis 1829 beschrieben. Das Grundmuster dieses Phänomens wurde seitdem immer wieder in verschiedenen Ländern, in Hell- wie in Dunkelfelddaten, beobachtet, natürlich in unterschiedlichem Ausmaß und mit unterschiedlichen Altersmaxima. Zum Beispiel lag in Duisburg in den 2000er Jahren das Altersmaximum im Dunkelfeld im 14. bis 15. Lebensjahr (Abbildung 1)[10] und damit deutlich früher als im polizeilichen Hellfeld mit 18 bis 21 Jahren bei Jungen und 14 bis 16 Jahren bei Mädchen (Bundeskriminalamt 2018 b, 100). Nach den von Quetelet (1869 [1835], 302 ff.) untersuchten französischen Justizdaten lagen die Altersmaxima damals in der dritten Lebensdekade, bei Frauen sogar etwas später als bei Männern.

Abbildung 1 Jahresprävalenz selbstberichteter Gewaltdelikte (Köperverletzung mit und ohne Waffen, Raub). Duisburg 2002 (n = 3.411) bis 2017 (n = 2.778)
Abbildung 1

Jahresprävalenz selbstberichteter Gewaltdelikte (Köperverletzung mit und ohne Waffen, Raub). Duisburg 2002 (n = 3.411) bis 2017 (n = 2.778)

Die Bedeutung von Ubiquität und Spontanbewährung eröffnet sich am ehesten, wenn man beide Phänomene gemeinsam betrachtet. Die weite, aber vorübergehende Verbreitung der Jugenddelinquenz bedeutet zum einen, dass das Begehen leichter und allenfalls noch mittelschwerer Delikte regulärer Teil des Prozesses der Normsozialisation ist. Normen werden nicht theoretisch, sondern, insbesondere während der pubertären Entwicklungsphase, in sozialen Interaktionen erlernt: durch tatsächliche Grenzüberschreitungen und das Herausfordern der sozialen Reaktion, mithin durch ein experimentelles Ausprobieren, ob und inwieweit die von Erwachsenen artikulierten sozialen Regeln tatsächlich gelten oder nicht gelten. Dem Entwicklungsstand junger Delinquenten angemessene soziale Reaktionen führen schließlich in aller Regel zur Internalisierung der für den Erhalt und die Entwicklung menschlicher Gemeinschaften unverzichtbaren Werte und Normen.[11] In diesem Sinne ist die Jugenddelinquenz in ihrer ubiquitären wie vorübergehenden Erscheinung für das soziale Gemeinwesen sowohl normal als auch funktional: Die Normverletzung eröffnet die private wie öffentliche Auseinandersetzung sowie den sozialen Lernprozess über die Notwendigkeit, Änderungsbedürftigkeit und schließliche Geltung von Normen.[12]

Zum anderen bedeutet ubiquitäre Delinquenz, dass man insoweit in der frühen Jugendphase hinsichtlich sozialer oder persönlicher Merkmale kaum Unterschiede feststellen kann. Dies ist eine zentrale empirische Voraussetzung des kriminologischen Etikettierungsansatzes. Denn nur wenn delinquentes Verhalten zunächst normal im Sinne von weit verbreitet ist (primäre Devianz), wird dessen Annahme nachvollziehbar, dass erst die selektive Etikettierung von sozial benachteiligten Delinquenten durch formelle Kontrollinstanzen eine wiederholte und dauerhaftere Delinquenz (sekundäre Devianz) in vor allem unteren sozialen Schichten nach sich ziehen soll (siehe Lemert 1951; Becker 1963).

Der weitgehende Delinquenzrückgang während des Jugendalters ist, weder im Ausmaß noch in der Geschwindigkeit, mit spezifisch-kriminalpräventiven oder gar repressiven Maßnahmen zu erreichen. Mit der Kennzeichnung »spontan« – d. h. aus sich selbst heraus – soll darauf hingewiesen werden, dass dieser Delinquenzrückgang weitgehend ohne formelle Kontrollinterventionen, also ohne Eingriffe der Polizei oder Justiz, jedoch nicht ohne jegliche Kontrolle erfolgt. Er ist vielmehr Ausdruck einer im Kindes- und Jugendalter erfolgreich verlaufenden Normsozialisation und zeigt, dass die diesbezüglichen Lern- und informellen Kontrollprozesse in den primären Sozialisationsinstanzen Familie, Schule und Freundeskreis erfolgreich sind.

Die früh einsetzende Spontanbewährung unterstreicht die Notwendigkeit der seit den achtziger Jahren nach und nach in ganz Deutschland flächendeckend eingeführten Diversion im Jugendstrafverfahren mit inzwischen bundesweit 76 % (2015) nach §§ 45, 47 JGG eingestellten Verfahren (Heinz 2017, 84 ff., Schaubild 57). Die Diversion vermeidet, solche normsozialisatorischen Prozesse strafrechtlich zu konterkarieren.

3.2 Intensivtäterschaft

Im Zentrum der kriminologischen Verlaufsforschung steht die Intensivtäterschaft. Die Gruppe jugendlicher Intensivtäter ist mit einem Anteil von 5 bis 7 % ihrer Altersgruppe zwar klein. Seit der ersten Philadelphia-Kohortenuntersuchung sind damit allerdings jene Jugendlichen und Heranwachsenden gemeint, die fünf und mehr (schwere) Delikte (pro Jahr im Dunkelfeld oder während dieser Altersphase im Hellfeld) begehen bzw. mit rund der Hälfte aller Straftaten sowie den meisten Gewaltdelikten auffallen. Sie werden als Mehrfach- oder Intensivtäter, im Englischen als »Chronics«, »High-Risk Offenders« oder »Persistent Offenders« bezeichnet (siehe nur Wolfgang et al. 1972, 88 ff.; Moffitt et al. 2001, 212 ff.; Piquero et al. 2003, 462; Kerner 2004, 46; Savage 2009). Hinsichtlich der Intensivtäter wurde vor allem in den achtziger und neunziger Jahren angenommen, dass von diesen der größte Teil bis in das hohe Erwachsenenalter hinein delinquent bleibe, insbesondere jene, die schon im Kindesalter auffällig geworden seien (sogenannte frühe Starter, siehe Farrington et al. 1990; Moffitt 1993, 698; Tibbetts 2009, 183 ff.). Der durch die Spontanbewährung geprägte glockenförmige Verlauf der Alter-Kriminalität-Kurve sollte bei dieser Tätergruppe also nicht vorliegen.[13] Bezeichnen Ubiquität und Spontanbewährung mithin die Normalität der Kinder- und Jugenddelinquenz, so kennzeichnet der Begriff Intensivtäterschaft den problematischen Bereich delinquenter Phänomene. Jugendliche mit wiederholten Tatbegehungen, zumal schwerer Delikte, bilden mit Blick auf den Lebensverlauf seit Langem die kriminologisch relevante Problemgruppe.

Auch im medialen und politischen Kriminalitätsdiskurs spielt diese Gruppe eine prominente Rolle. Vor dem Hintergrund einer nicht seltenen Skandalisierung richtet sich das Interesse häufig auf eine Intensivierung der Strafverfolgung (siehe Walter 2003). Dabei mag die verführerische Vorstellung mitschwingen, dass man allein mit der stärkeren Inhaftierung dieser ja nur kleinen Gruppe auch die überwiegende Zahl der Gewaltdelikte von der Straße bekommt. Das ist freilich ein Fehlschluss. Denn dafür müsste man den weiteren persistenten Verlauf von Intensivtätern einigermaßen verlässlich vorhersagen können. Dies ist jedoch wegen der bekanntlich großen Anzahl falscher Positiver bei einer kleinen Basisrate der vorherzusagenden Gruppe schon aus verteilungslogischen Gründen kaum möglich, jedenfalls nicht mit der für einen rechtlichen Eingriff erforderlichen Gewissheit (siehe Loeber & Dishon 1983; Gottfredson & Gottfredson 1986, 216 ff.; Kühl & Schumann 1989; Dahle 2005, 21 ff.; Schöch 2007, 365 ff.; Müller & Nedopil 2017, 347 ff.; siehe schon Reiss 1951; Meehl & Rosen 1955).

Für die Beschreibung dieser Täter ist zum einen zu beachten, dass die Zuordnung zu dieser Gruppe anhand der Häufigkeit der begangenen Delikte, in der Regel also anhand von Täterinzidenzraten,[14] erfolgt. Zum anderen erscheint es sinnvoll, zwischen Definition und Klassifikation zu unterscheiden. Die häufiger als »Definitionsproblem« angemerkte Uneinheitlichkeit bei der Beschreibung dieser Tätergruppe lässt diese Unterscheidung in der Regel außer Acht (siehe Koch-Arzberger et al. 2008, 21; Steffen 2009, 87 f.; Bliesener 2011, 55 ff.; Sonka & Riesner 2012, 120; Holthusen 2014, 335; Naplava 2018, 338 f.).[15] Die Probleme sind jedoch weniger in der Definition als in der Klassifikation begründet.

Denn eine Definition des Intensiv- bzw. Mehrfachtäters kann normativ erfolgen – nach zeitlichen, quantitativen und qualitativen Kriterien. Vor dem Hintergrund bisheriger empirischer Beobachtungen kann man demnach jene Tätergruppe als Intensivtäter bezeichnen, deren Mitglieder in einem genau und eng bestimmten Zeitraum (von z. B. zwölf Monaten)[16] zumindest die Hälfte aller Delikte und zumindest drei Viertel der Gewaltdelikte ihrer demografischen Population (z. B. aller 15-Jährigen einer bestimmten geografischen Region) begangen haben. Nach diesen Kriterien wären Intensivtäter vor allem durch die wiederholte Begehung von Gewaltdelikten charakterisiert. Gleichwohl begehen adoleszente Intensivtäter nicht überwiegend Gewaltdelikte: Sie begehen das Gros der Gewaltdelikte, sind aber nicht vornehmlich Gewalttäter. Ihr Deliktsmuster ist eher versatil, sie begehen überwiegend (einfache) Eigentumsdelikte.[17]

Bei in einem begrenzten Zeitraum wiederholten (etwa drei- und mehrmaligen) Begehungen anderer Delikte (oder eines unterhalb von drei Viertel verweilenden Anteils an Gewaltdelikten) kann man von Mehrfachtätern sprechen; hier fehlt das qualitative Kriterium der Begehung der allermeisten Gewaltdelikte. Intensivtäter sind demnach eine Teilmenge der Mehrfachtäter. Die Unterscheidung zwischen Mehrfach- und Intensivtätern erlaubt es, zwischen unproblematischeren Wiederholungstätern von z. B. Bagatelldelikten und problematischeren Wiederholungstätern von Gewaltdelikten zu differenzieren. Aufgrund einer wissenschaftlichen Einigung über die quantitativen, qualitativen und zeitlichen Kriterien wäre mithin eine weitgehend konsentierte Definition des Intensiv- und Mehrfachtäters möglich.

Eine einheitliche Klassifikation ist allerdings nicht möglich. Mit der Klassifikation soll bestimmt werden, ab welcher Anzahl und Art von in einem bestimmten Zeitraum begangenen Delikten davon ausgegangen werden kann, dass die in der Definition genannten Kriterien erfüllt sind. Eine Täterklassifikation kann deshalb nicht einheitlich erfolgen, weil sich je nach Art der Daten (Hell- oder Dunkelfeld), der Deliktsart, dem (mit Ersteren im Zusammenhang stehenden) Zeitraum[18] der Deliktsbegehung oder der zu untersuchenden Tätergruppe (z. B. Jungen oder Mädchen) unterschiedliche Basishäufigkeiten ergeben.

Die Klassifizierung von Tätergruppen, insbesondere mit Blick auf persistente Täter schwerer und gewaltsamer Delikte, hat sich in den letzten zwanzig Jahren von einer deterministischen Kategorisierung anhand einer zuvor bestimmten Mindestzahl begangener Delikte (z. B.: fünf und mehr Gewaltdelikte; siehe nur Wolfgang et al. 1972, 88) zu einer statistischen Modellierung unterschiedlicher Entwicklungspfade (sogenannte Trajektorien) anhand probabilistischer Klassifikationsverfahren weiterentwickelt.[19] Mit solchen nur mit Paneldaten durchführbaren Analysen kann über den Altersverlauf hinweg die (unbeobachtete) Heterogenität von Delinquenzverläufen beschrieben werden – von geringer über unterschiedlich passagere bis hin zur persistenten Intensivdelinquenz (Piquero 2008; van Dulmen et al. 2009). Konzeptionell beruhen solche Analysen ganz wesentlich auf der allgemeinen Lebensverlaufsforschung (Elder & Shanahan 2006; siehe Fend 2003; Sackmann 2007; Diewald 2013) und bilden die deskriptive Grundlage einer Developmental oder Life-Course Criminology.

Mit der Klassifikationsfrage ist aber noch nicht beantwortet, wann mit einiger Plausibilität von einer Persistenz, also einer über längere Zeit bestehenden Intensiv- oder Mehrfachtäterschaft gesprochen werden kann. Damit ist das Phänomen »krimineller Karrieren« angesprochen. Es wird jedoch vorgeschlagen, auf diesen Begriff zu Gunsten des im Englischen üblich gewordenen Begriffs der Persistenz zu verzichten. Zwar wurde der Karrierebegriff in einem kriminologischen Zusammenhang erstmals von Howard Becker (1963, 25 ff., wörtlich: »deviant career«) verwendet, allerdings in einem kritischen Sinne zur Beschreibung einer justiziellen Etikettierungskarriere. Heutzutage ist der Begriff indessen meist anders konnotiert, nämlich mit einer im kriminalpolitischen Diskurs intendierten stigmatisierenden und dramatisierenden Bedeutung. Vor allem aber suggeriert »Karriere«, es handele sich (wie etwa im Berufsleben) um eine geplante Laufbahn, was bei einer persistenten Delinquenzentwicklung jedoch eher selten der Fall zu sein scheint. Als analytischer Begriff ist er mithin nicht gut geeignet.

Die Frage der Persistenz ist zurzeit mit Blick auf konkrete Definitionskriterien – im Unterschied zur Frage der Intensität – noch nicht zu beantworten (siehe Piquero 2009, 273 ff.). Ein persistenter Delinquenzverlauf kann nur angenommen werden, wenn ein Mehrfach- oder Intensivtäter über mehrere kurze (z. B. jährliche) Zeiteinheiten hinweg ohne große Unterbrechungen aktiv ist. Das Problem liegt hier vor allem darin, dass viele Mehrfach- oder Intensivtäter nicht kontinuierlich delinquieren, sondern ihre Aktivität für kürzere oder längere Zeitspannen deutlich verringern oder gar unterbrechen (Intermittency, Piquero 2004; »zigzag criminal careers«: Laub & Sampson 2003, 196; Seddig & Reinecke 2017, 169 f.). Ohne hinreichend spezifische Analysen zur Dauer und Unterbrechung persistenter Verläufe, die bislang nicht vorliegen, ist es jedoch schwierig, eine minimale Zeitspanne für die Annahme eines persistenten Verlaufs zu bestimmen. Diese sollte aber, um die Bezeichnung »dauerhaft« rechtfertigen zu können, zumindest drei bis vier Jahre betragen. Dabei würde eine etwaige Begrenzung persistenter Verläufe auf bestimmte Lebensphasen (insbesondere allein auf das Jugendalter) der empirischen Erfahrung widersprechen, da persistente Verläufe typischerweise die Grenzen solcher Lebensphasen übergreifen, z. B. im späten Kindesalter beginnen und bis Anfang oder gar Mitte Zwanzig dauern können. Somit besteht für persistente Verläufe potentiell ein größerer, von den Lebensphasen unabhängiger zeitlicher Ereignisraum.

Die Unterbrechungen müssen eine ebenfalls konkret zu bestimmende maximale Dauer aufweisen und wären mitunter auch bei einer phasenweise deutlich geringeren Deliktschwere (z. B. unter dem Intensivtäterniveau) als solche in Betracht zu ziehen.[20] Somit kommt es darauf an, dass bei Verwendung des Persistenzbegriffs die zugrunde gelegte minimale Delinquenz- sowie maximale Unterbrechungsdauer offengelegt werden. Letztendlich muss die Diskussion der empirischen Befunde ergeben, inwieweit die gewählten Kriterien plausibel sind. Im Unterschied zum in der Regel auf Intensivtäter konzentrierten Karrierebegriff kann der Persistenzbegriff auch zur analytischen Beschreibung eines Delinquenzverlaufs mit Delikten geringerer Schwere verwendet werden, z. B. persistente Bagatell- oder Eigentumstäter.

4 Perspektiven der kriminolo-gischen Verlaufsforschung

In der kriminologischen Verlaufsforschung können eine multifaktorielle und zwei kriminalsoziologische Perspektiven unterschieden werden. Bei Letzteren handelt es sich um eine auf soziale Delinquenzursachen konzentrierte soziologisch-ätiologische sowie um eine soziologisch-konstruktivistische Forschungsrichtung, die die Folgen formeller Kontrollinterventionen durch die Polizei und Justiz berücksichtigt. Diese Perspektiven haben sich im Laufe der Jahre je nach professioneller sowie erkenntnistheoretischer und kriminalpolitischer Orientierung sowohl der jeweiligen Forscherinnen und Forscher als auch der jeweiligen Zeitperiode, in der die Untersuchungen durchgeführt wurden, herausgebildet.

In der anglo-amerikanischen Kriminologie werden mit »Life-Course Criminology« eher kriminalsoziologische und mit »Developmental Criminology« eher multifaktorielle Studien bezeichnet. Hier wird »Kriminologische Verlaufsforschung« als übergeordneter Begriff beider Forschungsrichtungen verwendet und darunter die drei benannten Perspektiven unterschieden. Im Folgenden wird bei den jeweiligen Forschungsperspektiven zunächst auf die Verlaufsannahmen und anschließend auf die Entstehungsbedingungen der Delinquenz eingegangen.

4.1 Multifaktorielle Verlaufsforschung

Die multifaktorielle Verlaufsforschung folgt einem ätiologischen Erklärungsmodell, bei dem auf unterschiedlichen Altersstufen des Delinquenzverlaufs jeweils unterschiedliche biologische, persönliche und (mikro-)soziale Risiko- oder inzwischen auch Schutzfaktoren als Erklärungskomplexe angesiedelt werden (bespielhaft: Farrington 2005). Diese Forschungsrichtung markiert den Beginn und die fortwährende Tradition der kriminologischen Verlaufsforschung mit den nach wie vor meisten Untersuchungen. Vor allem in der ersten, bis in die 1990er Jahre reichenden Forschungsphase ging es vornehmlich um die Identifikation eines »chronischen« Delinquenzverlaufs, dessen Erklärung zunehmend in das Konstrukt eines dissozialen Verhaltens- und Persönlichkeitssyndroms eingebettet wurde. Die neueren Analysen begründeten die stärker an der delinquenten Persönlichkeit orientierte Developmental Criminology, deren Bedeutung insbesondere auf ihrer methodischen Qualität beruht: Die Erhebungen werden nicht nur prospektiv in zumeist regelmäßigen und kurzen Abständen durchgeführt, sondern umfassen sowohl Hell- als auch Dunkelfelddaten.[21] Sie konnten damit den hohen methodischen Standard moderner kriminologischer Längsschnitterhebungen mitbegründen. Zudem werden inzwischen über den multifaktoriellen Ansatz hinaus auch theoretische Überlegungen einbezogen.

Beispielhaft für die neueren, methodisch elaborierten Studien dieser Forschungsrichtung war und ist die Anfang der 1960er Jahre mit 411 acht- und neunjährigen Jungen aus einem Londoner Arbeiterviertel von West begonnene und bislang bis zum Alter von 56 Jahren fortgeführte Cambridge Study in Delinquent Development (West & Farrington 1977; Farrington 2003; Piquero et al. 2007; Farrington et al. 2013). Unter den neueren Untersuchungen stellt die seit 1972 laufende und zum 26. Lebensjahr mit noch 980 Frauen und Männern (Ausgangskohorte: n = 1.037) durchgeführte neuseeländische Dunedin Multidisciplinary Study die erste prospektive, auch das Dunkelfeld durchgehend erfassende Untersuchung einer Geburtskohorte dar (Moffitt et al. 2001). Weitere besonders bedeutende und methodisch elaborierte Untersuchungen dieser Forschungsrichtung sind die 1987 mit je 500 sieben-, zehn- und dreizehnjährigen Jungen begonnene Pittsburgh Youth Study (Loeber et al. 2008a); die Montreal Experimental Study of Boys mit 1.034 Jungen, die erstmals 1984 als Sechsjährige und sodann jährlich vom Alter 10 bis 17 befragt wurden (Tremblay et al. 2004; Nagin et al. 2009), sowie wohl auch das 2004 mit 1.361 Siebenjährigen begonnene Züricher Projekt zur sozialen Entwicklung von Kindern (z-proso, Ribeaud & Eisner 2010) und die im Jahre 1999 mit 675 Vier- und Fünfjährigen begonnene und bislang bis zum 15. Lebensjahr fortgesetzte Erlangen Nürnberg Development and Prevention Study (ENDPS, Lösel 2012; Lösel & Stemmler 2012; Stemmler & Lösel 2015).

Für die multifaktoriellen Verlaufsstudien stehen drei Ziele im Mittelpunkt: (1) die möglichst frühe Klassifikation und Vorhersage von persistenten Täterentwicklungen anhand von (2) Risiko- und inzwischen auch Schutzfaktoren, um aufgrund dessen (3) substantiierte Hinweise für eine möglichst frühzeitige Vorhersage und präventive Intervention geben zu können. Neben Risikofaktoren im familiären, sozialen und Bildungsbereich werden zahlreiche Persönlichkeitseigenschaften (von denen häufig angenommen wird, dass sie auch biologisch bedingt seien) als besonders riskant angesehen.

4.1.1 Verlaufsannahmen der multifaktoriellen Studien und Befunde neuerer Verlaufsuntersuchungen

Multifaktorielle Studien gingen ursprünglich davon aus, dass sich die kleine Gruppe der früh und chronisch auffälligen Intensivtäter durch eine zumindest bis in die fünfte Lebensdekade reichende oder sogar lebenslange Persistenz auszeichnet. Damit wurde eine Ausnahme von der allgemeinen Geltung des glockenförmigen Verlaufs der Alter-Kriminalität-Entwicklung formuliert. Dieser glockenförmige Verlauf beruht auf Prävalenzraten. Er kann, bei freilich späterem Einsetzen der rückläufigen Entwicklung, auch für Intensivtäter beobachtet werden, was immerhin bedeutet, dass sich auch hier die Anzahl der Täter deutlich verringert.[22] Würde man indessen die Täterinzidenzraten, also die durchschnittliche individuelle Tatintensität,[23] zugrunde legen, dann zeige sich, so die Annahme, dass diese Rate bei den persistenten Intensivtätern bis weit hinein in das Erwachsenenalter auf hohem Niveau konstant bliebe (Kontinuitäts- oder Persistenzannahme, Blumstein & Cohen 1979, 573 ff.; Blumstein et al. 1986, 67 ff.).

Dieser für persistente Intensivtäter erfolgte Wechsel in der Betrachtungsweise des Altersverlaufs löste die in den 1980er Jahren heftig geführte Age-Crime-Debate zwischen Blumstein, Cohen und Farrington (1988a; 1988b) auf der einen Seite sowie vor allem Gottfredson und Hirschi auf der anderen Seite aus. Letztere sind den Kontinuitätsannahmen mit dem Argument entgegengetreten, dass der glockenförmige Verlauf der Age-Crime-Curve allgemein (»invariance of the age effect«) als Resultat des »inexorable aging of the organism« gelte (Gottfredson & Hirschi 1990, 141, 124 ff.; 1986; 1988; Hirschi 1989).[24]

Der bis heute prominenteste Entwurf einer auf Persistenz beruhenden Verlaufsannahme stammt von Moffitt (1993), die aus Anlass der Auswertung des Dunedin-Panels den Delinquenzverlauf auf die beiden Entwicklungspfade des Life-Course-Persistent (LCP) und des Adolescence-Limited (AL) Antisocial Behavior begrenzt hat.

Beim Adolescence-Limited Pfad, dem die meisten delinquenten Jugendlichen angehören sollen, beginne das dissoziale Verhalten frühestens in der Jugendzeit (mit der Pubertät), um damit die für moderne Gesellschaften typische, von psychischen und sozialen Spannungen begleitete Lücke zwischen schon vorhandener biologischer und noch nicht zuerkannter sozialer Reifung (»maturation gap«) zu kompensieren. Mit dem gegen Ende der Jugendzeit einsetzenden Hineinreifen in die sozialen Rollen des Erwachsenenalters verringere sich diese Reifungslücke und werde das delinquente Verhalten aufgegeben. Psychische Auffälligkeiten spielten hier keine Rolle (Moffitt 1993, 685 ff.; 690 ff.).

Hingegen soll bei der zahlenmäßig kleinen Gruppe der Life-Course-Persisters (ca. fünf Prozent einer Alterskohorte) die psychopathologische Qualität besitzende dissoziale Entwicklung bereits im frühen Kindesalter beginnen (early onset) und über den Lebensverlauf in unterschiedlichen Erscheinungsformen fortdauern. »Lebenslange Persistenz« wird als ein Syndrom dissozialen Verhaltens begriffen, das auf unterschiedlichen Altersstufen in unterschiedlichen Symptomen devianten und delinquenten Verhaltens wie psychischer Störungen zutage trete (Moffitt 1993, 679 ff., 685). Die gewählte Bezeichnung dieser Gruppe, die diesbezüglichen Erläuterungen[25] sowie die hervorgehobene Nennung von Straftaten als Formen dissozialen Verhaltens belegen durchaus, dass angenommen wurde, diese Gruppe falle über den gesamten Lebensverlauf hinweg jedenfalls auch mit schwerer Delinquenz auf (so insbesondere auch Sampson & Laub 2003, 561, Fn. 2; Laub & Sampson 2003, 307). Das Verhalten der LCP-Gruppe soll auf ererbten oder erworbenen neuro-kognitiven Persönlichkeitsdefiziten (geringe verbale Intelligenz, schwieriges Temperament, Hyperaktivität, geringe Selbstkontrolle) beruhen, die sich unter ungünstigen Umweltbedingungen (inadäquate Erziehung, gestörte familiäre Bindungen, Armut) negativ entfalten. Insbesondere das im früheren Kindesalter beginnende dissoziale Verhalten sei ein bedeutender Prädiktor einer lebenslangen dissozialen und gewaltdelinquenten Persistenz (Moffitt 1993, 678 ff., 695; 2006, 293 ff., 301; Moffitt et al. 2001, 207 ff.).

Sowohl die Annahme lediglich nur zweier delinquenter Verlaufspfade, davon insbesondere eines LCP-Verlaufs, als auch die Annahme, dass der frühe Beginn auffälligen Verhaltens in der Regel zu einem sehr lang anhaltenden persistenten Delinquenzverlauf führe, wurden in den neueren statistischen Verlaufsanalysen nicht bestätigt (siehe auch Nagin & Tremblay 2005, 99 f.; Thornberry 2005, 165; Sampson & Laub 2003, 569, 579 ff.). Solche Analysen beruhen auf kombinierten Wachstums- und Mischverteilungsmodellen (Nagin 2005; Reinecke 2012, 28 ff.) und können die unbeobachtete Heterogenität unterschiedlicher Klassen von Entwicklungspfaden (Trajektorien) sichtbar machen. Zur Überprüfung der genannten kriminologischen Annahmen sind Paneldaten, also die wiederholten Befragungen derselben Personen, erforderlich. Trajektorienanalysen wurden mittlerweile sowohl mit Hellfeld- als auch mit Dunkelfelddaten durchgeführt.

4.1.1.1 Trajektorienanalysen mit Hellfelddaten

In Trajektorienanalysen mit Hellfelddaten werden polizeiliche Registrierungen oder Verurteilungen in aller Regel nicht als institutionelles Entscheidungsverhalten (das diese primär widerspiegeln), sondern als Operationalisierung individuellen delinquenten Verhaltens verwendet. Die deutlich höhere Anzahl selbstberichteter Delikte sowie das nach Deliktart unterschiedliche Verhältnis zwischen Hellfeld- und Selbstberichtdaten[26] weisen jedoch darauf hin, dass Hellfelddaten weit weniger die Verbreitung und Struktur individuellen Delinquenzverhaltens widerspiegeln können als die auf Selbstberichten beruhenden Täterbefragungen. Da Hellfelddaten aufgrund von institutionellen Selektions- bzw. Verstärkereffekten (Abschnitt 4.2.2) eher stärker auffällige Täter enthalten, sollten in hierauf beruhenden Verlaufsanalysen auffälligere Tätergruppen (vor allem persistente Intensivtäter) einen größeren Umfang annehmen.

In den ersten Trajektorienanalysen, die mit den Verurteilungsdaten der Cambridge Study von Nagin und Land (1993, 346 ff.) sowie auch gemeinsam mit Farrington und Moffitt (Nagin et al. 1995, 113) durchgeführt wurden (10. bis 31. Lebensjahr, ausschließlich männliche Probanden), ergaben sich (neben Low-Rate Chronics) zwar eine Adolescence-Limited sowie eine High-Rate Chronics-Gruppe. Aber Letztere wies – obgleich für eine länger andauernde Persistenz prädestiniert – schon ab dem Maximum im 22. Lebensjahr einen deutlichen Rückgang der Täterinzidenzraten (µ) auf: um mehr als zwei Drittel bis zum 31. Lebensjahr. Auch spätere mit diesen Daten durchgeführte und bis zum 40., 48. und 56. Lebensjahr reichende Analysen führten zu sehr ähnlichen Befunden mit einem deutlicher abflachenden Verlauf bei den sogenannten High-Rate Chronics (zwischen 2,2 % und 5,7 % aller Probanden), der ab Mitte Vierzig mit weniger als durchschnittlich 0,125 Verurteilungen pro Lebensjahr das Niveau der Low-Rate-Trajektorien erreichte. Bemerkenswert – und insoweit eine deutliche Ausnahme unter Trajektorienanalysen – ist, dass die Gruppe der »High Adolescent Peak« mit durchschnittlich 1,25 Verurteilungen eine bis zu dreimal höhere Verurteilungsinzidenz (µ) als die sogenannten »High Rate Chronics« (je nach berücksichtigter Alterspanne µ = 0,4 bis 1,0) aufwies (Piquero et al. 2007, 142 ff.; Farrington et al. 2013, 42 ff.).[27] Letztere wären wohl zutreffender als »Moderate Chronic« zu bezeichnen.

Insgesamt konnte schon in diesen Trajektorienanalysen bei den Hochbelasteten keine länger andauernde, sondern lediglich auf das Jugend- und Heranwachsendenalter begrenzte Persistenz der Veurteilungsinzidenz beobachtet werden. Dabei ist unter den Hellfelddaten verwendenden Analysen ein Vorteil der Cambridge-Studie, dass hier eine (für ein Londoner Arbeiterviertel) repräsentative, also auch nicht Verurteilte umfassende Stichprobe verwendet wurde. Die folgenden Hellfeldanalysen beruhen indessen allein auf Stichproben von Inhaftierten, polizeilichen Festnahmen oder Verurteilten aus entsprechenden Datenregistern. Bei auf solche Art negativ selektierten Stichproben ist umso mehr ein höherer Anteil persistenter Intensivtäter zu erwarten.

Kontinuität der Täterinzidenzrate im Jugendalter sowie Abbruch mit dem beginnenden Erwachsenenalter war die Verlaufsannahme, die Laub und Sampson ihren 2003 einflussreich veröffentlichten Trajektorienanalysen zugrunde legten. Sie griffen dafür auf die in ihrer Fortuntersuchung gewonnenen individuellen Arresthäufigkeiten der ausschließlich männlichen, ehemals inhaftierten Bostoner Gluecks-Probanden zurück. Es handelt sich um die erste Studie, die, wenn auch lediglich mit Hellfelddaten anhand polizeilicher Festnahmen (arrest), eine Beobachtung der nahezu gesamten registrierungsrelevanten Lebensphase erlaubte, nämlich vom 7. bis zum 70. Lebensjahr (Laub & Sampson 2003; Sampson & Laub 2003; 2005b). Obwohl nach Deliktsgruppen, kindlichen und familiären Risikogruppen, selbstberichteter Delinquenzbelastung im Kindes- und Jugendalter sowie nach Inhaftierungszeiten differenziert wurde und man schließlich bis zu sechs Trajektorien registrierter Delinquenz herausfand (»Classic« und »Moderate Desister«, »High-«, »Low-« und »Moderate-Rate Chronic«, »Late-Onset Offender«), zeigte sich immer dasselbe Verlaufsmuster zwischen Kriminalität und Alter: In allen Gruppen setzte mit einer gewissen zeitlichen Varianz ab Mitte Dreißig ein rapider Kriminalitätsrückgang ein, sodass auch die Arresthäufigkeitskurven der High-Rate Chronics[28] einen glockenförmigen Alters-Kriminalitäts-Verlauf aufwiesen. Unter Kontrolle der Haftzeiten konnten die Verläufe nur bis zum 32. Lebensjahr analysiert werden. Hier erfolgte der Rückgang der 8,5 % umfassenden High-Rate Chronics unter Berücksichtigung aller Deliktsarten bereits ab dem 23. Lebensjahr (Laub & Sampson 2003, 103 ff.).

In einer weiteren bis zur achten Lebensdekade reichenden Analyse mit einer bis 2003 erhobenen repräsentativen Stichprobe von 4.615 in den Niederlanden wegen schwerer Straftaten Verurteilten (89 % männlich) der Criminal Career and Life-Course Study (CCLS) ergab sich indessen eine 1,6 % umfassende High-Rate Persister-Trajektorie, die vom 30. bis zum 72. Lebensjahr (Haftzeit korrigiert) mit durchschnittlich 2 bis 2,5 Verurteilungen pro Lebensjahr ein gleichbleibend höchstes Niveau aller Trajektorien aufwies. Ein solcher Verlauf würde exakt der Annahme einer über den Lebenslauf persistenten Tätergruppe entsprechen. Allerdings handelte es sich hier um überproportional drogenabhängige und sozial randständige Täter, deren Deliktsspektrum zu 90 % leichtere und vermutlich der Drogenbeschaffung dienende Eigentumsdelikte umfasste, und die alle – im Durchschnitt fünf Jahre – im Gefängnis gesessen hatten (Blokland et al. 2005, 933 ff.). Vor allem wegen der fehlenden Gewaltdelikte, so die Autoren der Analyse, entspreche dieses Täterbild wohl nicht dem mit »Life-Course Persistence« angenommenen Tätertyp (Blokland et al. 2005, 944 ff.).

Auch eine (in 2013) bis ins 56. Lebensjahr reichende Kontrastgruppenstudie mit 908 im Kindesalter physisch oder sexuell misshandelten, sozial benachteiligten und von den Eltern vernachlässigten Probanden aus einer Metropole im mittleren Westen der USA[29] wies glockenförmige Verläufe der polizeilichen Festnahmen auf. Allein bei den männlichen Probanden dieser stark vorbelasteten Population (n = 442; 49 % der Stichprobe) ergab sich eine High-Rate Chronic-Gruppe im Umfang von 1,8 % der Probanden. Deren stark an- und absteigende Trajektorie verzeichnete das Maximum im 31. Lebensjahr mit durchschnittlich 3,7 Festnahmen und erreichte mit 51 Jahren wieder das Niveau der Low-Rate-Gruppe (Widom et al. 2018, 835 f., 842 ff.).

Dass unter den persistenten Intensivtätern in der Mitte und gegen Ende des Lebens eine sehr kleine Gruppe (unter 1 % einer Alterskohorte) offiziell wiederholt auffälliger, zumal sozial randständiger Verurteilter oder gar Inhaftierter, übrigbleiben kann, wurde bislang in der kriminologischen Verlaufsforschung nicht bestritten und bestätigt nicht die Annahme einer anlagebedingt früh beginnenden lebenslangen Intensivtäterschaft, die 5 bis 7 % der Mitglieder einer Alterskohorte umfasst. Denn zum einen hat sich nach diesen Befunden die Gruppe der im Jugendalter Persistenten im Lebensverlauf um ein Mehrfaches verkleinert. Zum anderen wird man insbesondere bei Verurteilten berücksichtigen müssen, dass sich ätiologische Bedingungen (persönliche und soziale Defizite) sowie die strukturellen wie psychischen Effekte formeller, zumal (wie in der niederländischen Studie) kustodialer Kontrollinterventionen gegenseitig negativ verstärken (Abschnitt 4.2.2). Der Lebens- und Delinquenzverlauf solcher Probanden könnte spätestens ab dem mittleren Lebensalter stärker von sozialen Defiziten und negativen Kontrolleffekten (»Justizkarriere«) als von anlagebedingten Persönlichkeitsdefiziten geprägt werden.

Wegen der Hellfelddaten eigenen Verzerrungen spiegeln die darauf beruhenden Verlaufsanalysen eher institutionell bedingte Selektions- und Verstärkermechanismen als delinquente Verhaltensdynamiken wider. Bei verurteilten oder gar ehemals inhaftierten männlichen Probanden war wegen der damit einhergehenden negativen Täterselektion, des höheren Verfolgungsrisikos sowie der stärkeren formellen Stigmatisierung am ehesten eine persistente Entwicklung zu erwarten (Abschnitt 4.2.2). Die Verwendung von Hellfelddaten mag deshalb für damit zusammenhängende Fragestellungen nicht ungeeignet sein.[30] Umso erstaunlicher ist, dass in den neueren Analysen der Cambridge oder Bostoner Daten lang anhaltende persistente Verläufe nicht beobachtet werden konnten.

Mit Blick auf die Verlaufsmuster weisen kriminologische Verlaufsanalysen, die mit Hellfelddaten durchgeführt werden, recht homogene Ergebnisse auf, nämlich bei allen Trajektorien einen mehr oder weniger glockenförmigen Verlauf. Woran dies genau liegt, ist bislang nicht näher untersucht worden, könnte aber in den inhaltlichen Besonderheiten von Hellfelddaten begründet sein. Denn mit derselben Methode durchgeführte, aber auf Täterbefragungen beruhende Verlaufsanalysen spiegeln eher die heterogene Dynamik delinquenter Entwicklungen wider (»crisscross pattern«, Thornberry 2005, 165; Sampson & Laub 2005 b, 14).

4.1.1.2 Trajektorienanalysen mit Dunkelfelddaten

Die in Trajektorienanalysen verwendeten Dunkelfelddaten beruhen im frühen und mittleren Kindesalter auf Fremdberichten der Eltern, Erzieher oder Lehrer über physisch aggressives Verhalten, danach in der Regel auf den Täterinzidenzraten der selbstberichteten Delinquenz (Täterbefragung). Die bisherigen Analysen konzentrieren sich im Wesentlichen auf zwei Alterszeiträume: Die meisten Untersuchungen betreffen den vom späten Kindesalter (11. bis 14. Lebensjahr) bis zum Heranwachsenden- oder auch frühen Erwachsenenalter reichenden Zeitraum, der insbesondere in der Jugendphase die höchsten Prävalenz- und Täterinzidenzraten aufweist und im Zentrum theoretischer und kriminalpräventiver Überlegungen steht. Der andere Zeitraum bezieht sich auf das frühe (bis zum 5. Lebensjahr) und mittlere (6. bis 10. Lebensjahr) Kindesalter.

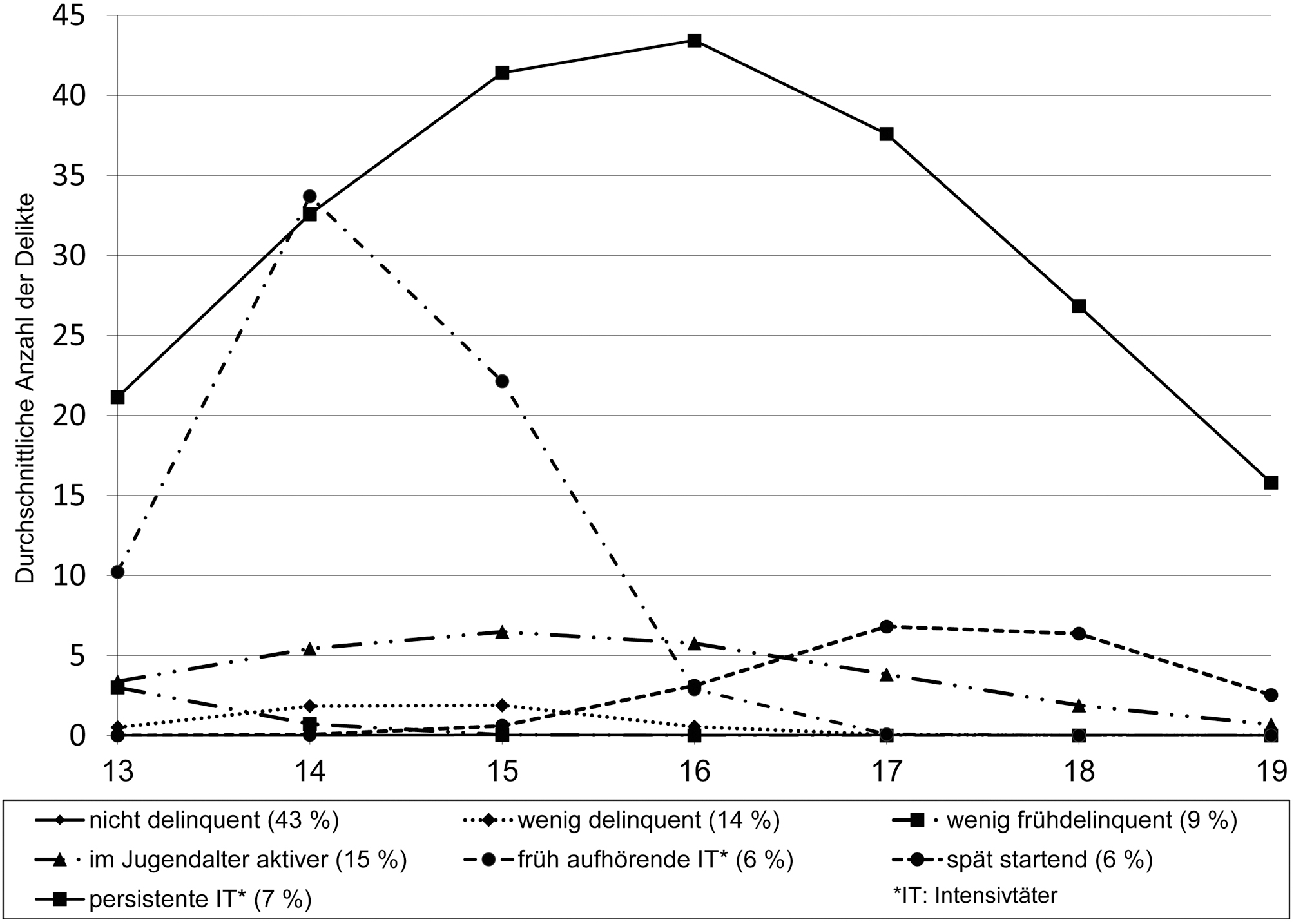
Die bislang wohl elaboriertesten Analysen des von der späten Kindheit bis zum frühen Erwachsenenalter reichenden Zeitraums wurden in den eher multifaktoriellen Untersuchungen aus Pittsburgh (Lacourse et al. 2008, 236 ff.), Dunedin (Odgers et al. 2007, 479) und Montreal (Nagin et al. 2009, 109) sowie in den kriminalsoziologischen Studien aus Rochester (Thornberry 2005, 161 ff.) und Duisburg (Boers et al. 2014, 188 ff.; Seddig & Reinecke 2017, 168 ff.) durchgeführt. Obgleich diese Untersuchungen in Ländern bzw. Städten mit unterschiedlichen Sozialstrukturen und Kontrollstrategien erfolgten sowie zum Teil auch unterschiedliche Methoden verwendeten,[31] ergab sich – insgesamt betrachtet – ein Muster der Verlaufspfade, das trotz der im Einzelnen durchaus unterschiedlichen Gruppenzahl, Gruppengrößen oder zeitlichen Abläufe erhebliche Ähnlichkeiten aufweist: Neben den nicht oder nur wenig mit Delinquenz Auffälligen (30 bis 50 % aller Probanden)[32] ergaben sich im Wesentlichen vier kriminologisch bedeutsamere Tätertrajektorien. Zwei davon ähneln wiederum der Moffittschen Taxonomie: eine kleine Gruppe persistenter Intensivtäter (5 bis 11 %), die durchweg die höchsten, indessen mit beginnendem Heranwachsenden- oder Erwachsenenalter kontinuierlich rückläufige Täterinzidenzen aufweist, sowie eine Gruppe von (vor allem) im Jugendalter aktiveren Delinquenten (20 bis 40 %). Des Weiteren ergaben sich zwei bis dahin eher unerwartete Verlaufspfade: früh aufhörende Intensivtäter (6 % in Duisburg bis 24 % in Dunedin)[33] sowie späte Starter (6 bis 10 %, bislang in Rochester, Pittsburgh und Duisburg; siehe als Beispiel Abbildung 2 mit den Duisburger Verläufen).[34]

Abbildung 2 Verlaufspfade aufgrund selbstberichteter Delinquenz. Duisburg 2002 bis 2008, 13. bis 19. Lebensjahr, n = 1.895. Latent Class Growth Analysis mit negativ binomialer Verteilungsannahme
Abbildung 2

Verlaufspfade aufgrund selbstberichteter Delinquenz. Duisburg 2002 bis 2008, 13. bis 19. Lebensjahr, n = 1.895. Latent Class Growth Analysis mit negativ binomialer Verteilungsannahme

Die Täterinzidenzrate der meist größeren Gruppe der früh aufhörenden Intensivtäter liegt im späten Kindesalter bzw. frühen Jugendalter ähnlich hoch wie bei den Persistenten, geht jedoch danach während des Jugendalters sehr stark, auf das Niveau der Niedrigbelasteten, zurück. Wenn bis zu zwei Drittel der früh und intensiv Auffälligen bald wieder aufhören, besteht für die unter Präventionsgesichtspunkten besonders bedeutsame frühe Prognose von Intensivtäterverläufen ein hohes Risiko für Fehleinschätzungen: Die Vorhersage wäre kaum besser (möglicherweise sogar schlechter) als ein Münzwurf. Dies deutet sich auch in einigen neueren und methodisch elaborierten Analysen an, nach denen der frühe Beginn hinsichtlich des weiteren Delinquenzverlaufs weniger aussagekräftig als erwartet war, vor allem bei (in der Praxis in aller Regel allein zu Verfügung stehenden) Hellfelddaten (Paternoster et al. 1997, 256; Krohn et al. 2001, im Einzelnen: Boers 2009, 593). Zudem scheint das Risiko einer frühen Fehlprognose auch durch die Berücksichtigung weiterer Prädiktoren nach bisherigen Untersuchungen nur unwesentlich gemindert werden zu können: Nach bisherigen Analysen ist bei den früh aufhörenden Intensivtätern das Muster der (Gewalt-)Delikte sowie der persönlichen und sozialen Defizite zum Zeitpunkt ihrer höchsten Belastung von dem der Persistenten kaum zu unterscheiden (Moffitt 2006, 283; Lacourse et al. 2008, 254 ff.; Boers et al. 2019; für Verläufe von Verurteilten: McAra & McVie 2010, 191 ff.).

Bei späten Startern steigt die Täterinzidenzrate erst ab dem Ende des Jugendalters an und kann[35] ein mit den – inzwischen allerdings weniger belasteten – Persistenten gleichziehendes Niveau erreichen. Es handelt sich hier um ein vor allem durch Dunkelfeldanalysen bekannt gewordenes Verlaufsphänomen, dessen Entstehungszusammenhänge noch nicht hinreichend geklärt sind. Späte Starter weisen im späten Jugendalter nach den Persistenten die zweithöchsten Gewaltinzidenzraten sowie erhöhte Raten bei der Sachbeschädigung auf (bisherige Analysen des Duisburger Panels). Nach der »Buffer-Hypothesis« von Krohn und Thornberry werden Persönlichkeitsprobleme, sozialstrukturelle Benachteiligungen oder geringer schulischer Erfolg im Kindes- und Jugendalter durch familiäre oder schulische Bindungen kompensiert (»buffered«). Diese Defizite können sich jedoch in der folgenden, familiär weniger abgepufferten Phase Delinquenz fördernd auswirken, wenn, vor allem in Verbindung mit erhöhtem Alkohol- und Drogenkonsum, der Übergang von der Schule in die Berufsbildung nicht gut gelingt (Thornberry 2005, 171 ff.; Krohn et al. 2013, 189 ff.; zu Risiko- und Schutzfaktoren später Starter: Lacourse et al. 2008, 247 ff.; als Methodenartefakt ablehnend Moffitt 2006, 285 f.; 2018, 181).

Für das Kindesalter bezogen sich bislang nahezu alle kriminologisch besonders bedeutsamen Analysen auf die Entwicklung physisch aggressiven Verhaltens[36] in der mittleren und späten Kindheit (ca. 5. bis 13. Lebensjahr). Diese Analysen beruhen überwiegend auf bekannten Paneldatensätzen (Abschnitt 3.1) aus Kanada, den Vereinigten Staaten, Neuseeland[37] und Deutschland. Inhaltlich geht es zum einen darum, wann aggressives Verhalten für gewöhnlich beginnt und sein Maximum erfährt; zum anderen vor allem um die Bedeutung eines frühen Beginns für die Entwicklung einer späteren persistenten Gewaltdelinquenz (Nagin & Tremblay 1999, 1181 f.; Broidy et al. 2003, 223).

Im mittleren und späten Kindesalter ergaben sich in den nur mit Jungen[38] durchgeführten Analysen in der Regel drei bis vier Trajektorien, deren Maxima zwischen dem 9. und 11. Lebensjahr lagen und die ein ähnliches Verlaufsmuster wie für die Delinquenz im Jugendalter aufwiesen (ungefähre Gruppengröße für Jungen jeweils in Klammern):[39] (1) durchweg kaum bis wenig aggressives Verhalten (ca. 60 %), (2) zunächst häufigeres, aber schon bald rückläufiges (ca. 30 %) sowie (3) häufiges und in der Regel leicht rückläufiges[40] aggressives Verhalten als kleinste Verlaufsgruppe (2 bis 11 %; Nagin & Tremblay 1999, 1184 ff.; Broidy et al. 2003, 227 ff.; Nagin et al. 2009, 109; Stemmler & Lösel 2015, 98 f.; im Überblick: Tremblay 2013). Schließlich wurde dieses Verlaufsmuster aus gering, moderat und häufiger mit physischen Aggressionen Auffälligen auch in einer Analyse mit 17 bis 60 Monate alten Kleinkindern aus Québec beobachtet. Die Verhaltenskurven aller drei Gruppen verliefen hier gleich. Bemerkenswerterweise setzten die Rückgänge – nach einem deutlichen Anstieg – nun aber schon mit dreieinhalb Jahren ein (Côté et al. 2007, 1307 f.).

Diese Befunde werden dahingehend zusammengefasst, dass zum einen physisch aggressives Verhalten angeboren sei, bei den meisten Menschen vorkomme und nicht erst im Jugendalter, sondern bereits im Kindesalter beginne und auch wieder abnehme. Hieraus folge, dass im Unterschied zu den verbreiteten sozial-kognitiv fundierten Lerntheorien[41] nicht das aggressive Verhalten, sondern dessen Kontrolle sowie alternative Verhaltensweisen (recht bald im Rahmen der Normsozialisation) gelernt würden (Tremblay 2010; 2013, 3 f.; 2015, 552 ff.; Nagin & Tremblay 2005, 88 ff.; Brame et al. 2001). Die Auswirkungen genetischer Dispositionen seien dabei nicht intragenerativ unabänderlich, sondern aufgrund von epigenetischen Prozessen durch die Änderung von Umweltbedingungen aggressionsmindernd zu beeinflussen (Tremblay 2015, 554 f.; Tremblay & Szyf 2010; Provençal et al. 2013; Palumbo et al. 2018).[42] Zum anderen entwickele sich die kleine Gruppe der im Jugendalter chronischen Gewaltdelinquenten zu einem erheblichen Teil aus der ebenfalls kleineren Gruppe der im Kindesalter häufiger Auffälligen, mithin aus denjenigen, die nicht gelernt hätten, ihr aggressives Verhalten erfolgreich zu kontrollieren (Tremblay 2013, 8 f.; 2015, 552 f.; Broidy et al. 2003, 235 f.).

Die Abhängigkeit der Trajektorienverläufe des Jugend- von denen des Kindesalters kann am angemessensten mit einem (allgemeinen) Parallelprozessmodell untersucht werden (General Dual Trajectory Model; Nagin 2005, 141 ff.; Nagin & Tremblay 2005, 92 ff.; Reinecke 2012, 62 ff.). Danach betrug anhand der Daten aus Montreal die Wahrscheinlichkeit, dass sich die physische Gewalt der im Kindesalter häufig Auffälligen (23 % aller Probanden) in jugendlicher Gewaltdelinquenz (hier bis zum maximal 17. Lebensjahr) fortsetzt, insgesamt zwar 64 %.[43] Aber hierbei bezogen sich 44 % auf im Jugendalter weniger belastete Gruppen (früh aufhörend oder auf das Jugendalter begrenzt),[44] und nur 20 % fanden sich in der Gruppe häufiger Jugendgewalt wieder (6 % aller Probanden ). Deren Täterinzidenzraten waren zudem ab dem 16. Lebensjahr rückläufig (Nagin et al. 2009, 108 ff.).[45] Eine frühe und häufige aggressive Auffälligkeit wäre demnach kein sicherer Prädiktor späterer persistenter Gewaltdelinquenz. Denn nur ein Fünftel der im Kindesalter häufig Auffälligen war auch im Jugendalter auf diesem Niveau aktiv.

Insgesamt führen die bisherigen latenten Klassenanalysen zu vier kriminologisch und kriminalpolitisch bedeutsamen Beobachtungen:

1. Intensivtäter weisen allenfalls bis zum frühen Erwachsenenalter hohe Täterinzidenzraten und insofern eine Persistenz der Tatbegehungen auf. Allerdings nur »insofern«. Denn im Verlauf der dritten Lebensdekade nimmt die Täterinzidenz so deutlich ab, dass selbst bei dieser Gruppe von einem Abbruchsprozess ausgegangen werden kann.[46] Sampsons und Laubs (2003, 588) Feststellung, dass es schwierig sei, ihre Befunde mit der Idee des Life-Course Persisters zu versöhnen, und stattdessen für den Delinquenzverlauf vom Konzept des »Life-Course Desisters« auszugehen sei, mag auf der Grundlage von Analysen eines zudem kleinen Hellfeldpanels noch recht schwach fundiert gewesen sein. Sie wurde seitdem aber vor allem mit Dunkelfelddaten (auch multifaktoriell-persönlichkeitsorientierter Studien) wiederholt bestätigt. Zu berücksichtigen ist zudem, dass die individuellen Verläufe von persistenten Intensivtätern nicht kontinuierlich auf vergleichsweise hohem Niveau verlaufen. Sie sind vielmehr gerade bei dieser Tätergruppe von starken Unterbrechungen (Intermittency) geprägt: Hohen Täterinzidenzen in einem Lebensjahr folgen niedrige und wieder mittlere oder hohe im nächsten oder übernächsten Lebensjahr (»Zigzag Criminal Careers«, Laub & Sampson 2003, 196; Huizinga et al. 2003, 55; Piquero 2004; Seddig & Reinecke 2017, 169).

2. Die Gruppe der früh aufhörenden Intensivtäter war in den meisten Analysen annähernd so groß oder auch deutlich größer als die der persistenten Intensivtäter. Dies wirft Fragen hinsichtlich der prognostischen Bedeutung des frühen Beginns (Early Onset) auf. Dieser Faktor gilt seit Langem als »one of the best predictors (or even the best predictor [...]) of the future course of the criminal career« (Farrington et al. 1990, 283; siehe nur Piquero et al. 2003, 387; Moffitt 2006, 293; Tibbetts 2009). Wenn erhebliche Anteile der Frühauffälligen noch im Jugendalter abbrechen, wird man solche Annahmen relativieren müssen. Erste Analysen deuten zudem darauf hin, dass früh aufhörende und persistente Intensivtäter im (späten) Kindesalter hinsichtlich ihres Deliktsmusters, persönlicher oder sozialer Merkmale und Einstellungen nur schwer zu unterscheiden sind, was eine frühe Prognose künftiger Entwicklungen erheblich erschwert.

3. Nicht zuletzt mit Blick auf prognostische Aussagen ist bedeutsam, dass sich die Gruppe der Intensivtäter in unterschiedlichen Altersphasen nicht homogen, sondern heterogen zusammensetzt: Zwar gehören hierzu immer die persistenten Intensivtäter, allerdings im späten Kindes- bzw. frühen Jugendalter auch früh aufhörende Intensivtäter, des Weiteren – zu gewissen Anteilen – im mittleren Jugendalter die auf diese Altersphase begrenzten Täter und schließlich ab dem späten Jugend- bzw. ab dem Heranwachsendenalter die späten Starter. Bei einer Prognose besteht also das Risiko, dass ein größerer Teil der lediglich auf der jeweiligen Altersstufe intensiven Täter als persistent, also falsch positiv vorhergesagt wird. Würde die Praxis über jeweils hinreichende Kenntnisse der vor allem delinquenten Vorgeschichte verfügen, dann könnte man die unterschiedlichen Gruppen stärker auseinanderhalten; vor allem wegen der im Einzelfall allenfalls sehr lückenhaften Kenntnis des Dunkelfeldes wird dies indessen kaum möglich sein.

4. Die amerikanischen und neuseeländischen Befunde zur Entwicklung physisch aggressiven Verhaltens im Kindesalter deuten darauf hin, dass auch »sehr früh aggressiv« nicht »immer aggressiv« bedeutet. Denn zum einen hörten die meisten damit noch im Kindesalter auf. Und zum anderen wies selbst von den erhöht auffälligen Kindern nur ca. ein Fünftel eine erhöhte und für das Jugendalter persistente Gewaltdelinquenz auf, die zudem noch im Jugendalter zurückging. Ob man diese Befunde, wie Tremblay und Kollegen, schon so interpretieren kann, dass physisch aggressives Verhalten in erheblichem Maße auch genetisch bedingt sei (zuletzt Tremblay 2015, 554 f.) und deshalb nur verlernt werden könne, bleibt abzuwarten (dies dürfte wohl auch für den Vorschlag gelten, die Kriminalprävention auf die Schwangerschaft zu konzentrieren). Denn die Kindes-Jugendalter-Analysen (Parallelprozessmodelle) begannen erst im 6. Lebensjahr. In diesem oder auch früherem Alter kann aggressives Verhalten auch schon erlernt worden sein (siehe schon Bandura 1973, 14 ff.).[47] Ein verlässlicher Nachweis könnte (vor allem wegen der vermuteten epigenetischen Prozesse) erst mit pränatalen Studien erbracht werden.

Moffitt hat vor dem Hintergrund der eigenen Analysen (siehe Moffitt 2006, 296 f.; noch deutlicher in Odgers et al. 2007) sowie der empirisch fundierten Kritik ihre Position hinsichtlich der Life-Course Persistent Offender zunächst, in einem 2006 publizierten Resümee, zutreffend modifiziert. Damit sei keine fortwährend gleich hohe Häufigkeit der Dissozialität gemeint gewesen.[48] Die duale Taxonomie akzeptiere, dass die Häufigkeitsrate ab »mid-life« deutlich sinke, allerdings gegenüber anderen Verläufen durchgehend das höchste Niveau behalte (Moffitt 2006, 295).

Des Weiteren wird das Phänomen der früh aufhörenden Intensivtäter (»childhood limited«, Odgers et al. 2007, 479) zur Kenntnis genommen und diskutiert. Diese Gruppe ist von großer Bedeutung, weil sie in besonderer Weise die Annahme einer im früheren Kindesalter einsetzenden dissozialen, insbesondere gewaltdelinquenten (siehe Moffitt 2006, 293) Verhaltenspersistenz in Frage stellt. Dies gilt zumal dann, wenn in der (ganz wesentlich von Moffitt mit konzipierten und ausgewerteten) Dunedin-Studie diese Gruppe mit 24 % mehr als doppelt so groß ist wie die der Persistenten (11 %; siehe oben),[49] in prognostischer Hinsicht also mit bis zu zwei Dritteln an falschen Positiven zu rechnen wäre. Moffitt weicht dem Umstand, dass dies ihre zentrale Annahme einer früh beginnenden lebenslangen Persistenz erheblich in Zweifel zieht, jedoch durch die Beobachtung aus, dass diese Gruppe bis zum (untersuchten) 26. Lebensjahr, wenn auch kaum mit Delinquenz, so doch mit anderen Problemen wie vor allem sozialer Isoliertheit, Depressionen und Neurotizismus auffalle (Moffitt 2006, 284). Psychopathologisch mag das sicherlich bedeutsam sein. Da die Delinquenzprobleme allerdings weitgehend verschwinden, ist das Resümee, die Befunde seien konsistent »with our taxonomic theory’s original assertion, that childhood-onset antisocial behavior is virtually always a prognosticator of poor adult adjustment« (Moffitt 2006, 285), überraschend und kriminologisch nicht überzeugend.

Und schließlich ist die Auffassung, späte Starter seien ein methodisches Artefakt, da hier lediglich das Hellfeld betrachtet worden sei und mithin die unentdeckt gebliebene frühe Dunkelfelddelinquenz nicht habe berücksichtigt werden können, nicht zutreffend (Moffitt 2006, 285 f., erneut in Moffitt 2018, 181). Denn späte Starter wurden vor allem in auf Täterbefragungen beruhenden Dunkelfeldanalysen beobachtet.

Die Modifizierung hinsichtlich der lebenslangen Persistenz wird jedoch in einem 2018 publizierten weiteren Resümee mit dem nicht überzeugenden Verweis auf (die bereits erörterten)[50] Befunde der englischen, niederländischen und amerikanischen Hellfeldstudien mit bis zum 55. bzw. 72. Lebensjahr aktiven Persistenten de facto zurückgenommen (Moffitt 2018, 181). Kleine Gruppen sozial oder familiär (durch eine gewaltsame Erziehung) vorbelasteter Probanden aus zumal reinen Hellfeldstichproben (1,6 bis 1,8 % der Verurteilten oder polizeilich Festgenommenen) mit zum Teil ganz überwiegend Eigentumsdelikten und Drogenabhängigkeiten oder deutlich geringeren Verurteilungshäufigkeiten als bei einem auf das Jugendalter begrenzten Verlauf entsprechen indessen nicht der Annahme einer vornehmlich psychopathologisch bedingten lebenslangen Persistenz. Nichtsdestotrotz ist natürlich zu erwarten, dass eine sehr kleine Gruppe persistenter Intensivtäter (nicht 5 bis 7 %, sondern vermutlich unter 1 %) auch in höherem Alter delinquent wird und Moffitts psychopathologischem Intensivtäterprofil in größerem Umfang entsprechen wird. Diese stand indessen, weil selbstverständlich, nie zur Diskussion. Die früh aufhörenden Intensivtäter werden 2018 nicht mehr erörtert.

4.1.2 Risiko- und Schutzfaktoren

Zur Erklärung delinquenten oder dissozialen Verhaltens werden im konzeptionellen Rahmen einer multifaktoriellen Verlaufsforschung traditionell Risiko- und (in den letzten Jahren) auch Schutzfaktoren erforscht (Lösel & Bender 2003). Nach den empirischen Befunden überwiegen die sozialen und familiären Faktoren oder stehen den Persönlichkeitsfaktoren zumindest nicht nach (siehe Loeber et al. 1998, 109 ff.; Moffitt et al. 2001, 101 ff., 214 f.; Lay et al. 2001, 125 ff., 130; Farrington 2002, 664 ff.; 2003, 151 ff.; Walter & Remschmidt 2004; vgl. McAra & McVie 2010, 186 f.).[51]

In einem neueren Überblick, der neben der Pittsburgh- sowie Cambridge-Studie weitere internationale (aber wohl nicht immer multivariat kontrollierte) Befunde einbezieht, nennen Farrington, Loeber und Ttofi (2012) als bedeutsamste Risikofaktoren, auf die in Delinquenz reduzierenden Interventionsprogrammen zu achten sei: Impulsivität, geringer Schulerfolg, defizitäre elterliche Erziehung (unzureichende Aufsicht, emotionale Vernachlässigung, inkonsistente Regeln, strenge Disziplin, Gewaltanwendung), frühe Mutterschaft, Kindesmissbrauch, elterliche Konflikte, zerrissene Familienstruktur, Armut, Delinquent Peers und sozial desorganisiertes Wohnviertel.[52] Als protektiv hätten sich insbesondere die folgenden Faktoren erwiesen: Lese-, Denk- und Problemlösungsfähigkeiten, gute Schulleistungen, ältere Mutter, positive Eltern-Kind-Bindungen, emotionale Zuwendung und angemessene elterliche Aufsicht (Letztere könnten das Risiko einer gestörten Familienstruktur kompensieren), dissoziales Verhalten ablehnende Eltern und Freunde sowie (als Hintergrundfaktor) ein höherer sozio-ökonomischer Status (siehe auch Boers 2009, 591 ff.). Bemerkenswerterweise wird hier die Hyperaktivität (im Unterschied zu anderen Studien)[53] nicht mehr als bedeutender Risikofaktor für Gewaltdelinquenz aufgeführt;[54] vielmehr habe sich deren geringer Grad als protektiver Faktor erwiesen (Farrington et al. 2012, 48).

Mit den Daten der Pittsburgh Youth Study wurden die bislang wohl elaboriertesten Analysen durchgeführt. Nach multivariater Kontrolle (logistische Regressionsanalysen) reduzierten sich die statistisch signifikanten Faktoren erheblich. Demnach blieben hinsichtlich der Gewaltdelinquenz zwischen dem 7. und 19. Lebensjahr die folgenden Risikofaktoren bestehen (mit den stärksten Odd Ratio-Effekten beginnend): Delinquent Peers, nur teilweise bei leiblichen Eltern wohnen, Alkoholkonsum, vorherige Diebstahlsdelinquenz und psychopathische Merkmale; sowie als Schutzfaktoren: Schulerfolg, geringer Grad psychopathischer Merkmale und konforme Peers. Hinsichtlich der Gewaltdelinquenz zwischen dem 13. und 25. Lebensjahr ergaben sich als Risikofaktoren: Delinquent Peers, Gang-Mitgliedschaft, Waffentragen, Gewaltviktimisierung und vorherige Gewaltdelinquenz; sowie als Schutzfaktoren: eine ältere Mutter und konforme Normorientierungen (Farrington et al. 2008, 204 ff.).

Auch in für Trajektoriengruppen durchgeführten multivariaten Analysen (multinomiale Regressionen) waren soziale Risikofaktoren bedeutsamer als persönlichkeitsorientierte.[55] So blieben in Pittsburgh im 13. Lebensjahr für den vom 13. bis zum 25. Lebensjahr (älteste Kohorte) berücksichtigten Verlauf der Gewaltdelinquenz von persistenten Intensivtätern[56] die folgenden Risikofaktoren als statistisch bedeutsam bestehen (beginnend wiederum mit den stärksten Odd Ratio-Effekten): problematische Nachbarschaft, mit nur einem oder keinem biologischen Elternteil aufwachsend, delinquente Peers, Schulabsentismus, väterliche Verhaltensprobleme, psychopathische Eigenschaften, Familie in Sozialhilfe, fehlendes elterliches Loben; sowie folgende Schutzfaktoren: gute Schulleistungen, gute elterliche Aufsicht, Delinquenz ablehnende Einstellungen. Für Early Decliner[57] waren weniger Faktoren und wenn, dann in schwächerem Maße signifikant. Hier kamen vor allem zwei protektive Faktoren hinzu: niedriger Grad psychopathischer Merkmale sowie in familiäre Aktivitäten eingebunden (Lacourse et al. 2008, 252).[58]

Die bisherigen Befunde der multifaktoriellen Verlaufsforschung zu delinquenten Entwicklungspfaden sowie die festgestellten Anteile erklärter Varianzen der Risikofaktoren sind vor allem unter heuristischen Gesichtspunkten bedeutsam. Sie geben als induktiv gewonnene Befunde Anlass, multivariat signifikante Faktoren weiteren Analysen zu unterziehen. Sie können indessen noch keine verlässliche empirische Grundlage für Programme der individuellen, zumal klinisch-psychologischen oder psychiatrischen Intervention im Kindes- und frühen Jugendalter liefern (kritisch auch Sampson & Laub 2003, 559; Wikström & Treiber 2017).

Auch wenn in den letzten Jahren im Bereich der multifaktoriellen Verlaufsforschung ansatzweise theoretische Erklärungen entwickelt wurden (Farrington 2005; 2010), so besteht der Hauptnachteil dieser Herangehensweise fort. Wegen der (bewusst) unterlassenen theoretischen Konzeption fehlt zum einen ein erklärender Zusammenhang, in dem die unterschiedlichen biologischen, psychischen und sozialen Faktoren zueinander stehen könnten und aus dem heraus deren miteinander verbundene Beziehungen zur Delinquenz nachvollziehbar werden. Bei multifaktoriell gewonnenen Zusammenhängen handelt es sich erkenntnistheoretisch somit lediglich um (wenn auch multivariat kontrollierte) Korrelationen zwischen zwei Variablen, jedoch nicht um erklärende Kausalzusammenhänge. Werden also Risikofaktoren in zeitlicher Aufeinanderfolge (also anhand von Paneldaten) beobachtet, dann stellt der zeitlich erste Faktor lediglich einen Prädiktor des zeitlich zweiten Faktors, jedoch keinesfalls eine Ursache dar (siehe auch Wikström 2011; 2017, 506 f.; Wikström & Treiber 2017). Denn die Annahme einer Ursache bedarf einer kausalen Theorie. Dabei wird hier nicht angenommen, dass Kausalannahmen oder Kausalgesetze in der Natur vorgegeben sind. Kausale Sätze sind metaphysischer Natur. Sie werden theoretisch – also als Modell – vorweggedacht, um Zusammenhänge zwischen empirischen Phänomenen auf diese spezifische, Komplexität reduzierende Weise erklären zu können.[59]

Zum anderen sind – wovon eine multifaktorielle Konzeption grundsätzlich ausgeht – nicht alle relevanten Faktoren direkt, sondern häufig, vermittelt über weitere Variablen, indirekt und dabei durchaus in bedeutsamer Weise wirksam (als »causes of the causes«, Wikström et al. 2012, 29 ff.). Insbesondere komplexer strukturierte Wirkungszusammenhänge, die sich, untereinander vermittelnd oder miteinander interagierend, über die Makro-, Meso- und Mikroebene sozial- und verhaltenswissenschaftlichen Erklärens erstrecken, können mit einem multifaktoriellen Ansatz nicht analysiert werden. Solche Zusammenhänge stellen indessen die neurobiologisch, psychisch und sozial geprägte Realität (natürlich nicht nur) delinquenten Verhaltens dar. Auf deduktive Weise plausible Annahmen über erklärende Zusammenhänge sowie – darin eingebettet – über die Struktur direkter und indirekter Effekte zu gewinnen, ist die Funktion einer theoretischen Konzeption. Letzteres ist ein konstitutives Merkmal der kriminalsoziologischen Verlaufsstudien.

4.2 Soziologische Verlaufsforschung

Kennzeichen der soziologischen Verlaufsforschung sind theoriegeleitete Analysen der für die Entwicklung delinquenter Altersverläufe bedeutsamen sozialstrukturellen Bedingungen. Die Analysemodelle berücksichtigen insbesondere vermittelte (indirekte) Effekte von Hintergrundvariablen sowie reziproke Verstärkungseffekte.[60] Innerhalb der soziologischen Verlaufsforschung kann man eine ätiologische und eine konstruktivistische Perspektive unterscheiden. Der entscheidende Unterschied liegt darin, dass nur Letztere die Wirkungen formeller Kontrollinterventionen konzeptionell eigenständig berücksichtigt.

4.2.1 Soziologisch-ätiologische Verlaufsstudien

Soziologisch-ätiologische Verlaufsstudien werden seit den 1970er Jahren durchgeführt. Weil sie ebenfalls einer positivistischen Sichtweise folgen, können sie, wie die multifaktoriellen Studien, als ätiologische Analysen angesehen werden. Sie sind freilich durch eine bewusste Abkehr vom multifaktoriell-induktivistischen Forschungsdesign zugunsten einer deduktiven, auf kriminalsoziologischen Theorien beruhenden Modellbildung gekennzeichnet. Für diese Forschungsperspektive charakteristische Studien sind der National Youth Survey (NYS; als erste und paradigmatische Untersuchung dieser Art, Elliott et al. 1985; 1989), die Rochester Youth Development Study (RYDS, Thornberry et al. 2003), das Seattle Social Development Project (SSDP, Catalano & Hawkins 1996), die in Duisburg durchgeführte Studie Kriminalität in der modernen Stadt (Crime in the modern City, CrimoC, Boers et al. 2014; Boers & Reinecke 2019a), die Peterborough Adolescent and Young Adult Development Study (PADS, Wikström et al. 2012) sowie die kriminalsoziologisch orientierten Reanalysen bzw. Fortuntersuchungen mit den Daten und Probanden der Glueck-Studie (Laub & Sampson 2003) oder der Tübinger Jungtäter-Vergleichsuntersuchung (TJVU, Stelly & Thomas 2001; Boers 2013b). Im Folgenden werden wiederum zunächst die Verlaufsannahme und sodann die Entstehungszusammenhänge erörtert.

4.2.1.1 Verlaufsannahme der soziologisch-ätiologischen Verlaufsforschung

In der soziologisch-ätiologischen Verlaufsforschung wird angenommen, dass der Delinquenzverlauf persistenter Intensivtäter vom Jugend- bis ins frühe Erwachsenenalter durch Kontinuität und danach durch den Delinquenzabbruch geprägt ist. Diese Verlaufsannahme wurde von Sampson & Laub (2003) aufgrund der Befunde ihrer Analysen mit den (weiter erhobenen) Glueck-Daten als Gegenthese zum lebenslangen Persistenztypus formuliert. Sie hat sich nach den bereits vorgestellten Befunden der Trajektorienanalysen (Abschnitt 4.1.1) bislang insbesondere mit Daten von Täterbefragungen bewährt.

4.2.1.2 Entstehungszusammenhänge in der soziologisch-ätiologischen Verlaufsforschung

Die Erklärungen der soziologisch-ätiologischen Verlaufsstudien zur Entstehung und zum Verlauf der Delinquenz beruhen mehr oder weniger auf integrierten theoretischen Modellen. Diese berücksichtigen die Beziehungen zwischen Variablen der sozialen makro-, meso- und mikrostrukturellen Ebene. Vor allem anomietheoretische Überlegungen (Merton 1968 [1938], Makroebene), die Kontrolltheorie (Hirschi 1969, Mesoebene) sowie Lerntheorien (differentielle Assoziation: Sutherland 1968 [1939]; soziale Lerntheorie: Akers 1998; Akers & Jensen 2003; Meso- und Mikrobene) werden sowohl integrativ in einer kausalen Folge als auch interaktiv in ihren reziproken Beziehungen miteinander verbunden. Für die Erklärung delinquenter Verläufe kommt es letztlich nicht auf die Integration von Theorien als solchen, sondern auf die direkten sowie vor allem vermittelten Effekte von für die jeweilige Erklärungsebene charakteristischen unabhängigen Variablen an, deren kriminologische Bedeutung sich freilich nur aus einer theoretischen Erklärung ergibt (ausführlich zur Theorieintegration: Liska et al. 1989; Bernard & Snipes 1996; Krohn & Ward 2016; Boers & Reinecke 2019b).

4.2.1.2.1 Das integrative Erklärungsmodell des National Youth Survey

Das Grundmuster einer integrierten soziologisch-ätiologischen Verlaufstheorie bildet das von Elliott et al. (1985, 33 ff., 65 ff., 145 ff.) für Auswertungen des US-amerikanischen National Youth Survey[61] aus Elementen der Anomie- (genauer Strain-), Kontroll- und Lerntheorie entwickelte Analysemodell (siehe Bernard et al. 2016, 326 ff.; Akers et al. 2017, 314 f.). Hierin wurde erstmals die für sozialstrukturelle Analysen typische Unterscheidung zwischen distalen und proximalen Faktoren sowie der damit einhergehende mediatisierte Wirkungsprozess berücksichtigt (siehe auch Akers 1998, 322). Danach üben distale Elemente einen (nahezu) ausschließlich indirekten Einfluss aus, sind somit Hintergrundursachen (»causes of the causes«, Abschnitt 4.1.2 am Ende). Deren Einfluss wird über proximale Ursachen vermittelt: Ein niedriger sozio-ökonomischer Status und damit einhergehende, anomischen Strain hervorbringende Ziel-Mittel-Diskrepanzen[62] (distal) erlangen erst vermittelt durch defizitäre familiäre oder schulische Bindungen (distal-proximal) und diese wiederum über die – in einem direkten Zusammenhang mit der Delinquenz stehenden – delinquenzbezogenen Gruppenbildungen (proximal) kriminologische Bedeutung. Neben unterschiedlichen Delinquenzformen sollten der Drogenkonsum sowie psychische Probleme erklärt werden (Elliott et al. 1989, 143 ff.).

Dem Modell grundsätzlich entsprechend ergaben multivariate Überprüfungen, dass (was so eindeutig nicht unbedingt sein muss) allein für Delinquent Peers ein direkter und durchweg stärkerer Zusammenhang mit der (allgemeinen oder schweren) selbstberichteten Delinquenz bestand; die recht beachtliche erklärte Varianz des Gesamtmodells (R² > .30) beruhte vornehmlich auf diesem Zusammenhang. Erst hierüber erlangten die Bindungsvariablen einen (indirekten) Einfluss, und anomietheoretisch verstandene Faktoren (sozialer Status, soziale Desorganisation des Wohnviertels, Strain) waren nur über diese Bindungsvariablen bedeutsam (Elliott et al. 1985, 109 ff.; 1989, 146 ff.).

Obgleich diese Befunde die Bedeutung lerntheoretischer Annahmen besonders hervorheben und diese ja grundsätzlich auch mit anomie- und kontrolltheoretischen Überlegungen integriert werden sollten (Elliott et al. 1985, 36 ff.), wird das Modell letztlich doch als eine stärker kontrolltheoretisch fundierte Integration bezeichnet. In der Folge geht es bei Delinquent Peers nicht um Association, sondern um Bonding. Vor allem werden Normorientierungen nicht als das entscheidende Ergebnis gruppenbasierter Lernprozesse aufgefasst und deshalb gesondert in die Analysen eingebracht, sondern lediglich als Teil des Konstruktes Delinquent Peer Group Bonding mitberücksichtigt (Elliott et al. 1985, 93).

Die dafür angeführte konzeptionell, nicht empirisch inspirierte Begründung, Kontrolltheorien seien soziologischer, weil genereller und (wegen der mesosozialen Bindungen) struktureller angelegt (Elliott et al. 1985, 67 f.), ist nicht überzeugend. Denn zum einen wird damit die auf eine ganzheitliche, über mehrere Untersuchungsebenen erfolgende Sichtweise integrierter Ansätze wieder aufgehoben. Zum anderen ist insbesondere ein Bezug auf Kontrolltheorien für die Erklärung delinquenten Verhaltens konzeptionell nicht geeignet, weil Kontrolltheorien grundsätzlich Konformität erklären und Bindungen demnach (in der Regel) konventionelle Bindungen sein müssen (siehe auch Akers et al. 2017, 316 f.). Freilich ist die kriminologische Verwendung des Begriffs »soziale Bindungen« nicht Kontrolltheorien vorbehalten. Der Begriff ist allgemein gebräuchlich, vor allem zur Bezeichnung eines wesentlichen Ergebnisses sozialisatorischer Prozesse, und insoweit auch für die Erklärung delinquenten Verhaltens verwendbar. In einer späteren Pfadanalyse schweren Gewaltverhaltens hat Elliott (1994, 15 ff.) delinquente Normorientierungen (attitudes towards deviance) auch gesondert berücksichtigt und einen stärkeren direkten Effekt (β = .31) feststellen können. In den folgenden Jahren wurden weitere Verlaufstheorien entwickelt, die im Ergebnis bestimmte Aspekte eines solchen Grundmodells genauer ausbuchstabiert haben.

4.2.1.2.2 Social Development Model

Das Social Development Model liegt Panelstudien des Seattle Social Development Project[63] zugrunde und konzentriert sich auf die Ausarbeitung eines als »Social Development Process« bezeichneten sozialen Lern- und Bindungsprozesses, der distal-externe Einflüsse sozialstruktureller Bedingungen auf das Verhalten vermitteln soll. Mit diesem Modell wird versucht, sowohl abweichendes Verhalten (Drogengebrauch, Schulprobleme, Gewalt-, Sachbeschädigungs- und Eigentumsdelinquenz) als auch prosoziales Verhalten zu erklären. Dieselben sozialstrukturellen sowie Lern- oder Bindungsvariablen sollen also – je nach zu erklärendem Verhalten – mit dis- oder prosozialem Vorzeichen berücksichtigt werden können.

Zu den distalen Einflüssen gehören makrostrukturelle (sozialer Status, ethnische Gruppenzugehörigkeit), mesostrukturelle (Familie, Schule, Freunde) sowie individuelle (depressive Stimmung, Konzentrationsmängel, Rückzugstendenzen, dissoziales Verhalten) Bedingungen. Als mesostrukturelle Faktoren werden hier sogenannte External Constraints berücksichtigt. Damit ist die Durchsetzung von Normen im Rahmen informeller (Familie, Schule, Freunde) sowie formeller (Polizei, Justiz) Kontrollinstanzen gemeint. Dass diese (überwiegend typisch mesostrukturellen) Variablen im Unterschied zum Modell von Elliott und Kollegen auf einer (distalen) Ebene mit makrostrukturellen Ursachen modelliert werden, hat den Nachteil, dass die zumindest theoretisch bedeutsamen Einflüsse der Schichtzugehörigkeit auf die unterschiedlichen Ausprägungen sozialer Kontrolle nicht analysiert werden können. Da die formelle Kontrolle allein auf eine Delinquenzminderung (im Sinne von Abschreckung) bezogen wird, handelt es sich beim Social Development Model um einen ätiologischen Ansatz, ohne konstruktivistisches Element. Neu ist indessen die ausdrückliche Integration von individuellen, zum Teil neurobiologisch bedingten Dispositionen als Hintergrundursachen eines sozial-ätiologischen Modells.

Der proximalere Social Development Process vermittelt nicht nur diese externen Faktoren, sondern ist auch in sich – über fünf aufeinander folgende Schritte – vermittelnd ausgestaltet. Dadurch erfährt der in zahlreichen kriminologischen Theorien hoch bedeutsame Lern- und Bindungsprozess eine erhebliche Ausdifferenzierung: Demnach soll die Wahrnehmung von Gelegenheiten, die Häufigkeiten sozialer Kontakte (Involvement) und sozialer Belohnungen (Rewards)[64] sowie hierauf folgend die Qualität sozialer Bindungen (vor allem konforme oder delinquente Peers) und die Internalisierung von Normen (Belief in Moral Order) beeinflussen. Direkte Effekte auf das Verhalten werden (wie bei Vermittlungsmodellen üblich) nur wenige angenommen: Vor allem die Internalisierung sozialer bzw. dissozialer Normen soll prosoziales bzw. abweichendes Verhalten unmittelbar beeinflussen und darüber hinaus abweichendes Verhalten noch von dissozialen Belohnungen und dissozialen Bindungen direkt verstärkt werden können (Catalano & Hawkins 1996; Catalano et al. 2005, 94 ff.).

Beim Social Development Model handelt es sich schließlich um ein explizites Verlaufsmodell. Bedeutsam sind hieran vor allem zwei grundsätzliche Annahmen. Zum einen, dass sich in unterschiedlichen Lebensphasen[65] die zuvor benannten Erklärungselemente sowie das jeweilige abweichende Verhalten unterschiedlich ausprägen; also z. B. aggressives Verhalten im Kindesalter eher mit familiären Bedingungen zusammenhängt, während die Jugenddelinquenz eher mit geschwächten schulischen, aber verstärkten Delinquent Peer-Bindungen einhergeht. Zum anderen, dass sich die unterschiedlichen Erklärungselemente im Altersverlauf (d. h. über die jeweiligen Lebensphasen hinweg) wechselseitig beeinflussen (Reziprozität); also z. B. Delinquenz in der nächsten Lebensphase die Wahrnehmung delinquenter Gelegenheiten sowie die Bindungen zu delinquenten Peers verstärken kann (Catalano & Hawkins 1996, 169 ff.; 178 ff.; siehe auch Theimann 2019).

In einem alle, pro- sowie dissozialen Modellelemente vom 10. bis zum 14. Lebensjahr berücksichtigenden Pfadmodell konnte die Vermittlungsstruktur des für das Social Development Model charakteristischen Lern- und Bindungsprozesses empirisch weitgehend bestätigt werden.[66] Dabei war der prosoziale Verlaufspfad besser zu erklären als der delinquente. Letzterer erhielt allerdings gleichwohl eine durchaus hinreichende Unterstützung (mit schwächeren bis stärkeren Effekten). Wie angenommen und zu erwarten gingen die beachtlichen direkten Effekte auf das deviante Verhalten (β = .27 bis .49) von den lerntheoretischen Kernvariablen dissoziale Bindungen und Normorientierungen aus, nicht jedoch von dissozialen Belohnungen (Catalano et al. 2005, 103 ff.).

4.2.1.2.3 Interactional Theory

Auf die Entwicklung des Zusammenhangs gerade dieser Variablen konzentrierte sich schon einige Zeit zuvor Thornberry im Rahmen einer sogenannten Interactional Theory. Mit der Betonung reziproker delinquenter Verstärkungsprozesse gelangt hier insbesondere die Kontinuität adoleszenter Delinquenz in den Mittelpunkt kriminologischer Erklärungen. Diese Theorie bildet den konzeptionellen Rahmen der Rochester Youth Development Study.[67] Den Ausgangspunkt der Interactional Theory bildet erneut eine Integration klassischer anomie- und vor allem kontrolltheoretischer Annahmen:[68] »Basic cause« der Delinquenz sei, dass sozialstrukturelle Benachteiligungen der Familie oder des Wohnviertels die Herausbildung konventioneller Bindungen an die Familie, Schule oder konforme Freundesgruppen schwächten (t1). Sodann stehen – als dynamisch-interaktionaler Aspekt – die Wechselwirkungen zwischen delinquentem Verhalten und den verschiedenen sozialen Bindungen im Zentrum der Überlegungen. Delinquentes Verhalten könne die Bindungen zur Familie und zu konformen Freunden sowie einen erfolgreichen Schulverlauf weiter schwächen und umgekehrt die Beziehungen zu delinquenten Peers sowie delinquente Normorientierungen, also delinquente Kommunikationsbeziehungen stärken (t2). Die Folge sei weitere und womöglich intensivere Delinquenz (t3;Thornberry 1987; Thornberry et al. 2003, 12 ff.). »Interactional« ist hier also nicht im Sinne des Labeling Approach als Beziehung zwischen einem delinquent Handelnden und (formell) Kontrollierenden (Abschnitt 4.2.2) zu verstehen, sondern bezeichnet lediglich die (ätiologisch verstandene) wechselseitige Beziehung zwischen sozialer Umwelt und einem delinquent Handelnden.

Diese Annahmen sind bislang nicht für die ganze Jugend- und Jungerwachsenenphase empirisch überprüft worden. In der Rochester-Studie wurden sie mit Daten der ersten eineinhalb Jahre (drei Wellen) analysiert. Danach erwiesen sich nur rund die Hälfte der theoretisch besonders bedeutsamen reziproken Beziehungen zwischen Delinquent Peers, Delinquent Beliefs, Peer Reactions und Delinquent Behavior als statistisch signifikant und waren nur schwach ausgeprägt. Wie in vielen Längsschnittanalysen ergaben sich indessen starke autoregressive und Querschnitt-Effekte, also zwischen denselben zu unterschiedlichen Zeitpunkten erhobenen Variablen sowie auch unter allen Variablen zum selben Befragungszeitpunkt (Thornberry et al. 1994, 66 ff.). Zu ähnlichen Befunden gelangten auch andere Studien (im Überblick: Thornberry 1996) sowie Analysen mit den Duisburger Paneldaten, die zudem einen längeren Alterszeitraum berücksichtigen konnten (Boers et al. 2010, 509 f.; Seddig 2014 a, 329 ff.).

In zahlreichen Teilanalysen haben sich etliche Annahmen der Interactional Theory deutlicher bewährt.[69] Konzeptionell weniger überzeugend sind indessen die Überlegungen zum Delinquenzabbruch bei Intensivtätern, da die sich reziprok verstärkenden Kausalbeziehungen in den bisherigen Formulierungen auf eine zunehmende Persistenz hinauslaufen. Die auf der (wiederum reziprok angelegten) Stärkung sozialer Bindungen beruhenden Abbruchsprozesse werden zwar auch für persistente Verläufe für möglich gehalten, vor allem aber für episodale oder auch spät beginnende Verläufe postuliert (Thornberry 2005, 166 ff., 172 ff.). Hier sind sie freilich ohnehin zu erwarten.

4.2.1.2.4 Theory of Age-Graded Informal Social Control

In der für die Reanalyse der Gluecks-Daten (bis zum 32. bzw. 45. Lebensjahr) von Laub und Sampson Anfang der 1990er Jahre veröffentlichten Theory of Age-Graded Informal Social Control spielte der Delinquenzabbruch indessen eine konzeptionell bedeutende Rolle. Man kann sagen, dass die hierauf beruhenden Untersuchungen die inzwischen intensiven Forschungen zum Delinquenzabbruch erst ausgelöst haben.

In der Age-Graded-Theory werden drei Delinquenz relevante Entwicklungsphasen herausgearbeitet, wobei die informelle soziale Kontrolle in der ersten und dritten Phase besonders bedeutsam sein soll. Die diesbezüglichen Annahmen konnten sich in den empirischen Analysen weitgehend bewähren. Freilich beziehen sich diese Analysen allein auf Hellfelddaten (polizeiliche Festnahmen), da kontinuierliche Täterbefragungsdaten nicht vorlagen.

Es zeigte sich, dass (1) für die Entstehung der frühen Delinquenz die Bindungen zur Familie, Schule und zu den Peer Groups die stärksten Effekte aufwiesen. Dem vorgelagerte sozialstrukturelle Bedingungen (sozialer Status, Wohnverhältnisse, Arbeitssituation) hatten als Hintergrundfaktoren wiederum einen indirekten Einfluss. Die von den Gluecks umfangreich erhobenen Persönlichkeitsmerkmale des Kindes- und Jugendalters waren kaum relevant (Sampson & Laub 1993, 77 ff., 109 ff., 119 f.). (2) Hinsichtlich der Kontinuität der Delinquenz bestanden lediglich autoregressive und zudem insgesamt schwache Zusammenhänge zwischen im 14. Lebensjahr berichteten Verhaltensauffälligkeiten bzw. (etwas stärker) zwischen im frühen Erwachsenenalter festgestellter Hellfeldkriminalität und der im 25., 32. oder 45. Lebensjahr registrierten Kriminalität; darüber hinaus spielten soziale oder persönliche Faktoren hier kaum eine Rolle (Sampson & Laub 1993, 134 f., 155 ff.). (3) Stärkere Zusammenhänge fanden sich jedoch mit Blick auf den Delinquenzabbruch. Zwischen dem 17. und 32. Lebensjahr erworbene Adult Social Bonds gingen mit deutlich geringeren Registrierungsraten in den folgenden Lebensjahren einher und zwar unabhängig von der im Jugendalter registrierten Kriminalität. Von den Adult Social Bonds waren kriminologisch allein eine Partnerschaft und die Arbeitssituation bedeutsam, wobei es auf die Qualität dieser Bindungen ankam (Sampson & Laub 1993, 153 ff., 181 ff.). War die Herausbildung von Adult Bonds somit von vorherigen sozialen und persönlichen Entwicklungen weitgehend unabhängig, so fanden die Autoren einen »deleterious« (Sampson & Laub 1993, 167) Effekt von (längeren) Inhaftierungszeiten im Jugend-, vor allem aber im frühen Erwachsenenalter (17 bis 25 Jahre) auf die spätere Job Stability (Sampson & Laub 1993, 162 ff., 167; 1997, 149). Auch diese Konzeption integriert mithin – unter Betonung der Bedeutung sozialer Bindungen – makro- und mesostrukturelle sowie (hinsichtlich des einen Aspekts der Inhaftierungslänge) konstruktivistische Annahmen. Die durchgreifende Tendenz zum Delinquenzabbruch hat sich, wie bereits erörtert (Abschnitt 4.1.1), vor allem in den bis zum 70. Lebensjahr durchgeführten probabilistischen Verlaufsanalysen mit den ehemals inhaftierten Gluecks-Probanden bestätigt (Laub & Sampson 2003).

Auch im Rahmen der Nachuntersuchung der Tübinger Jungtäter-Vergleichsuntersuchung durchgeführte Analysen zum Delinquenzabbruch orientierten sich an der Age-Graded Theory. Hier stellte sich ebenfalls heraus, dass das Fortwirken früher aufgebauter Ressourcen in den Bereichen Familie und Bildung im Sinne einer später wieder möglichen sozialen Einbindung einen Hauptfaktor für den Delinquenzabbruch bildete.[70]

4.2.1.2.5 Delinquenzabbruch

Ausgelöst durch die Untersuchungen von Laub und Sampson haben seit den 2000er Jahren soziologisch und sozial-psychologisch orientierte Untersuchungen maßgeblich dazu beigetragen, dass sich die Agenda der kriminologischen Verlaufsforschung von der lebenslangen Persistenz zum Delinquenzabbruch verlagert hat. Bis dahin ist Letzterer kaum untersucht worden. Nach neuerem Verständnis versteht man hierunter nicht mehr die endgültige Beendigung delinquenten Verhaltens (»Termination«, siehe Blumstein et al. 1986, 22), sondern den Prozess der (allmählichen) Verringerung der Häufigkeit und der Schwere begangener Straftaten. Dieses Verständnis beruht auf Beobachtungen, dass sich ein Delinquenzabbruch in der Regel nicht von einem Zeitpunkt zum nächsten ereignet, sondern dass das Abbruchsgeschehen über einen gewissen Zeitraum erfolgt und mit gelegentlichen Rückschlägen einhergehen kann (Le Blanc & Fréchette 1989, 126; Weitekamp & Kerner 1994, 448; Bushway et al. 2001, 491 ff.; Maruna & Farrall 2004, 173; Laub & Sampson 2001, 11; Bottoms et al. 2004, 371 ff.; Loeber et al. 2016, 87; Boers & Herlth 2016, 103 f.). Damit werden wissenschaftliche Beobachtungen, Prognosen oder Interventionen nicht am Endpunkt eines persistenten Delinquenzverlaufs, sondern am Beginn und an der weiteren Entwicklung des Abbruchgeschehens orientiert. Dies ist auch für die Intervention (Justiz, Jugend- und Sozialhilfe, Therapie) sehr bedeutsam, da die meist in der Vergangenheit liegenden Entstehungsgründe persistenter Delinquenzverläufe nicht mehr beeinflusst, ein künftiger Abbruchsprozess indessen unterstützend begleitet werden kann.

Zur Erklärung des Delinquenzabbruchs haben sich (1) soziale, (2) individuelle[71] sowie (3) integrative Ansätze herausgebildet. Der auf der ersten Untersuchung von Sampson und Laub (1993; siehe zuvor) und ihrer Age-Graded Control Theory beruhende soziale Ansatz betont die Herausbildung neuer konventioneller Bindungen, vor allem eine stabile Partnerschaft, stabile Arbeitsverhältnisse oder gute familiäre Beziehungen. Individuelle Ansätze beruhen häufig auf sozial-psychologischen (zuerst Maruna 2001) oder neuerdings auch Rational Choice-Überlegungen (Paternoster et al. 2015) und heben die Notwendigkeit eines kognitiven Wandels zu einer konformen sozialen Handlungskompetenz (Human Agency) hervor.

Recht bald gewannen in der Diskussion (mit jeweils leicht unterschiedlichen theoretischen Begründungen) integrative Auffassungen größeren Einfluss. Danach sollen nicht der soziale oder der individuelle Aspekt je für sich allein, sondern die Wechselwirkungen zwischen beiden, also zwischen neuen sozialen Bindungen und gewandeltem Selbstkonzept, entscheidend sein (vor allem Giordano et al. 2007; Giordano 2016; Bottoms & Shapland 2011; 2016; Farrall et al. 2014; Farrall 2016; zum Ganzen und vertiefend Laub & Sampson 2001; Boers & Herlth 2016, 105 ff. sowie die Beiträge in Shapland et al. 2016). Aufgrund von vor allem qualitativen empirischen Befunden wird davon ausgegangen, dass das auslösende Moment durch die intrinsische Einsicht, das delinquente Verhalten aufgeben zu wollen, also kognitiv motiviert sei. Erst infolgedessen würden die strukturellen Möglichkeiten zur Umsetzung eines Änderungswunsches (bei Giordano et al. 2007, 1606, als »Hooks for Change«) wahrgenommen und genutzt (Bottoms & Shapland 2016, 109 ff.). Weiter differenzierend betonen Farrall et al. (2014) anhand der Befunde ihrer sowohl quantitativen wie qualitativen Panelstudie mit 199 Bewährungshilfeprobanden, dass mit der Heterogenität von Tätergruppen unterschiedliche Abbruchsprozesse einhergingen, die folglich nur unterschiedlich theoretisch erklärt werden könnten (»theoretical triangulation«, Farrall et al. 2014, 120). So sei bei vormals drogenabhängigen Probanden die Motivation zur individuellen Umkehr, bei anderen Tätern hingegen der Aufbau neuer sozialer Bindungen bedeutender gewesen (Farrall et al. 2014, 280).

Auch Laub und Sampson (2003) bezeichnen aufgrund ihrer weitergeführten Analysen (Tiefeninterviews mit 52 der 500 im Jugendalter inhaftierten Gluecks-Probanden in deren siebter Lebensdekade) Human Agency als »the missing link in desistance« (Laub & Sampson 2003, 141). Sowohl die Persistenz als auch der Delinquenzabbruch würden durch die Interaktion objektiver und subjektiver Faktoren (»life-course transitions, macro-level events, situational context, and individual will«, Laub & Sampson 2003, 281) geprägt. Gleichwohl beobachteten sie, dass bei den meisten ihrer Probanden ein »desistance by default« (Laub & Sampson 2003, 278), also ein individuell nicht weiter reflektierter oder gesteuerter Delinquenzabbruch erfolgt war, der nicht notwendigerweise auf einem kognitiven Transformationsprozess beruhte, sondern darauf, dass eine sich bietende strukturelle Chance zur Ehe oder Arbeit ergriffen worden war. Erst in der Folge habe sich eine neue Identität als »good family man« oder »hard worker« herausgebildet, die mit dem Begehen von Straftaten nicht mehr vereinbar gewesen sei (Laub & Sampson 2003, 145 ff., 278 f.; 2001, 51).

Auch in einer qualitativen Untersuchung Münsteraner Intensivtäter, die vom Ende des Jugendalters bis Ende Zwanzig mehrmals interviewt worden waren und zum Teil längere Jugendstrafen wegen Gewalt- oder Drogendelikten verbüßt hatten, beruhte der Delinquenzabbruch ganz überwiegend auf sozial-strukturellen Veränderungen sowie auf der damit zusammenhängenden Befürchtung, das Erlangte durch eine erneute Straffälligkeit verlieren zu können. Reflexionen über eine Änderung des delinquenten Selbstkonzepts schienen keine Rolle gespielt zu haben (Boers & Krawinkel 2016, 78 ff., 104 ff., 114 ff.). Insofern wären an die erforderlichen kognitiven Änderungsprozesse keine Erwartungen im Sinne eines tiefgehenden Prozesses der Selbstreflexion zu stellen. Denn jugendliche Intensivtäter werden hierin in der Regel weniger geübt sein als in der praktischen Wahrnehmung und Umsetzung von konkreten Möglichkeiten und Angeboten zur Lebensgestaltung.

Gegenüber dem inzwischen weitgehenden, empirisch fundierten Konsens hinsichtlich integrativer Ansätze vertreten vor allem Bushway und Paternoster die (zugespitzte) Auffassung, dass es in erster Linie auf den bewussten, einen Delinquenzabbruch zudem allein auslösenden, Identitätswandel ankomme. Sozialstrukturelle Änderungen seien demgegenüber zwar nützlich, aber letztlich nicht wesentlich (Paternoster et al. 2015, 215, 231). Eine solche konzeptionelle wie zeitliche Priorisierung des bewussten Identitätswandels gegenüber sozialstrukturellen Wendepunkten erscheint wegen deren wechselseitigen Beziehungen nicht realistisch. Letztlich kommt es darauf auch nicht an. Denn die bewusste Entscheidung, keine Straftaten mehr zu begehen, mag einen Delinquenzabbruch auslösen oder (nur) verstärken. Dieser Prozess kann indessen nur fortdauern, wenn er durch sozialstrukturell bedingte Möglichkeiten, ein konformes Leben führen zu können, materiell untermauert wird (Boers & Herlth 2016, 118).

4.2.1.2.6 Situational Action Theory

Eine bedeutende Erweiterung der soziologisch-ätiologischen Perspektive stellt schließlich Wikströms sozial-ökologische Situational Action Theory dar. Hier geht es indessen nicht (allein) darum, die sozialräumliche Umgebung kriminologisch zu modellieren. In dem ausdrücklich als Handlungstheorie formulierten Konzept steht vielmehr die Interaktion zwischen den kriminogenen Eigenschaften einer Person (»crime propensity«) und den kriminogenen Gegebenheiten der Umwelt, denen eine Person aktuell ausgesetzt ist, im Mittelpunkt (»exposure [to environmental] settings with criminogenic features«). Die Crime Propensity beruhe auf einer Kombination aus delinquenten Normorientierungen und mangelnder Selbstkontrolle. Aus dieser Person-Umwelt-Interaktion gehe ein zur delinquenten Handlung führender Perception-Choice-Process hervor, verstanden als die Wahrnehmung und Wahl von Handlungsalternativen. Dieser, den Kern des theoretischen Modells bildende Prozess (und nicht die jemanden aktuell umgebende Umwelt) wird als »Situation« bezeichnet (Wikström et al. 2012, 11 ff., 14 f.). Das Hauptanliegen dieser Theorie ist die genaue und in dieser Art kriminologisch einmalige Modellierung der direkten und indirekten kausalen Prozesse, die eine delinquente Handlung hervorrufen. Eine delinquente Handlung (Crime) wird als die Verletzung von gesetzlich codierten sozialen Verhaltensregeln definiert (»breach of moral rules of conduct stated in law«, Wikström et al. 2012, 12).

Auf den ersten Blick mögen in der Situational Action Theory zahlreiche Bezeichnungen an Positionen der (neueren) Kontrolltheorie (Gottfredson & Hirschi 1990) oder der Routine Activity-Theorie (Cohen & Felson 1979; Felson 1994), also an Ansätze erinnern, die Rational Choice-Überlegungen folgen.[72] Die Situational Action Theory orientiert sich indessen ausdrücklich nicht an Rational Choice-Ansätzen. Zum einen wird davon ausgegangen, dass bei der Handlungsmotivation das soziale Interesse wesentlich bedeutsamer sei als das Selbstinteresse (Wikström & Treiber 2017, 96 f.; siehe auch Wikström et al. 2012, 6, 21). Zum anderen wird die für neuere Kontrolltheorien typische Stabilitätsannahme eines Persönlichkeitstraits der »Criminal Propensity«, der auf einem durch unzureichende frühkindliche Erziehung sozial erworbenen Mangel an Selbstkontrolle beruhen soll (Gottfredson & Hirschi 1990, 85 ff.), nicht übernommen. In der Situational Action Theory hängt die Ausübung von Selbstkontrolle entscheidend vom situativen Kontext ab, ist hier also keine situationsunabhängige Persönlichkeitseigenschaft. Selbstkontrolle soll vielmehr nur dann relevant werden, wenn die in einer sozialen Situation vorherrschenden Normen nicht mit den persönlichen Normen übereinstimmen (Wikström & Treiber 2007; Wikström et al. 2012, 26 ff.).[73] Und in der entwicklungskriminologischen Weiterführung der Theorie (Developmental Ecological Theory of Crime Involvement) werden die grundlegende Veränderbarkeit und reziproke Beeinflussung aller Theorieelemente im Lebensverlauf postuliert. So wird selbst im Falle einer auf einer »strong crime propensity« beruhenden kriminellen Karriere davon ausgegangen, dass diese durch eine Verbesserung im Bereich beider Interaktionselemente (persönliche Eigenschaften sowie Umweltgegebenheiten) abgebrochen werden kann (Wikström 2005, 219 ff.; Wikström & Treiber 2019).

Schließlich ist das Konzept nicht auf die Ausbuchstabierung des der Handlung unmittelbar vorhergehenden Perception-Choice Process begrenzt. Es werden darüber hinaus als Hintergrundursachen auch die diesen Prozess hervorbringenden Bedingungen formuliert (»causes of the causes«, Wikström et al. 2012, 29 ff.): zum einen makro- und mesostrukturelle soziale Benachteiligungen (»social disadvantages«, Wikström & Treiber 2016), zum anderen neuro-psychologische Dispositionen (Treiber 2017, 93; siehe Wikström & Treiber 2007, 53 ff.). Delinquenz steigernde Effekte formeller Kontrollinterventionen wurden indessen bislang nicht berücksichtigt.

In Analysen der Peterborough Adolescent Development Study, einer im Jahre 2003 mit 707 zwölfjährigen Mädchen und Jungen begonnenen Paneluntersuchung, konnten die einzelnen, sorgfältig operationalisierten theoretischen Annahmen für das Jugendalter (Wikström et al. 2012) sowie frühe Erwachsenenalter (Wikström et al. 2019) weitgehend bestätigt werden. Damit liegt ein empirisch fundiertes Handlungsmodell vor, das die in spezifischen sozialen Situationen zu einem delinquenten Verhalten führenden Wahrnehmungs- und Entscheidungsprozesse erstmals so differenziert in den Blick nimmt.[74]

4.2.1.2.7 Strukturdynamisches Analysemodell

Für die Analysen der 2002 in Duisburg begonnenen Panelstudie Kriminalität in der modernen Stadt[75] wurde ein Strukturdynamisches Analysemodell zur Erklärung delinquenten Verhaltens entwickelt, das ebenfalls in einer Mehrebenenintegration[76] makro-, meso- und mikrostrukturelle Variablen miteinander in Beziehung setzt. In Erweiterung bisheriger Modelle werden zum einen im ätiologischen Modellteil auch soziale Milieus als makrostrukturelles Element berücksichtigt (Hradil 2001, 422 ff.; Geißler 2014, 93 ff.; zur kriminalsoziologischen Anwendung siehe auch Hermann 2003; Pöge 2007), die anhand von sozialen Wertorientierungen gebildet wurden. Zum anderen sind sozial-konstruktivistische Annahmen zur Wirkung formeller Kontrollinterventionen integriert worden (Boers & Reinecke 2019b).

In den empirischen Analysen trat für die Erklärung der vor allem gewaltsamen Delinquenz die Bedeutung delinquenter Normorientierungen sowie delinquenter Peers als Vermittler der Effekte meso-struktureller sozialer Beziehungen hervor,[77] die wiederum nicht unerheblich von den sozialen Milieus geprägt wurden (Boers et al 2010; Seddig 2014b). Die makro- oder mesostrukturellen Variablen übten indessen kaum einen direkten Einfluss auf die Delinquenz aus. Polizeiliche und justizielle Kontrollen entfalteten keine nennenswerten abschreckenden sowie auch kaum unmittelbar Delinquenz steigernden Wirkungen. Sie intensivierten jedoch auch hier die delinquenten Normorientierungen sowie die Zugehörigkeit zu delinquenten Freunden und förderten so indirekt eine Delinquenzzunahme (Schulte 2019). Dieser Befund steht im Einklang mit den neuerlich im Rahmen der Verlaufsforschung durchgeführten soziologisch-konstruktivistischen Studien.

4.2.2 Soziologisch-konstruktivistische Studien

Soziologisch-konstruktivistische Studien berücksichtigen, im Sinne des Labeling Approach, die kriminologisch, straftheoretisch und kriminalpolitisch sehr bedeutsamen negativen Auswirkungen formeller Kontrollinterventionen auf den weiteren Delinquenzverlauf. Die Befunde solcher Untersuchungen wurden ganz überwiegend ab den 2000er Jahren publiziert. Neben den Studien aus Rochester (Abschnitt 4.2.1.2.3) und Duisburg (Abschnitt 4.2.1.2.7) wurde mit der Bremer Längsschnittstudie zum Übergang von der Schule in den Beruf (Prein & Schumann 2003),[78] der Denver Youth Study (Huizinga et al. 2003),[79] der Edinburgh Study on Youth Transitions and Crime (McAra & McVie 2007),[80] dem Project on Human Development in Chicago Neighborhoods (PHDCN; Kirk & Sampson 2013)[81] sowie mit der Seven U. S. Cities Study (Wiley & Esbensen 2016)[82] Delinquenz steigernde Wirkungen formeller Kontrollinterventionen analysiert.

Solche Analysen erfordern ein experimentelles Design und sind damit konzeptionell recht voraussetzungsvoll. Da Zufallsexperimente im Bereich der Sanktionswirkungen unzulässig sind,[83] handelt es sich meist um quasi-experimentelle Analysen, die nur mit prospektiven Paneldaten durchgeführt werden können. Denn damit kann die zeitliche Sukzession von Intervention und delinquentem Verhalten berücksichtigt sowie der um das vorherige Dunkelfeldpotential und etwaige andere Ursachen kontrollierte Nettoeffekt von Kontrollinterventionen berechnet werden. Es müssen also insbesondere auch kontinuierlich erhobene Dunkelfeld- und Hellfelddaten vorliegen. Die Kontrolle des vorherigen Dunkelfeldpotentials sowie anderer Ursachen erfolgte zunächst anhand multivariater Regressionen und wird neuerdings mit Hilfe eines Propensity Score Matchings (PSM)[84] vorgenommen (unter anderem McAra & McVie 2007; Wiley et al. 2013; Liberman et al. 2014; Murray et al. 2014; Morris & Piquero 2013).

Aufgrund einer konstruktivistischen Verlaufsannahme ist zu erwarten, dass formelle Kontrollinterventionen Delinquenz verstärkende Wirkungen entfalten. Nach dem Labeling Approach entfalten sich die Delinquenz fördernden Wirkungen formeller Kontrollen zum einen persönlichkeitsintern durch die Herausbildung eines delinquenten Selbstkonzepts,[85] zum anderen persönlichkeitsextern als strukturelles Labeling infolge einer Minderung der sozialstrukturellen Chancen zu einer konformen Lebensbewältigung[86] (Becker 1963, 35). Es handelt sich mithin in beiden Fällen um jeweils vermittelte, also indirekte Effekte.

Vor allem seit den 2000er Jahren werden mit den Daten kriminologischer Verlaufsstudien auch die Wirkungen formeller Kontrollinterventionen unter Berücksichtigung der für quasi-experimentelle Untersuchungen erhöhten Anforderungen an die Methodik und Datenqualität vermehrt durchgeführt. Diese neueren Analysen haben eine empirisch fundierte Aktualisierung des Labeling Approach eingeleitet. Sie konzentrieren sich in Abgrenzung von simplifizierend-monokausalen Vorstellungen auf eine bisherige Labeling-Annahmen weiterführende Ausdifferenzierung der vermittelnden Prozesse (Krohn et al. 2014; Krohn & Lopes 2015, 320 ff.), unter anderem auch hinsichtlich der im Strafverfahren erfolgenden Kommunikationen (Paternoster & Iovanni 1989). McAra und McVie (2012) haben darüber hinaus versucht, den Zusammenhang zwischen formellen (vor allem Schule und Polizei) und informellen (vor allem Peers) Kontrollkontexten im Theorem der Negotiated Order genauer zu erfassen.

Empirisch wurde bislang überwiegend ein Delinquenz fördernder Einfluss formeller Kontrollinterventionen festgestellt. In der Regel sind die Effekte schwach bis moderat[87] und nur in gut der Hälfte der Untersuchungen statistisch signifikant ausgefallen, wurden damit aber deutlich häufiger als Abschreckungseffekte beobachtet.[88] Eine Delinquenzzunahme wurde vor allem bei formellen Interventionen in der Jugendphase (Farrington 1977; Lopes et al. 2012, 475 ff.;[89]Murray et al. 2014, 224 f.;[90]Wiley 2015, 423 ff., 427), aber auch in dem für einen Delinquenzabbruch bedeutsamen (frühen) Erwachsenenalter festgestellt (vor allem für Denver: Ehret 2007, 297 f.; weniger deutlich in London: Murray et al. 2014, 225 f.). Sie ist bei Gewaltdelikten (Liberman et al. 2014, 358 ff.) sowie bei (intensiveren) polizeilichen Kontrollen (Bernburg & Krohn 2003, 1302 ff.; Festnahme statt lediglich Anhalten: Wiley et al 2013, 945 ff.; Wiley & Esbensen 2016), jugendjustiziellen Maßnahmen (Bernburg & Krohn 2003, 1302 ff.; McAra & McVie 2007, 332 ff.; Prein & Schumann 2003, 203 ff.; Ehret 2007, 284 ff., 307[91]) sowie bei Verurteilungen, insbesondere zu freiheitsentziehenden statt ambulanten Sanktionen, stärker ausgeprägt (Farrington 1977, 114 ff.; Schumann et al. 2009, 318; für Erstinhaftierte: Nieuwbeerta et al. 2009, 249 ff.; weniger deutlich bei Inhaftierung: Murray et al. 2014, 226; im Überblick: Huizinga & Henry 2008, 226 ff.; Barrick 2014, 101 f.). Es gibt zudem einige Hinweise, dass sich Sanktionierungen je nach Tätergruppe unterschiedlich auswirken können – z. B. Delinquenz verstärkend eher bei Wiederholungstätern (Farrington 1977, 118; Huizinga & Henry 2008, 245, 248; McAra & McVie 2010, 193 f. und Morris & Piquero 2013, 854 ff. für Trajektorien »chronischer« Verurteilter oder Täter).

Zur angenommenen Änderung des Selbstkonzepts gibt es bislang nicht viele quantitative Analysen (so auch Barrick 2014, 104). Dies ist nicht verwunderlich, da solche Prozesse angemessener mit qualitativen Methoden untersucht werden können. Farrington (1977, 119 f.) fand unter seinen jugendlichen Londoner Probanden, dass eine Verurteilung deren negative Einstellungen zur Polizei (als Indiz für ein deviantes Selbstkonzept) förderte, die wiederum mit stärkerer Delinquenz einhergingen. Nur kleine diesbezügliche Effekte beobachteten Thomas und Bishop (1984, unter Verwendung einer Delinquent Self-Concept Scale), keine signifikanten Hinweise fanden sich in Bremen und Denver (Ehret 2007, 318). In quantitativen Untersuchungen könnte vor allem die einer formellen Kontrollintervention folgende (und von den Effekten her mit am stärksten ausgeprägte) Verfestigung der delinquenten Normorientierungen (sowie auch von Neutralisierungstechniken) als Indiz für die Herausbildung oder Verstärkung eines delinquenten Selbstkonzepts verstanden werden (so schon Ageton & Elliott 1974 und insbesondere in neueren Studien: Wiley et al. 2013, 949 ff.; Wiley 2015, 423 ff.; Schulte 2019; im Überblick: Huizinga & Henry 2008, 241).[92]

Die meisten Verlaufsstudien untersuchten bislang das strukturelle Labeling, da es mit quantitativen Daten besser zu analysieren ist. So beobachteten schon Sampson und Laub (1993, 165 ff.), dass die Inhaftierungslänge die »job stability« beeinträchtigte und darüber die weitere Delinquenz förderte.[93] In weiteren Untersuchungen wurden solche Delinquenz verstärkenden Effekte formeller Kontrolle über eine dadurch gesteigerte Arbeitslosigkeit, schulischen Misserfolg oder geschwächte schulische oder soziale Bindungen vermittelt (Bernburg & Krohn 2003, 1299 ff.; Lopes et al. 2012; Wiley et al. 2013, 949 ff.; Krohn et al. 2014, 198 ff.; Wiley 2015, 423 ff.; im Überblick: Huizinga & Henry 2008, 236 ff.).[94] Hier bildete – methodisch korrekt – die selbstberichtete Delinquenz die abhängige Variable.

Kontakte zu delinquenten Peers könnte man im Sinne eines Lebensstilansatzes als Ausdruck eines (internen) delinquenten Selbstkonzeptes auffassen. Da es sich jedoch um (wenn auch besondere externe) soziale Bindungen handelt, wird es zutreffender sein, diese ebenfalls als Element der strukturellen Vermittlung von Kontrolleffekten zu betrachten. Die Verfestigung der Bindungen zur delinquenten Freundesgruppe infolge polizeilicher oder justizieller Interventionen gehört nach den bisherigen Untersuchungen zu den stärksten vermittelten Labelingeffekten. Dieser Effekt war dem Peergroupalter entsprechend auf die Adoleszenz begrenzt (Bernburg et al. 2006; Wiley et al. 2013, 949; Wiley 2015, 423 ff.; Krohn et al. 2014, 197 ff.; Schulte 2019).[95] Wie bei ätiologischen Analysemodellen sind Normorientierungen und delinquente Peers auch bei den Kontrollinterventionen am ehesten in der Lage, deren Effekte auf die spätere Delinquenz zu vermitteln.

Diese Befunde weisen bereits darauf hin, dass formelle Kontrollen keine unmittelbaren oder monokausalen Effekte entfalten, sondern einen differentiellen Wirkprozess durchlaufen. Herkömmliche Labeling-Annahmen weiterführend haben Paternoster und Iovanni (1989) herausgearbeitet, dass es sich hierbei allerdings nicht nur um einen sozialstrukturellen Prozess handelt, sondern dass die Wirkungen einer formellen Etikettierung von weiteren kommunikativen Vermittlungsphasen abhängen können: Wurde das Verfahren als fair empfunden? Konnte die Entscheidung nachvollzogen werden? Haben Familienmitglieder oder Freunde auf das delinquente Verhalten des Beschuldigten ablehnend, moderierend oder verstärkend reagiert? Solche Vermittlungsprozesse könnten genaueren Aufschluss über die Folgen der vielfältigen Interaktionen zwischen den Beteiligten eines Strafverfahrens ergeben. Sie wurden noch nicht umfassend untersucht. Gezeigt hat sich aber immerhin, dass als unangemessen empfundene Kontrollinterventionen zu Abwehrreaktionen (Defiance) gegenüber Polizei und Justiz führen (Sherman 1993; 2010), dass – ein zentrales Ergebnis der Studien zur Procedural Justice – als unfair empfundene Verfahren die Akzeptanz gerichtlicher Entscheidungen verschlechtern (Tyler 1990; Tyler & Huo 2002), oder dass Restorative Justice-Verfahren in australischen Experimentalstudien mit geringerer Folgedelinquenz einhergingen (Sherman 2014, 163 ff.). Und allein mit Blick auf die stigmatisierenden Effekte von Verurteilungen wurde in Florida beobachtet, dass die Rückfallrate bei Bewährungsprobanden, die wegen schwerer(er) Straftaten[96] verurteilt worden waren, innerhalb von zwei Jahren deutlich niedriger lag, wenn die Verurteilung nicht öffentlich bekannt gegeben worden war (Chiricos et al. 2007, 564 ff.).[97] Solche Verfahrensgestaltungen entfalten möglicherweise nur über mehrere Vermittlungsstufen einen Delinquenz mindernden Einfluss. So deuten Analysen der Seven Cities Study darauf hin, dass Verfahrensgerechtigkeit[98] erst über eine Abschwächung violenter Normorientierungen diesen erwünschten Effekt auf die Delinquenz in noch moderatem Umfang aufwies (Slocum et al. 2016, 18 ff.).[99]

Es werden auch direkte Delinquenz steigernde Effekte formeller Kontrollentscheidungen berichtet.[100] Dies kann auf einer mangelnden Modellspezifizierung hinsichtlich vermittelnder Prozesse oder auch darauf beruhen, dass die abhängige wie die intervenierende Variable nur aus Hellfelddaten gebildet werden konnte. Direkte Effekte sind eigentlich nur dann plausibel interpretierbar, wenn sie sich als Eigendynamik oder Selbstreferenz auf weitere Sanktionierungen (und nicht auf die weitere selbstberichtete Delinquenz) beziehen. Im Rahmen einer konstruktivistischen Perspektive könnten sie am plausibelsten systemtheoretisch erklärt werden (Boers 2012, 274 ff.). Indem sich formelle Kontrollsysteme wiederholt auf ihre im institutionalisierten Ermittlungs- und Sanktionierungsgedächtnis archivierten vorherigen Entscheidungen beziehen, erhöht sich das Entdeckungs- und Sanktionierungsrisiko unabhängig von anderen persönlichen oder sozialen Faktoren (siehe Hermann & Kerner 1988). Liberman und Kollegen (2014) sprechen angesichts solcher in den Chicagoer Verlaufsdaten (PHDCN) beobachteten Phänomene – in Anlehnung an Lemerts (1967) Secondary Deviance – von einem Prozess des »Secondary Sanctioning«. Analysen des Sanktionierungsverlaufs ergaben zudem, dass die Entwicklung der Sanktionshärte einen deutlichen Trend zur Sanktionseskalation aufweist. Diese verläuft zwar nicht kontinuierlich und beruht zu Beginn eher auf der Schwere und Anzahl der aktuellen Delikte, scheint letztlich aber von einer durch die Vorstrafenbelastung bedingten und von der Deliktschwere unabhängigen »Eigendynamik im Sanktionshärteverlauf« geprägt zu sein (Höfer 2003, 131 ff., 137 f.).

5 Zusammenfassung und Ausblick

Die kriminologische Verlaufsforschung hat sich seit ihren Anfängen in den 1930er Jahren zum grundlegenden empirischen Forschungsbereich der Kriminologie entwickelt. Mit der Berücksichtigung des Altersverlaufs als Zeitdimension können Panelstudien die individuelle Delinquenzentwicklung, die in Kriminalitätstheorien angenommenen zeitlichen Abfolgen von Ursachen und Wirkungen sowie die Effekte von Präventionsmaßnahmen und formellen Kontrollinterventionen – im Unterschied zu Querschnittstudien – methodisch zutreffend untersuchen. Es handelt sich um Grundlagenforschung, die vor allem in den beiden letzten Jahrzehnten methodisch und konzeptionell große Fortschritte gemacht hat und deren Befunde von erheblicher prognostischer, praktischer und politischer Relevanz sind. Die anfänglichen retrospektiven Kontrastgruppendesigns mit sozial auffälligen und vor allem inhaftierten Probanden als Untersuchungsgruppe sind prospektiven Studien mit überwiegend repräsentativen, allenfalls hinsichtlich der sozialen und kriminologischen Belastung stratifizierten Stichproben gewichen, die sowohl das Dunkelfeld (Täterbefragungen) als auch das Hellfeld der Delinquenz erheben. Die bedeutendsten Befunde beruhen auf US-amerikanischen und britischen, inzwischen auch auf niederländischen und deutschen Untersuchungen.

Anhand von auf Mischverteilungsmodellen beruhenden Trajektorienanalysen, an deren Entwicklung kriminologische Studien einen gewissen Anteil haben, können inzwischen die heterogenen Verläufe unterschiedlich auffälliger Tätergruppen genauer identifiziert und beschrieben werden. Zwei wesentliche Ergebnisse dieser Analysen sind zum einen, dass die kleine Gruppe der Intensivtäter (fünf bis sieben Prozent einer Alterskohorte; sie begehen mehr als drei Viertel der Gewaltdelikte) vor allem während des Jugendalters sowie (vornehmlich in den Vereinigten Staaten) auch im Heranwachsenden- oder frühen Erwachsenenalter zwar eine erhebliche Persistenz aufweisen, danach aber mit deutlich geringer werdenden Tathäufigkeiten zum Abbruch des delinquenten Verhaltens gelangen. Diese Befunde haben zu intensiven Untersuchungen der individuellen und sozialen Bedingungen des Delinquenzabbruchs geführt.

Zum anderen wird man die seit Langem bestehende Annahme, dass ein (sehr) früher Beginn delinquenten Verhaltens einer der besten Prognosefaktoren für eine spätere Intensivdelinquenz sei, relativieren müssen. Denn früh delinquent sind nicht nur die später persistenten Intensivtäter, sondern im zumindest gleichen Umfang eine weitere Gruppe von Intensivtätern, die jedoch alsbald ihr delinquentes Verhalten aufgibt.

Die frühe und mittlere Kindesphase konnte kriminologisch bislang freilich nur wenig untersucht werden, sodass zu den Auswirkungen sowie insbesondere zur Regulierung früher, zumal aggressiver Auffälligkeiten weitere Studien wünschenswert sind. Vielversprechend könnten in diesem Zusammenhang vor allem die auf Selbstberichten beruhenden, ebenfalls noch sehr seltenen transgenerativen (also die Kinder des Ausgangspanels einbeziehenden) Untersuchungen sein.[101] Denn damit kann die frühe Entwicklung unter Berücksichtigung des Einflusses der zuvor umfangreich erhobenen elterlichen Dispositionen erforscht werden.

Konzeptionell kann man in der kriminologischen Verlaufsforschung anhand der bisherigen Entwicklung drei Perspektiven unterscheiden: vornehmlich an persönlichen und mikrosozialen Merkmalen orientierte multifaktorielle, soziologisch-ätiologische sowie soziologisch-konstruktivistische Untersuchungen.

Kriminologische Verlaufsanalysen waren zu Beginn und sind in erheblichen Teilen auch heute an einem multifaktoriellen, also (häufig bewusst) nicht theoriegeleiteten Forschungsansatz orientiert. Darin werden in der Regel neben meso- und mikro-sozialen Faktoren vor allem erlernte oder anlagebedingte Persönlichkeitsmerkmale als bedeutend erachtet. Gleichwohl haben sich soziale Risiko- oder Schutzfaktoren empirisch als zumindest nicht minder aussagekräftig erwiesen. Eine gewisse Theoriefreiheit kann insbesondere für eine induktiv-explorative Erstorientierung in einem neu zu erforschenden Feld oder bei einfach zu erklärenden Zusammenhängen von Vorteil sein. Theoriefreiheit hilft jedoch für die Analyse komplexerer Entstehungszusammenhänge nicht weiter, wenn es also – wie in sozialen und natürlich auch anderen Kontexten üblich – um die Berücksichtigung mehrerer Erklärungsebenen geht, von denen einige nicht direkt, sondern allenfalls indirekt, also vermittelt über oder moderiert durch die Variablen anderer Ebenen Bedeutung erlangen. Solche Konstellationen erfordern eine theoretische Modellierung.

Die Entwicklung von Kriminalitätstheorien ist bis heute eine Domäne der soziologisch oder sozialpsychologisch orientierten Kriminologie. Und so waren es auch die ab den 1970er Jahren durchgeführten soziologisch-ätiologischen Verlaufsstudien, die erstmals ausdrücklich einem theoretischen Konzept folgten. Die klassischen ätiologischen Kriminalitätstheorien thematisierten im Wesentlichen jedoch jeweils nur eine der für die Analyse von Delinquenzverläufen bedeutsamen latenten Erklärungsebenen: Anomie auf der Makro-, soziale Bindungen auf der Meso- und das Erlernen von delinquenten Normorientierungen im Kontext delinquenter Gruppen auf der Meso- und Mikroebene. Um Delinquenzentwicklungen indessen umfassender analysieren zu können, wurden in der kriminalsoziologischen Verlaufsforschung Erklärungsmodelle entworfen, die zum einen diese einzelnen Erklärungsebenen mehr oder weniger integrierten und zum anderen mit den Veränderungen im Altersverlauf nun auch die Entwicklungsdynamik der Delinquenz in den Mittelpunkt stellten. Erst in neuerer Zeit ist es anhand von bestimmten multivariaten statistischen Verfahren (Strukturgleichungsmodellen) möglich, solche umfassenden Erklärungsmodelle in nur einem Analyseschritt zu überprüfen. Die empirischen Befunde bestätigten bislang insbesondere den über die proximalen Variablen der Mikroebene (Normorientierungen, Delinquent Peers) vermittelten Einfluss distaler Hintergrundvariablen der Meso- und Makroebene (soziale Bindungen bzw. soziale Ungleichheits- oder soziale Milieustruktur). Darin werden indessen die in bestimmten situativen Kontexten zu einer delinquenten oder konformen Handlung führenden Entscheidungsprozesse noch nicht nachvollzogen. Dies wurde in den letzten Jahren am differenziertesten im Rahmen der Situational Action Theory ausbuchstabiert und konnte sich bislang empirisch bewähren.

Schließlich sind seit Beginn der 2000er Jahre zunehmend von Labeling-Annahmen ausgehende soziologisch-konstruktivistische Analysen durchgeführt worden. Wegen der Berücksichtigung der Zeitdimension (Alter) sind Panelstudien, die sowohl das Dunkel- als auch das Hellfeld der Delinquenz berücksichtigen, hierzu methodisch prädestiniert. Die Längsschnitteffekte polizeilicher oder justizieller Kontrollinterventionen waren bislang allenfalls moderat ausgeprägt, wirkten jedoch deutlich häufiger Delinquenz verstärkend als abschreckend und unterstützen somit eher die Labelingthese. Auch hier wurden diese Effekte durch ätiologische Merkmale vermittelt. Dabei war in den quantitativen Verlaufsbefunden – möglicherweise wegen der leichteren Operationalisierbarkeit – das strukturelle Labeling (Effektvermittlung über schulischen Misserfolg, verringerte Berufschancen, stärkere Bindung an delinquente Freunde) etwas einflussreicher als die Verstärkung des delinquenten Selbstkonzepts, das meist anhand von Normorientierungen erhoben wurde.

Die Unterschiede zwischen diesen drei Perspektiven sollten nicht im Sinne eines Entweder-Oder verstanden werden. Die (teils weltanschaulich geprägten) Abgrenzungsbemühungen zwischen verschiedenen Forschungsansätzen spielen in der heutigen Kriminologie insgesamt keine so große Rolle mehr wie in früheren Zeiten. Für einen Alleinvertretungsanspruch ist der Gegenstand ohnehin zu komplex und sind auch die jeweiligen Befunde in sich noch nicht überzeugend genug. Hinzu kommt, dass alle Perspektiven unter dem Dach der Lebensverlaufsforschung in der zentralen Frage der Verlaufsdynamik einen gemeinsamen Bezugspunkt haben und dass eher persönlichkeitsorientierte Kriminologen inzwischen auch kriminalsoziologische Annahmen berücksichtigen (z. B. anhand der Labelingtheorie: Murray et al. 2014) wie umgekehrt soziologische Kriminologen auch personale und anlagebedingte Merkmale in ihre Analysen einbeziehen (z. B. hinsichtlich der späten Starter: Krohn et al. 2013, 191, 195; oder der Selbstkontrolle: Wikström & Treiber 2007, 53 ff.).

Literatur

Ageton, S.S. & Elliott, D.S. (1974). The effects of legal processing on delinquent orientations. Social Problems 22, 87–100.10.2307/799569Suche in Google Scholar

Akers, R.L. (1998). Social learning and social structure. Boston: Northeastern University Press.Suche in Google Scholar

Akers, R.L. & Jensen, G.F. (eds.) (2003). Social learning theory and the explanation of crime. New Brunswick, NJ: Transaction.Suche in Google Scholar

Akers, R.L., Sellers, C.S. & Jennings, W.S. (2017). Criminological theories (7th ed.). New York, Oxford: Oxford University Press.Suche in Google Scholar

Bandura, A. (1973). Aggression. A social learning analysis. Englewood Cliffs: Prentice Hall.10.2307/1227918Suche in Google Scholar

Barrick, K. (2014). A review of prior tests of labeling theory. In D.P. Farrington & J. Murray (eds.), Labeling Theory (89–112). New Brunswick, NJ, London: Transaction Publishers.10.4324/9780203787656-5Suche in Google Scholar

Bartz, S. (2008). Die besondere polizeiliche Erfassung von „Intensivtätern“. Berlin: Mensch und Buch.Suche in Google Scholar

Becker, H.S. (1963). Outsiders. New York: Free Press.Suche in Google Scholar

Bentrup, C. (2014). Lernprozesse und Jugenddelinquenz. Münster: Waxmann.Suche in Google Scholar

Bentrup, C. (2019a). Untersuchungsdesign und Stichproben der Duisburger Kriminalitätsbefragung. In K. Boers & J. Reinecke (Hrsg.), Delinquenz im Altersverlauf. Münster: Waxmann (im Druck).Suche in Google Scholar

Bentrup, C. (2019b). The meaning of delinquent peers – socialisation versus selection hypothesis (eingereicht).Suche in Google Scholar

Bernard, T.J. & Snipes, J.B. (1996). Theoretical integration in criminology. Crime and Justice 20, 301–348.10.1086/449245Suche in Google Scholar

Bernard, T.J., Snipes, J.B. & Gerould, A.L. (2016). Vold’s theoretical criminology (7th ed.). Oxford: Oxford University Press.Suche in Google Scholar

Bernburg, J.G. & Krohn, M.D. (2003). Labeling, life chances and adult crime. Criminology 41, 1287–1318.10.1111/j.1745-9125.2003.tb01020.xSuche in Google Scholar

Bernburg, J.G., Krohn, M.D. & Rivera, C.J. (2006). Official labeling, criminal embeddedness, and subsequent delinquency. Journal of Research in Crime and Delinquency 43, 67–88.10.1177/0022427805280068Suche in Google Scholar

Bliesener, T. (2011). Persistent juvenile offenders. In T. Bliesener, A. Beelmann & M. Stemmler (eds.), Antisocial behavior and crime. Contributions of developmental and evaluation research to prevention and intervention (53–68). Cambridge, MA: Hogrefe Publishing.Suche in Google Scholar

Bliesener, T., Kindlein, A., Riesner, L., Schulz, J.F. & Thomas, J. (2010). Eine Prozess- und Wirkungsevaluation polizeilicher Konzepte zum Umgang mit jungen Mehrfach-/Intensivtätern in NRW.Abschlussbericht des Forschungsprojekts. Kiel: Institut für Psychologie der Universität Kiel.Suche in Google Scholar

Blokland, A. A.J. & van der Geest, V. (eds.) (2017). The Routledge International Handbook of Life-Course Criminology. Abingdon, Oxon: Routledge.10.4324/9781315747996Suche in Google Scholar

Blokland, A. A.J., Nagin, D. & Nieuwbeerta, P. (2005). Life span offending trajectories of a Dutch conviction cohort. Criminology 43, 919–954.10.1111/j.1745-9125.2005.00029.xSuche in Google Scholar

Blumstein, A. & Cohen, J. (1979). Estimation of individual crime rates from arrest records. Journal of Criminal Law and Criminology 70, 561–585.10.2307/1142642Suche in Google Scholar

Blumstein, A., Cohen, J., Roth, J.A. & Visher, C.A. (1986). Criminal careers and “career criminals” (Vol. 1). Washington, DC: National Academy Press.Suche in Google Scholar

Blumstein, A., Cohen, J. & Farrington, D.P. (1988a). Criminal career research. Its value for criminology. Criminology 26, 1–35.10.1111/j.1745-9125.1988.tb00829.xSuche in Google Scholar

Blumstein, A., Cohen, J. & Farrington, D.P. (1988b). Longitudinal and criminal career research. Further clarifications. Criminology 26, 57–74.10.1111/j.1745-9125.1988.tb00831.xSuche in Google Scholar

Boers, K. (2007). Hauptlinien der kriminologischen Längsschnittforschung. In K. Boers & J. Reinecke (Hrsg.), Delinquenz im Jugendalter. Erkenntnisse einer Münsteraner Längsschnittstudie (5–40). Münster: Waxmann.Suche in Google Scholar

Boers, K. (2009). Die kriminologische Verlaufsforschung. In H.J. Schneider (Hrsg.), Internationales Handbuch der Kriminologie (Bd. 2, 577–616). New York, Berlin: De Gruyter.Suche in Google Scholar

Boers, K. (2012). Kriminologische Forschung und Systemtheorie. In K. Boers (Hrsg.), Kriminologische Perspektiven (251–285). Münster: Waxmann.Suche in Google Scholar

Boers, K. (2013a). Kriminologische Verlaufsforschung. In D. Dölling & J.-M. Jehle (Hrsg.), Täter Taten Opfer. Grundlagenfragen und aktuelle Probleme der Kriminalität und ihrer Kontrolle (6–35). Mönchengladbach: Forum Verlag Godesberg.Suche in Google Scholar

Boers, K. (2013b). Soziale Disposition, Verurteilung und Inhaftierung in der Tübinger Jungtäter-Vergleichsuntersuchung. In K. Boers, T. Feltes, J. Kinzig, L.W. Sherman, F. Streng & G. Trüg (Hrsg.), Kriminologie – Kriminalpolitik – Strafrecht.Festschrift für Hans-Jürgen Kerner (33–48). Tübingen: Mohr Siebeck.Suche in Google Scholar

Boers, K. & Herlth, A.M. (2016). Delinquenzabbruch. Hauptaspekte des gegenwärtigen Forschungsstandes. Monatsschrift für Kriminologie und Strafrechtsreform 99, 101–122.10.1515/mks-2016-990202Suche in Google Scholar

Boers, K. & Krawinkel, K. (2016). Intensivtäterschaft und Delinquenzabbruch. Münster: Waxmann.10.1515/mks-2016-990202Suche in Google Scholar

Boers, K. & Reinecke, J. (Hrsg.) (2019a). Delinquenz im Altersverlauf. Münster: Waxmann (im Druck).10.1515/mks-2019-0004Suche in Google Scholar

Boers, K. & Reinecke, J. (2019b). Strukturdynamisches Analysemodell. In K. Boers & J. Reinecke (Hrsg.), Delinquenz im Altersverlauf. Münster: Waxmann (im Druck).10.1515/mks-2019-0004Suche in Google Scholar

Boers, K., Lösel, F. & Remschmidt, H. (Hrsg.) (2009). Entwicklungskriminologie und kriminologische Lebenslaufforschung. Monatsschrift für Kriminologie und Strafrechtsreform 92. Schwerpunktheft.10.1515/mks-2009-922-302Suche in Google Scholar

Boers, K., Reinecke, J., Seddig, D. & Mariotti, L. (2010). Explaining the development of adolescent violent delinquency. European Journal of Criminology 7, 499-520.10.1177/1477370810376572Suche in Google Scholar

Boers, K., Reinecke, J., Bentrup, C., Daniel, A., Kanz, K.-M., Schulte, P., Seddig, D., Theimann, M., Verneuer, L. & Walburg, C. (2014). Vom Jugend- zum frühen Erwachsenenalter: Delinquenzverläufe und Erklärungszusammenhänge in der Verlaufsstudie „Kriminalität in der modernen Stadt“. Monatsschrift für Kriminologie und Strafrechtsreform 97, 183–202.10.1515/mks-2014-970302Suche in Google Scholar

Boers, K., Seddig, D. & Reinecke, J. (2019). Early onset as best predictor of persistent offending? (im Erscheinen).Suche in Google Scholar

Böttger, A., Ehret, B., Othold, F., Prein, G., Schumann, K.F. & Seus, L. (2003). Methoden der Untersuchung. In K.F. Schumann (Hrsg.), Delinquenz im Lebensverlauf (Bd. 2, 35–66). Weinheim, München: Juventa.Suche in Google Scholar

Bottoms, A. & Shapland, J. (2011). Steps towards desistance among male young adult recidivists. In S. Farrall, M. Hough, S. Maruna & R. Sparks (eds.), Escape routes (43–80). Abingdon, Oxon: Routledge.Suche in Google Scholar

Bottoms, A. & Shapland, J. (2016). Learning to desist in early adulthood. In J. Shapland, S. Farrall & A. Bottoms (eds.), Global perspectives on desistance (99–125). London, New York: Routledge.10.4324/9781315724423Suche in Google Scholar

Bottoms, A., Shapland, J., Costello, A., Holmes, D. & Muir, G. (2004). Towards desistance: Theoretical underpinnings for an empirical study. The Howard Journal of Criminal Justice 43, 368–389.10.1111/j.1468-2311.2004.00336.xSuche in Google Scholar

Brame, B., Nagin, D.S. & Tremblay, R.E. (2001). Developmental trajectories of physical aggression from school entry to late adolescence. Journal of Child Psychology and Psychiatry 42, 503–512.10.1111/1469-7610.00744Suche in Google Scholar

Broidy, L.M., Nagin, D.S., Tremblay, R.E., Bates, J.E., Brame, B., Dodge, K.A., Fergusson, D.M., Horwood, J.L., Loeber, R., Laird, R., Lynam, D.R., Moffitt, T.E., Pettit, G.S. & Vitaro, F. (2003). Developmental trajectories of childhood disruptive behaviors and adolescent delinquency: A six-site, cross-national study. Developmental Psychology 39, 222–245.10.1037/0012-1649.39.2.222Suche in Google Scholar

Brown, S.E., Esbensen, F.-A. & Geis, G. (2015). Criminology: Explaining crime and its context (9th ed.). New York, London: Routledge.10.4324/9780323357395Suche in Google Scholar

Bundeskriminalamt (Hrsg.) (2018a). Polizeiliche Kriminalstatistik, Jahrbuch 2017 (Bd. 1). Wiesbaden: Bundeskriminalamt.Suche in Google Scholar

Bundeskriminalamt (Hrsg.) (2018b). Polizeiliche Kriminalstatistik, Jahrbuch 2017 (Bd. 3). Wiesbaden: Bundeskriminalamt.Suche in Google Scholar

Bunge, M. (1987 [1959]). Kausalität, Geschichte und Probleme. Tübingen: J.C.B. Mohr.Suche in Google Scholar

Bushway, S.D., Piquero, A.R., Broidy, L.M., Cauffman, E. & Mazerolle, P. (2001). An empirical framework for studying desistance as a process. Criminology 39, 491–516.10.1111/j.1745-9125.2001.tb00931.xSuche in Google Scholar

Caspi, A., McClay, J., Moffitt, T.E., Mill, J., Martin, J., Craig, I.W., Taylor, A. & Poulton, R. (2002). Role of genotype in the cycle of violence in maltreated children. Science 297, 851–854.10.1126/science.1072290Suche in Google Scholar

Catalano, R.F. & Hawkins, J.D. (1996). The social development model: A theory of antisocial behavior. In J.D. Hawkins (eds.), Delinquency and crime (149–197). Cambridge: Cambridge University Press.Suche in Google Scholar

Catalano, R.F., Park, J., Harachi, T.W., Haggerty, K. P., Abbott, R.D. & Hawkins, J.D. (2005). Mediating the effects of poverty, gender, individual characteristics, and external constraints on antisocial behavior. In D.P. Farrington (eds.), Integrated developmental and life-course theories of offending (93–123). London, New York: Transaction Publishers.10.4324/9780203788431-5Suche in Google Scholar

Chiricos, T., Barrick, K., Bales, W. & Bontrager, S. (2007). The labeling of convicted felons and its consequences for recidivism. Criminology 45, 547–581.10.1111/j.1745-9125.2007.00089.xSuche in Google Scholar

Cohen, J. (1986). Research on criminal careers: Individual frequency rates and offense seriousness. In A. Blumstein, J. Cohen, J.A. Roth & C.A. Visher (eds.), Criminal careers and “career criminals” (Vol. 1, 292–418). Washington, DC: National Academy Press.Suche in Google Scholar

Cohen, L.E. & Felson, M. (1979). Social change and crime rate trends. A routine activity approach. American Sociological Review 44, 588–608.10.2307/2094589Suche in Google Scholar

Côté, S.M., Boivin, M., Nagin, D.S., Japel, C., Xu, Q., Zoccolillo, M., Junger, M. & Tremblay, R.E. (2007). The role of maternal education and nonmaternal care services in the prevention of children’s physical aggression problems. Archives of General Psychiatry 64, 1305–1312.10.1001/archpsyc.64.11.1305Suche in Google Scholar

Cullen, F.T. & Jonson, C.L. (2014). Labeling theory and correctional rehabilitation. In D.P. Farrington & J. Murray (eds.), Labeling Theory (63–88). New Brunswick, NJ, London: Transaction Publishers.10.4324/9780203787656-4Suche in Google Scholar

Dahle, K.-P. (2005). Psychologische Kriminalprognose. Herbolzheim: Centarus.Suche in Google Scholar

Deane, G., Armstrong, D.P. & Felson, R.B. (2005). An examination of offense specialization using marginal logit models. Criminology 43, 955–988.10.1111/j.1745-9125.2005.00030.xSuche in Google Scholar

Diewald, M. (2013). Lebensverlauf. In S. Mau & N.M. Schöneck (Hrsg.), Handwörterbuch zur Gesellschaft Deutschlands (3. Aufl., 552-564). Wiesbaden: VS Verlag für Sozialwissenschaften.10.1007/978-3-531-18929-1_37Suche in Google Scholar

Dölling, D., Entorf, H., Hermann, D. & Rupp, T. (2009). Is deterrence effective? Results of a meta-analysis of punishment. European Journal on Criminal Policy and Research 15, 201–224.10.1007/s10610-008-9097-0Suche in Google Scholar

Durkheim, E. (1895 [1984]). Die Regeln der soziologischen Methode. Frankfurt a. M.: Suhrkamp. Suche in Google Scholar

Ehret, B. (2007). Strafen oder Erziehen? Münster: LIT-Verlag.Suche in Google Scholar

Eichelsheim, V.I. & van de Weijer, S.G.A. (eds.) (2018). Intergenerational continuity of criminal and antisocial behaviour. An international overview of studies. London, New York: Routledge.10.4324/9781315102788Suche in Google Scholar

Eisenberg, U. & Kölbel, R. (2017). Kriminologie (7. Aufl.). Tübingen: Mohr Siebeck.Suche in Google Scholar

Elder, G.H. & Shanahan, M.J. (2006). The life course and human development. In R.M. Lerner (ed.), Handbook of Child Psychology. Vol. 1: Theoretical models of human development (665–715). Hoboken, NJ: Wiley.10.1002/9780470147658.chpsy0112Suche in Google Scholar

Elliott, D.S. (1994). Serious violent offenders: Onset, developmental course, and termination. Criminology 32, 1-21.10.1111/j.1745-9125.1994.tb01144.xSuche in Google Scholar

Elliott, D.S. (2013). Crime prevention and intervention over the life course. In C.L. Gibson & M.D. Krohn (eds.), Handbook of Life-Course Criminology (297–315). New York: Springer.10.1007/978-1-4614-5113-6_17Suche in Google Scholar

Elliott, D.S., Huizinga, D. & Ageton, S.S. (1985). Explaining delinquency and drug use. Beverly Hills: Sage.Suche in Google Scholar

Elliott, D.S., Huizinga, D. & Menard, S. (1989). Multiple problem youth. Delinquency, substance use, and mental health problems. New York: Springer.10.1007/978-1-4613-9637-6Suche in Google Scholar

Enzmann, D., Kivivuori, J., Haen Marshall, I., Steketee, M., Hough, M. & Killias, M. (2018). A global perspective on young people as offenders and victims: First results from the ISRD3 study. Cham: Springer.10.1007/978-3-319-63233-9Suche in Google Scholar

Farrall, S. (2016). Understanding desistance in an assisted context. In J. Shapland, S. Farrall & A. Bottoms (eds.), Global perspectives on desistance (187–203). London, New York: Routledge.10.4324/9781315724423Suche in Google Scholar

Farrall, S., Hunter, B., Sharpe, G. & Calverley, A. (2014). Criminal careers in transition. Oxford: Oxford University Press.10.1093/acprof:oso/9780199682157.001.0001Suche in Google Scholar

Farrington, D.P. (1977). The effects of public labelling. The British Journal of Criminology 17, 112–125.10.1093/oxfordjournals.bjc.a046802Suche in Google Scholar

Farrington, D.P. (1989). Self-reported and official offending from adolescence to adulthood. In M.W. Klein (ed.), Cross-national research in self-reported crime and delinquency (399–423). Dordrecht: Kluwer Academic.10.1007/978-94-009-1001-0_18Suche in Google Scholar

Farrington, D.P. (2002). Developmental criminology and risk-focused prevention. In M. Maguire, R. Morgan & R. Reiner (eds.), The Oxford Handbook of Criminology (3rd ed., 657–701).Oxford: Oxford University Press.Suche in Google Scholar

Farrington, D.P. (2003). Key results from the first forty years of the Cambridge study in delinquent development. In T.P. Thornberry & M.D. Krohn (eds.), Taking stock of delinquency (137–183). New York: Kluwer Academic.10.1007/0-306-47945-1_5Suche in Google Scholar

Farrington, D.P. (2005). The integrated cognitive antisocial potential (ICAP) theory. In D.P. Farrington (ed.), Integrated Developmental and Life‐Course Theories of Offending (73–92). New Brunswick, NJ: Transaction.10.4324/9780203788431-4Suche in Google Scholar

Farrington, D.P. (2010). Life-course and developmental theories in criminology. In E. McLaughlin & T. Newburn (eds.), The Sage Handbook of Criminological Theory (249–270). Los Angeles, London, New Delhi, Singapore. Washington, DC: Sage.Suche in Google Scholar

Farrington, D.P., Snyder, H.N. & Finnegan, T.A. (1988). Specialization in juvenile court careers. Criminology 26, 461–487.10.1111/j.1745-9125.1988.tb00851.xSuche in Google Scholar

Farrington, D.P., Loeber, R., Elliott, D.S., Hawkins, J.D., Kandel, D.B., Klein, M.W., McCord, J., Rowe, D.C. & Tremblay, R.E. (1990). Advancing knowledge about the onset of delinquency and crime. In B.B. Lahey & A.E. Kazdin (eds.), Advances in clinical child psychology (Vol. 13, 283–342). New York, London: Plenum Press.10.1007/978-1-4613-9835-6_8Suche in Google Scholar

Farrington, D.P., Loeber, R., Jolliffe, D. & Pardini, D.A. (2008). Promotive and risk processes at different life stages. In R. Loeber, D.P. Farrington, M. Stouthamer-Loeber & H. Raskin White (eds.), Violence and serious theft (169–229). New York, London: Routledge. 10.4324/9780203933237Suche in Google Scholar

Farrington, D.P., Loeber, R. & Ttofi, M.M. (2012). Risk and protective factors for offending. In B.C. Welsh & D.P. Farrington (eds.), The Oxford Handbook of Crime Prevention (46–69). Oxford, New York: Oxford University Press.10.1093/oxfordhb/9780195398823.001.0001Suche in Google Scholar

Farrington, D.P., Piquero, A.R. & Jennings, W.G. (2013). Offending from childhood to late middle age. New York: Springer.10.1007/978-1-4614-6105-0Suche in Google Scholar

Farrington, D.P., Kazemian, L. & Piquero, A. (eds.) (2019). The Oxford Handbook of Developmental and Life-Course Criminology. Oxford: Oxford University Press.10.1093/oxfordhb/9780190201371.001.0001Suche in Google Scholar

Felson, M. (1994). Crime and everyday life. Insights and implications for society. Thousand Oaks, CA: Pine Forge Press.Suche in Google Scholar

Fend, H. (2003). Entwicklungspsychologie des Jugendalters. Ein Lehrbuch für pädagogische und psychologische Berufe (3. Aufl.). Wiesbaden: VS Verlag für Sozialwissenschaften.10.1007/978-3-322-80943-8Suche in Google Scholar

Geißler, R. (2014). Die Sozialstruktur Deutschlands (7. Aufl.). Wiesbaden: Springer VS.10.1007/978-3-531-19151-5Suche in Google Scholar

Giordano, P.C. (2016). Mechanisms underlying the desistance process. In J. Shapland, S. Farrall & A. Bottoms (eds.), Global perspectives on desistance (11–27). London, New York: Routledge.Suche in Google Scholar

Giordano, P.C., Schroeder, R.D. & Cernkovich, S.A. (2007). Emotions and crime over the life course: A neo‐Meadian perspective on criminal continuity and change. American Journal of Sociology 112, 1603–1661.10.1086/512710Suche in Google Scholar

Glueck, S. & Glueck, E. (1950). Unraveling juvenile delinquency. New York: Commonwealth Fund.Suche in Google Scholar

Göppinger, H. (1983). Der Täter in seinen sozialen Bezügen. Berlin, Heidelberg: Springer.10.1007/978-3-642-69168-3Suche in Google Scholar

Gottfredson, S.D. & Gottfredson, D.M. (1986). Accuracy of prediction models. In A. Blumstein, J. Cohen, J.A. Roth & C.A. Visher (eds.), Criminal careers and “career criminals” (Vol. 2, 212–290). Washington, DC: Academy Press.Suche in Google Scholar

Gottfredson, M.R. & Hirschi, T. (1986). The true value of lambda would appear to be zero. An essay on career criminals, criminal careers, selective incapacitation, cohort studies, and related topics. Criminology 24, 213–234.10.1111/j.1745-9125.1986.tb01494.xSuche in Google Scholar

Gottfredson, M.R. & Hirschi, T. (1988). Science, public policy, and the career paradigm. Criminology 26, 37–55.10.1111/j.1745-9125.1988.tb00830.xSuche in Google Scholar

Gottfredson, M.R. & Hirschi, T. (1990). A general theory of crime. Stanford: Stanford University Press.10.1515/9781503621794Suche in Google Scholar

Harrendorf, S. (2007). Rückfälligkeit und kriminelle Karrieren von Gewalttätern. Göttingen: Universitätsverlag Göttingen.10.17875/gup2007-166Suche in Google Scholar

Heinz, W. (2017). Kriminalität und Kriminalitätskontrolle in Deutschland. Berichtsstand 2015 im Überblick. Version 1/2017. Konstanz: Konstanzer Inventar Sanktionsforschung.Suche in Google Scholar

Hermann, D. (2003). Werte und Kriminalität. Wiesbaden: Westdeutscher Verlag.10.1007/978-3-663-11837-4Suche in Google Scholar

Hermann, D. & Kerner, H.-J. (1988). Die Eigendynamik der Rückfallkriminalität. Kölner Zeitschrift für Soziologie und Sozialpsychologie 40, 485–504.Suche in Google Scholar

Hirschi, T. (1969). Causes of delinquency. Berkeley, Los Angeles, London: University of California Press.Suche in Google Scholar

Hirschi, T. (1989). Exploring alternatives to integrated theory. In S.F. Messner, M.D. Krohn & A.E. Liska (eds.), Theoretical integration in the study of deviance and crime (37–50). Albany: State University of New York Press.Suche in Google Scholar

Hirtenlehner, H. & Reinecke, J. (Hrsg.) (2015). Situational Action Theory. Forschungsergebnisse aus den deutschsprachigen und angrenzenden Ländern. Monatsschrift für Kriminologie und Strafrechtsreform 98. Schwerpunktheft.10.1515/mks-2015-980301Suche in Google Scholar

Hirtenlehner, H. & Reinecke, J. (eds.) (2018). Special issue on Situational Action Theory. European Journal of Criminology 15.10.1177/1477370817732182Suche in Google Scholar

Höfer, S. (2003). Sanktionskarrieren. Freiburg: iuscrim.Suche in Google Scholar

Holthusen, B. (2014). Jugendliche Intensivtäter. In W. Melzer, D. Hermann, U. Sandfuchs, M. Schäfer, W. Schubarth & P. Daschner (Hrsg.), Handbuch Aggression, Gewalt und Kriminalität bei Kindern und Jugendlichen (335–338). Bad Heilbrunn: Verlag Julius Klinkhardt.Suche in Google Scholar

Hradil, S. (2001). Soziale Ungleichheit in Deutschland (8. Aufl.). Opladen: Leske + Budrich.Suche in Google Scholar

Huizinga, D. & Henry, K.L. (2008). The effect of arrest and justice system sanctions on subsequent behavior. In A.M. Liberman (ed.), The long view of crime (220–254). New York: Springer.10.1007/978-0-387-71165-2_7Suche in Google Scholar

Huizinga, D., Weiher, A.W., Espiritu, R. & Esbensen, F. (2003). Delinquency and crime. In T.P. Thornberry & M.D. Krohn (eds.), Taking stock of delinquency (47–92). New York: Kluwer Academic.10.1007/0-306-47945-1_3Suche in Google Scholar

Kanz, K.-M. (2016). Mediated and moderated effects of violent media consumption on youth violence. European Journal of Criminology 13, 149–168.10.1177/1477370815608882Suche in Google Scholar

Kerner, H.-J. (2004). Soziale Bindung und soziale Abweichung. In G. Klosinski (Hrsg.), Empathie und Beziehung (41–64). Tübingen: Attempto.Suche in Google Scholar

Kirk, D.S. & Sampson, R.J. (2013). Juvenile arrest and collateral educational damage in the transition to adulthood. Sociology of Education 86, 36–62.10.1177/0038040712448862Suche in Google Scholar

Klein, M.W. (1984). Offence specialization and versatility among juveniles. British Journal of Criminology 24, 185–194. 10.1093/oxfordjournals.bjc.a047439Suche in Google Scholar

Koch-Arzberger, C., Bott, K., Kerner, H.-J. & Reich, K. (2008). Mehrfach- und Intensivtäter in Hessen. Wiesbaden: Hessisches Landeskriminalamt.Suche in Google Scholar

Kreispolizeibehörde Duisburg (2005). Polizeiliche Kriminalstatistik – Duisburg 2004. Duisburg: Kreispolizeibehörde.Suche in Google Scholar

Krohn, M.D. & Lopes, G. (2015). Labeling theory. In M.D. Krohn & J. Lane (eds.), The Handbook of Juvenile Delinquency and Juvenile Justice (312–330). Hoboken, NJ: Wiley-Blackwell.10.1002/9781118513217.ch20Suche in Google Scholar

Krohn, M.D. & Ward, J.T. (2016). Integrating criminological theories. In A.R. Piquero (ed.), The Handbook of Criminological Theory (318–335). Hoboken, NJ: Wiley-Blackwell.10.1002/9781118512449.ch17Suche in Google Scholar

Krohn, M.D., Thornberry, T.P., Rivera, C. & Le Blanc, M. (2001). Later delinquency careers. In R. Loeber & D.P. Farrington (eds.), Child delinquents. Development, intervention, and service needs (67–93). Thousand Oaks, CA: Sage.10.4135/9781452229089.n4Suche in Google Scholar

Krohn, M.D., Gibson, C.L. & Thornberry, T.P. (2013). Under the protective bud the bloom awaits: A review of theory and research on adult-onset and late-blooming offenders. In C.L. Gibson & M.D. Krohn (eds.), Handbook of Life-Course Criminology (183–200). New York: Springer.10.1007/978-1-4614-5113-6Suche in Google Scholar

Krohn, M.D., Lopes, G. & Ward, J.T. (2014). Effects of official intervention on later offending in the Rochester Youth Development Study. In D.P. Farrington & J. Murray (eds.), Labeling theory (179208). New Brunswick, NJ, London: Transaction Publishers.10.4324/9780203787656-8Suche in Google Scholar

Kühl, J. & Schumann, K.F. (1989). Prognosen im Strafrecht – Probleme der Methodologie und Legitimation. Recht und Psychiatrie 7, 126148.Suche in Google Scholar

Lacourse, E., Dupéré, V. & Loeber, R. (2008). Developmental trajectories of violence and theft. In R. Loeber, D.P. Farrington, M. Stouthamer-Loeber & H.R. White (eds.), Violence and serious theft (231268). New York, London: Routledge.Suche in Google Scholar

Laub, J.H. & Sampson, R.J. (2001). Understanding desistance from crime. Crime and Justice 28, 169.10.1086/652208Suche in Google Scholar

Laub, J.H. & Sampson, R.J. (2003). Shared beginnings, divergent lives. Delinquent boys to age 70. Cambridge, MA, London: Harvard University Press.Suche in Google Scholar

Lay, B., Ihle, W., Esser, G. & Schmidt, M.H. (2001). Risikofaktoren für Delinquenz bei Jugendlichen und deren Fortsetzung bis in das Erwachsenenalter. Monatsschrift für Kriminologie und Strafrechtsreform 84, 119132.10.1515/mks-2001-0017Suche in Google Scholar

Le Blanc, M. & Fréchette, M. (1989). Male criminal activity from childhood through youth. New York: Springer.10.1007/978-1-4612-3570-5Suche in Google Scholar

Le Blanc, M. & Loeber, R. (1998). Developmental criminology updated. Crime and Justice 23, 115198.10.1086/449270Suche in Google Scholar

Lemert, E.M. (1951). Social pathology. A systematic approach to the theory of sociopathic behavior. New York: McGraw-Hill.Suche in Google Scholar

Lemert, E.M. (1967). Human deviance, social problems, and social control. Englewood Cliffs: Prentice Hall.Suche in Google Scholar

Liberman, A.M. (ed.) (2008). The long view of crime. A synthesis of longitudinal research. New York: Springer.10.1007/978-0-387-71165-2Suche in Google Scholar

Liberman, A.M., Kirk, D.S. & Kim, K. (2014). Labeling effects of first juvenile arrests. Secondary deviance and secondary sanctioning. Criminology 52,345–370.10.1111/1745-9125.12039Suche in Google Scholar

Liska, A.E., Krohn, M.D. & Messner, S.F. (1989). Strategies and requisites for theoretical integration in the study of crime and deviance. In S.F. Messner, M.D. Krohn & A.E. Liska (eds.), Theoretical integration in the study of deviance and crime (1–19). Albany: State University of New York Press.10.2307/2073228Suche in Google Scholar

Liu, J., Francis, B. & Soothkill, K. (2011). A longitudinal study of escalation in crime seriousness. Quantitative Criminology 27, 175–196.10.1007/s10940-010-9102-xSuche in Google Scholar

Loeber, R. & Dishion, T. (1983). Early predictors of male delinquency: A review. Psychological Bulletin 94, 68–99.10.1037/0033-2909.94.1.68Suche in Google Scholar

Loeber, R., Farrington, D.P., Stouthamer-Loeber, M., Van Kammen, W.B. (1998). Antisocial behavior and mental health problems. Explanatory factors in childhood and adolescence. Mahwah, NJ: Lawrence Erlbaum Associates.10.4324/9781410602930Suche in Google Scholar

Loeber, R., Wei, E., Stouthamer-Loeber, M., Huizinga, D. & Thornberry, T.P. (1999). Behavioral antecedents to serious and violent offending: Joint analyses from the Denver Youth Survey, Pittsburgh Youth Study and the Rochester Youth Development Study. Studies on Crime and Crime Prevention 8, 245–263.Suche in Google Scholar

Loeber, R., Farrington, D.P., Stouthamer-Loeber, M. & White, H.R. (eds.) (2008a). Violence and serious theft. New York: Routledge.10.4324/9780203933237Suche in Google Scholar

Loeber, R., Farrington, D.P., Stouthamer-Loeber, M. & White, H.R. (2008b). Conclusions and policy implications. In R. Loeber, D.P. Farrington, M. Stouthamer-Loeber & H.R. White (eds.), Violence and serious theft (309–334). New York, London: Routledge.10.4324/9780203933237Suche in Google Scholar

Loeber, R., Farrington, D.P. & Jolliffe D. (2008c). Comparing arrests and convictions with reported offending. In R. Loeber, D.P. Farrington, M. Stouthamer-Loeber & H.R. White (eds.), Violence and serious theft (105-136). New York, London: Routledge.10.4324/9780203933237Suche in Google Scholar

Loeber, R., Stouthamer-Loeber, M. & Ahonen, L. (2016). Key behavioral aspects of desistance from conduct problems and delinquency. In J. Shapland, S. Farrall & A. Bottoms (eds.), Global perspectives on desistance (85–98). London, New York: Routledge.Suche in Google Scholar

Lopes, G., Krohn, M.D., Lizotte, A.J., Schmidt, N.M., Vásquez, B.E. & Bernburg, J.G. (2012). Labeling and cumulative disadvantage: The impact of formal police intervention on life chances and crime during emerging adulthood. Crime & Delinquency 58,456–488.10.1177/0011128712436414Suche in Google Scholar

Lösel, F. (2012). Frühe Prävention von Gewalt und Delinquenz in der kindlichen Entwicklung. Zeitschrift für Jugendkriminalrecht und Jugendhilfe 23, 7–16.Suche in Google Scholar

Lösel, F. & Bender, D. (2003). Protective factors and resilience. In D.P. Farrington & J. Coid (eds.), Early prevention of adult antisocial behaviour (130–204). Cambridge: Cambridge University Press.10.1017/CBO9780511489259.006Suche in Google Scholar

Lösel, F. & Stemmler, M. (2012). Preventing child behavior problems in the Erlangen-Nuremberg Development and Prevention Study. International Journal of Conflict and Violence 6, 214–224.Suche in Google Scholar

Loughran, T.A., Paternoster, R. & Weiss, D.B. (2016). Deterrence. In A.R. Piquero (ed.), The Handbook of Criminological Theory (50–74). New York: Wiley-Blackwell.10.1002/9781118512449.ch4Suche in Google Scholar

Lynam, D.R., Piquero, A.R. & Moffitt, T.E. (2004). Specialization and the propensity to violence: Support from self-reports but not official records. Journal of Contemporary Criminal Justice 20, 215–228.10.1177/1043986204263781Suche in Google Scholar

MacDonald, J.M., Haviland, A., Ramchand, R., Morral, A.R., Piquero, A.R. (2014). Linking specialization and seriousness in criminal careers. Advances in Life Course Research 20, 43–55.10.1016/j.alcr.2014.01.006Suche in Google Scholar

Maruna, S. (2001). Making good. Washington, DC: American Psychological Association.Suche in Google Scholar

Maruna, S. & Farrall, S. (2004). Desistance from crime. In D. Oberwittler & S. Karstedt (Hrsg.), Soziologie der Kriminalität (171–194). Wiesbaden: VS Verlag für Sozialwissenschaften.10.1007/978-3-322-80474-7_7Suche in Google Scholar

McAra, L. & McVie, S. (2007). Youth justice? European Journal of Criminology 4,315–345.10.1177/1477370807077186Suche in Google Scholar

McAra, L. & McVie, S. (2010). Youth crime and justice: Key messages from the Edinburgh Study of Youth Transitions and Crime. Criminology and Criminal Justice 10, 179–209.10.1177/1748895809360971Suche in Google Scholar

McAra, L. & McVie, S. (2012). Negotiated order: The groundwork for a theory of offending pathways. Criminology & Criminal Justice 12, 347–375.10.1177/1748895812455810Suche in Google Scholar

McAra, L. & McVie, S. (2017). Developmental and life-course criminology. In A. Liebling, S. Maruna & L. McAra (eds.), The Oxford Handbook of Criminology (6th ed., 607–638). Oxford: Oxford University Press.10.1093/he/9780198719441.001.0001Suche in Google Scholar

McCord, W., McCord, J. & Zola, I.K. (1959). Origins of crime. New York: Columbia University Press.Suche in Google Scholar

McGee, T.R. & Farrington, D.P. (2016). Developmental and life-course theories of crime. In A.R. Piquero (ed.), The Handbook of Criminological Theory (336–354). New York: Wiley-Blackwell.10.1002/9781118512449.ch18Suche in Google Scholar

Meehl, P.E. & Rosen, A. (1955). Antecedent probability and the efficiency of psychometric signs, patterns, or cutting scores. Psychological Bulletin 52, 194–216.10.1037/h0048070Suche in Google Scholar

Merton, R.K. (1968). Sozialstruktur und Anomie. In F. Sack & R. König (Hrsg.), Kriminalsoziologie (283–313). Frankfurt a. M.: Akademische Verlagsgesellschaft.Suche in Google Scholar

Mischkowitz, R. (1993). Kriminelle Karrieren und ihr Abbruch. Bonn: Forum Verlag Godesberg.Suche in Google Scholar

Moffitt, T.E. (1993). Adolescence-limited and life-course-persistent antisocial behavior. Psychological Review 100, 674–701.10.1037/0033-295X.100.4.674Suche in Google Scholar

Moffitt, T.E. (2006). A review of research on the taxonomy of life-course persistent versus adolescence-limited antisocial behavior. In F.T. Cullen, J.P. Wright & K.R. Blevins (eds.), Taking stock (277–312). New Brunswick, NJ, London: Transaction Publishers.10.4324/9781315130620-11Suche in Google Scholar

Moffitt, T.E. (2018). Male antisocial behaviour in adolescence and beyond. Nature Human Behaviour 2, 177–186.10.1038/s41562-018-0309-4Suche in Google Scholar

Moffitt, T.E., Caspi, A., Rutter, M. & Silva, P.A. (2001). Sex differences in antisocial behaviour. Cambridge: Cambridge University Press.10.1017/CBO9780511490057Suche in Google Scholar

Morris, R.G. & Piquero, A.R. (2013). For whom do sanctions deter and label? Justice Quarterly 30, 837–868.10.1080/07418825.2011.633543Suche in Google Scholar

Müller, J.L. & Nedopil, N. (2017). Forensische Psychiatrie (5. Aufl.). Stuttgart, New York: Thieme.10.1055/b-005-146531Suche in Google Scholar

Murray, J., Blokland, A. A., Farrington, D.P. & Theobald, D. (2014). Long-term effects of conviction and incarceration on men in the Cambridge Study in Delinquent Development. In D.P. Farrington & J. Murray (eds.), Labeling theory. Empirical tests (209–235). New Brunswick, NJ, London: Transaction Publishers.10.4324/9780203787656-9Suche in Google Scholar

Nagin, D.S. (2005). Group-based modeling of development. Cambridge, MA, London: Harvard University Press.10.4159/9780674041318Suche in Google Scholar

Nagin, D.S. (2013). Deterrence in the twenty-first century. Crime and Justice 42, 199–263.10.1086/670398Suche in Google Scholar

Nagin, D.S. & Land, K.C. (1993). Age, criminal careers, and population heterogeneity: Specification and estimation of a nonparametric, mixed Poisson model. Criminology 31, 327–362.10.1111/j.1745-9125.1993.tb01133.xSuche in Google Scholar

Nagin, D.S. & Odgers, C.L. (2010). Group-based trajectory modeling (nearly) two decades later. Journal of Quantitative Criminology 26, 445–453. 10.1007/s10940-010-9113-7Suche in Google Scholar

Nagin, D.S. & Tremblay, R.E. (1999). Trajectories of boys’ physical aggression, opposition, and hyperactivity on the path to physically violent and nonviolent juvenile delinquency. Child Development 70, 1181–1196.10.1111/1467-8624.00086Suche in Google Scholar

Nagin, D.S. & Tremblay, R.E. (2005). What has been learned from group-based trajectory modeling? The Annals of the American Academy of Political and Social Science 602, 82–117.10.1177/0002716205280565Suche in Google Scholar

Nagin, D.S., Farrington, D.P. & Moffitt, T.E. (1995). Life-course trajectories of different types of offenders. Criminology 33, 111–139. 10.1111/j.1745-9125.1995.tb01173.xSuche in Google Scholar

Nagin, D.S., Barker, T., Lacourse, E. & Tremblay, R.E. (2009). The inter-relationship of temporally distinct risk markers and the transition from childhood physical aggression to adolescent violent delinquency. Monatsschrift für Kriminologie und Strafrechtsreform 92, 102–116.10.1515/mks-2009-922-303Suche in Google Scholar

Naplava, T. (2018). Jugendliche Intensiv- und Mehrfachtäter. In B. Dollinger & H. Schmidt-Semisch (Hrsg.), Handbuch Jugendkriminalität (3. Aufl., 337–356). Wiesbaden: Springer VS.10.1007/978-3-531-19953-5_17Suche in Google Scholar

Neubacher, F. (2017). Kriminologie (3. Aufl.). Baden-Baden: Nomos.10.5771/9783845274171Suche in Google Scholar

Nieuwbeerta, P., Nagin, D.S. & Blokland, A. A. (2009). Assessing the impact of first-time imprisonment on offenders’ subsequent criminal career development. Journal of Quantitative Criminology 25, 227–257.10.1007/s10940-009-9069-7Suche in Google Scholar

Nieuwbeerta, P., Blokland, A. A.J., Piquero, A.R. & Sweeten, G. (2011). A life-course analysis of offense specialization across age: Introducing a new method for studying individual specialization over the life course. Crime & Delinquency 57, 3–28.10.1177/0011128710376336Suche in Google Scholar

Odgers, C.L., Caspi, A., Broadbent, J.M., Dickson, N., Hancox, R.J., Harrington, H., Poulton, R., Sears, M.R., Thomson, W.M. & Moffitt, T.E. (2007). Prediction of differential adult health burden by conduct problem subtypes in males. Archives of General Psychiatry 64, 476–484.10.1001/archpsyc.64.4.476Suche in Google Scholar

Odgers, C.L., Moffitt, T.E., Broadbent, J.M., Dickson, N., Hancox, R.J., Harrington, H., Poulton, R., Sears, M.R., Thomson, W.M. & Caspi, A. (2008). Female and male antisocial trajectories: From childhood origin to adolescent outcome. Development and Psychopathology 20, 673–716.10.1017/S0954579408000333Suche in Google Scholar

Osgood, D.W. & Schreck, C.J. (2007). A new method for studying the extent, stability, and predictors of individual specialization in violence. Criminology 45, 273–312.10.1111/j.1745-9125.2007.00079.xSuche in Google Scholar

Palumbo, S., Mariotti, V., Iofrida, C. & Pellegrini, S. (2018). Genes and aggressive behavior: Epigenetic mechanisms underlying individual susceptibility to aversive environments. Frontiers in Behavioral Neuroscience 12, 117.10.3389/fnbeh.2018.00117Suche in Google Scholar

Paternoster, R. (2010). How much do we really know about criminal deterrence? The Journal of Criminal Law and Criminology 100, 765–824.Suche in Google Scholar

Paternoster, R. & Bachman, R. (2012). Perceptual deterrence theory. In F. Cullen & P. Wilcox (eds), The Oxford Handbook of Criminological Theory (649–671). New York: Oxford University Press.10.1093/oxfordhb/9780199747238.013.0033Suche in Google Scholar

Paternoster, R. & Iovanni, L. (1989). The labeling perspective and delinquency. Justice Quarterly 6, 359–394.10.1080/07418828900090261Suche in Google Scholar

Paternoster, R., Dean, C.W., Piquero, A., Mazerolle, P. & Brame, R. (1997). Generality, continuity, and change of offending. Journal of Quantitative Criminology 13, 231–266.10.1007/BF02221092Suche in Google Scholar

Paternoster, R., Bachman, R., Bushway, S., Krerrison, E. & O’Conell, D. (2015). Human agency and explanations of criminal desistance. Journal of Developmental and Life Course Criminology 1, 209–235.10.1007/s40865-015-0013-2Suche in Google Scholar

Petrosino, A., Turpin-Petrosino, C. & Guckenburg, S. (2014). The impact of juvenile system processing on delinquency. In D.P. Farrington & J. Murray (eds.), Labeling Theory (113–148). New Brunswick, NJ, London: Transaction Publishers.10.4324/9780203787656-6Suche in Google Scholar

Piquero, A.R. (2004). The intermittency of criminal careers. In S. Maruna & R. Immarigeon (eds.), After crime and punishment: Pathways to offender reintegration (102–129). Devon: Willan.Suche in Google Scholar

Piquero, A.R. (2008). Taking stock of developmental trajectories of criminal activity over the life course. In A.M. Liberman (ed.), The long view of crime (23–78). New York: Springer.10.1007/978-0-387-71165-2_2Suche in Google Scholar

Piquero, A.R. (2009). Methodological issues in the study of persistence in offending. In J. Savage (ed.), The development of persistent criminality (271–287). New York: Oxford University Press.10.1093/acprof:oso/9780195310313.003.0013Suche in Google Scholar

Piquero, A.R., Farrington, D.P. & Blumstein, A. (2003). The criminal career paradigm. Crime and Justice 30, 359–506.10.1086/652234Suche in Google Scholar

Piquero, A.R., Farrington, D.P. & Blumstein, A. (2007). Key issues in criminal career research. Cambridge: Cambridge University Press.10.1017/CBO9780511499494Suche in Google Scholar

Piquero, A.R., Paternoster, R., Pogarsky, G. & Loughran, T. (2011). Elaborating the individual difference component in deterrence theory. Annual Review of Law and Social Science 7, 335–360.10.1146/annurev-lawsocsci-102510-105404Suche in Google Scholar

Piquero, A.R., Hawkins, J.D. & Kazemian, L. (2012). Criminal career patterns. In R. Loeber & D.P. Farrington (eds.), From juvenile delinquency to adult crime (14–46). Oxford: Oxford University Press.10.1093/acprof:oso/9780199828166.003.0002Suche in Google Scholar

Pöge, A. (2007). Soziale Milieus und Kriminalität im Jugendalter. Münster: Waxmann.Suche in Google Scholar

Polizeipräsident in Berlin (Hrsg.) (2016). Polizeiliche Kriminalstatistik Berlin 2016. Berlin: Landeskriminalamt Berlin.Suche in Google Scholar

Porterfield, A.L. (1943). Delinquency and its outcome in court and college. American Journal of Sociology 49, 199–208.10.1086/219369Suche in Google Scholar

Pratt, T.C., Cullen, F.T., Blevins, K.R., Daigle, L.E. & Madensen, T.D. (2006). The empirical status of deterrence theory: A meta-analysis. In F.T. Cullen, J.P. Wright & K.R. Blevins (eds.), Taking stock: The status of criminological theory (369–395). New Brunswick, NJ, London: Transaction Publishers.Suche in Google Scholar

Prein, G. & Schumann, K.F. (2003). Dauerhafte Delinquenz und die Akkumulation von Nachteilen. In K.F. Schumann (Hrsg.), Delinquenz im Lebensverlauf (Bd. 2, 181–208). Weinheim, München: Juventa.Suche in Google Scholar

Provençal, N., Suderman, M.J., Caramaschi, D., Wang, D., Hallett, M., Vitaro, F., Tremblay, R.E. & Szyf, M. (2013). Differential DNA methylation regions in cytokine and transcription factor genomic loci associate with childhood physical aggression. PloS one 8, e71691.10.1371/journal.pone.0071691Suche in Google Scholar

Quetelet, A. (1869). Physique sociale. Essai sur le développement des facultés de l’homme. Bruxelles: C. Muquardt (Originalausgabe 1835).Suche in Google Scholar

Reinecke, J. (2012). Wachstumsmodelle. München: Rainer Hampp Verlag.Suche in Google Scholar

Reinecke, J. (2014). Strukturgleichungsmodelle in den Sozialwissenschaften (2. Aufl.). München: Oldenbourg.10.1524/9783486854008Suche in Google Scholar

Reiss, A.J. jr. (1951). Unravelling juvenile delinquency. II. An appraisal of the research methods. The American Journal of Sociology 57, 115–120.10.1086/220911Suche in Google Scholar

Ribeaud, D. & Eisner, M. (2010). Risk factors for aggression in pre-adolescence. European Journal of Criminology 7, 460–498.10.1177/1477370810378116Suche in Google Scholar

Robins, L.N. (1966). Deviant children grown up. Baltimore: Williams & Wilkens.Suche in Google Scholar

Rosenbaum, P.R. & Rubin, D.B. (1985). Constructing a control group using multivariate matched sampling methods that incorporate the propensity score. The American Statistician 39, 33–38.10.1080/00031305.1985.10479383Suche in Google Scholar

Sackmann, R. (2007). Lebenslaufanalyse und Biografieforschung. Wiesbaden: VS Verlag für Sozialwissenschaften.Suche in Google Scholar

Sampson, R.J. (2012). Great American city. Chicago and the enduring neighborhood effect. Chicago: The University of Chicago Press.10.7208/chicago/9780226733883.001.0001Suche in Google Scholar

Sampson, R.J. & Laub, J.H. (1993). Crime in the making. Cambridge, MA, London: Harvard University Press.Suche in Google Scholar

Sampson, R.J. & Laub, J.H. (1997). A life-course theory of cumulative disadvantage and the stability of delinquency. In T.P. Thornberry (ed.), Developmental theories of crime and delinquency (133–161). New Brunswick, NJ, London: Transaction Publishers.Suche in Google Scholar

Sampson, R.J. & Laub, J.H. (2003). Life-course desisters? Criminology 41, 555–592.10.1111/j.1745-9125.2003.tb00997.xSuche in Google Scholar

Sampson, R.J. & Laub, J.H. (eds.) (2005a). Developmental criminology and its discontents. The Annals of the American Academy of Political and Social Science 602.10.1177/0002716205280574Suche in Google Scholar

Sampson, R.J. & Laub, J.H. (2005b). A life-course view of the development of crime. The Annals of the American Academy of Political and Social Science 602, 12–45.10.1177/0002716205280075Suche in Google Scholar

Savage, J. (ed.) (2009). The development of persistent criminality. Oxford, New York: Oxford University Press.10.1093/acprof:oso/9780195310313.001.0001Suche in Google Scholar

Schäfers, B. (2016). Soziales Handeln und seine Grundlagen: Normen, Werte, Sinn. In H. Korte & B. Schäfers (Hrsg.), Einführung in Hauptbegriffe der Soziologie (9. Aufl., 23–48). Wiesbaden: Springer VS.10.1007/978-3-658-13411-2_2Suche in Google Scholar

Schneider, H.J. (2007). Kriminalitätsmessung: Kriminalstatistik und Dunkelfeldforschung. In H.J. Schneider (Hrsg.), Internationales Handbuch der Kriminologie (Bd. 1, 289–332). Berlin: De Gruyter.10.1515/9783110917260.289Suche in Google Scholar

Schöch, H. (2007). Kriminalprognose. In H.J. Schneider (Hrsg.), Internationales Handbuch der Kriminologie (Bd. 1, 359–393). Berlin: De Gruyter.10.1515/9783110917260.359Suche in Google Scholar

Schubert, A. (1997). Delinquente Karrieren Jugendlicher. Reanalysen der Philadelphia Cohort Studies. Aachen: Shaker. Suche in Google Scholar

Schulte, P. (2019). Kontrolle und Delinquenz. Münster: Waxmann (im Druck).Suche in Google Scholar

Schumann, K.F., Huizinga, D., Ehret, B. & Elliott, A. (2009). Cross-national findings about the effect of job training, gangs, and juvenile justice reactions on delinquent behavior and desistance. Monatsschrift für Kriminologie und Strafrechtsreform 92, 309–326.10.1515/mks-2009-922-315Suche in Google Scholar

Seddig, D. (2014a). Peer group association, the acceptance of norms and violent behaviour: A longitudinal analysis of reciprocal effects. European Journal of Criminology 11, 319–339.10.1177/1477370813496704Suche in Google Scholar

Seddig, D. (2014b). Soziale Wertorientierungen, Bindungen, Normakzeptanz und Jugenddelinquenz. Münster: Waxmann.Suche in Google Scholar

Seddig, D. & Reinecke, J. (2017). Exploration and explanation of adolescent self-reported delinquency trajectories in the CrimoC study. In A. Blokland & V. van der Geest (eds.), The Routledge International Handbook of Life-Course Criminology (159–178). London, New York: Routledge.10.4324/9781315747996-10Suche in Google Scholar

Seelmann, K. & Demko, D. (2014). Rechtsphilosophie (6. Aufl.). München: C.H. Beck.Suche in Google Scholar

Shadish, W.R. (2013). Propensity score analysis: promise, reality and irrational exuberance. Journal of Experimental Criminology 9, 129–144.10.1007/s11292-012-9166-8Suche in Google Scholar

Shapland, J., Farrall, S. & Bottoms, A. (eds.). (2016). Global perspectives on desistance. London, New York: Routledge.10.4324/9781315724423Suche in Google Scholar

Sherman, L.W. (1993). Defiance, deterrence, and irrelevance: A theory of the criminal sanction. Journal of Research in Crime & Delinquency 30, 445–473.10.1177/0022427893030004006Suche in Google Scholar

Sherman, L.W. (2010). Defiance, compliance and consilience. In E. McLaughlin & T. Newburn (eds.), The SAGE Handbook of Criminological Theory (360–390). Los Angeles, London, New Delhi, Singapore, Washington, DC: Sage.Suche in Google Scholar

Sherman, L.W. (2014). Experiments in criminal sanctions: Labeling, defiance, and restorative justice. In D.P. Farrington & J. Murray (eds.), Labeling theory. Empirical tests (149–176). New Brunswick, NJ, London: Transaction Publishers.10.4324/9780203787656-7Suche in Google Scholar

Slocum, L.A., Wiley, S.A. & Esbensen, F.-A. (2016). The importance of being satisfied. A longitudinal exploration of police contact, procedural injustice, and subsequent delinquency. Criminal Justice and Behavior 43,7–26.10.1177/0093854815609069Suche in Google Scholar

Sonka, C. & Riesner, L. (2012). Junge „Mehrfach- und Intensivtäter“. Forensische Psychiatrie, Psychologie, Kriminologie 6, 119–127.10.1007/s11757-012-0156-5Suche in Google Scholar

Steffen, W. (2009). Junge Intensiv- und Mehrfachtäter – eine „neue“ Herausforderung? Überblick über kriminologische Befunde zu intensiv und dauerhaft auffälligen jungen Menschen. In Bundesministerium der Justiz (Hrsg.), Das Jugendkriminalrecht vor neuen Herausforderungen? (83–100). Mönchengladbach: Forum Verlag Godesberg.Suche in Google Scholar

Stelly, W. & Thomas, J. (2001). Einmal Verbrecher – immer Verbrecher? Wiesbaden: Westdeutscher Verlag.10.1007/978-3-322-89598-1Suche in Google Scholar

Stemmler, M. & Lösel, F. (2015). Developmental pathways of externalizing behavior from preschool age to adolescence: An application of general growth mixture modeling. In M. Stemmler, A. von Eye & W. Wiedermann (eds.), Dependent data in social sciences research (91–106). Cham: Springer.10.1007/978-3-319-20585-4Suche in Google Scholar

Sutherland, E.H. (1968). Die Theorie der differentiellen Kontakte. In F. Sack & R. König (Hrsg.), Kriminalsoziologie (395–399). Frankfurt a. M.: Akademische Verlagsgesellschaft. (Originalausgabe 1939).Suche in Google Scholar

Theimann, M. (2016). School as a space of socialization and prevention. European Journal of Criminology 13, 67–91.10.1177/1477370815597254Suche in Google Scholar

Theimann, M. (2019). Schule als Sozialisations- und Präventionsraum. Münster: Waxmann (im Druck).Suche in Google Scholar

Thomas, C.W. & Bishop, D.M. (1984). The effect of formal and informal sanctions on delinquency: A longitudinal comparison of labeling and deterrence theories. The Journal of Criminal Law and Criminology 75, 1222–1245.10.2307/1143384Suche in Google Scholar

Thornberry, T.P. (1987). Toward an interactional theory of delinquency. Criminology 25, 863–892.10.1111/j.1745-9125.1987.tb00823.xSuche in Google Scholar

Thornberry, T.P. (1989). Reflections on the advantages and disadvantages of theoretical integration. In S.F. Messner, M.D. Krohn & A.E. Liska (eds.), Theoretical integration in the study of deviance and crime (51–60). Albany: State University of New York Press.Suche in Google Scholar

Thornberry, T.P. (1996). Empirical support for interactional theory: A review of the literature. In D.J. Hawkins (ed.), Delinquency and Crime: Current Theories (198–235). New York: Cambridge University Press.Suche in Google Scholar

Thornberry, T.P. (2005). Explaining multiple patterns of offending across the life course and across generations. The Annals of the American Academy of Political and Social Science 602, 156–195.10.1177/0002716205280641Suche in Google Scholar

Thornberry, T.P. & Krohn, M.D. (2003). The development of panel studies of delinquency. In T. P. Thornberry & M. D. Krohn (eds.), Taking stock of delinquency (1–9). New York: Kluwer Academic.10.1007/b105384Suche in Google Scholar

Thornberry, T.P., Lizotte, A.J., Krohn, M.D., Farnworth, M. & Jang, S.J. (1994). Delinquent peers, beliefs, and delinquent behavior. Criminology 32, 47–83.10.1111/j.1745-9125.1994.tb01146.xSuche in Google Scholar

Thornberry, T.P., Lizotte, A.J., Krohn, M.D., Smith, C.A. & Porter, P.K. (2003). Causes and consequences of delinquency. In T.P. Thornberry & M.D. Krohn (eds.), Taking stock of delinquency (11–46). New York: Kluwer Academic.10.1007/b105384Suche in Google Scholar

Tibbetts S.G. (2009). Perinatal and developmental determinants of early onset of offending. In J. Savage (ed.), The development of persistent criminality (179–201). New York: Oxford University Press.10.1093/acprof:oso/9780195310313.003.0009Suche in Google Scholar

Tracy, P.E., Wolfgang, M.E. & Figlio, R.M. (1990). Delinquency careers in two birth cohorts. New York: Plenum Press.10.1007/978-1-4684-7050-5Suche in Google Scholar

Treiber, K. (2017). Biosocial criminology and models of criminal decision making. In W. Bernasco, J.-L. van Gelder & H. Elffers (eds.), The Oxford Handbook of Offender Decision Making (87–120). Oxford, New York: Oxford University Press.10.1093/oxfordhb/9780199338801.013.4Suche in Google Scholar

Tremblay, R.E. (2010). Developmental origins of disruptive behaviour problems: The ‘original sin’ hypothesis, epigenetics and their consequences for prevention. Journal of Child Psychology and Psychiatry 51, 341–367.10.1111/j.1469-7610.2010.02211.xSuche in Google Scholar

Tremblay, R.E. (2013). Development of antisocial behavior during childhood. In C.L. Gibson & M.D. Krohn (eds.), Handbook of Life-Course Criminology (3–19). New York: Springer.10.1007/978-1-4614-5113-6_1Suche in Google Scholar

Tremblay, R.E. (2015). Developmental origins of chronic physical aggression: An international perspective on using singletons, twins and epigenetics. European Journal of Criminology 12, 551–561.10.1177/1477370815600617Suche in Google Scholar

Tremblay, R.E. & Szyf, M. (2010). Developmental origins of chronic physical aggression and epigenetics. Epigenomics 2, 495–499.10.2217/epi.10.40Suche in Google Scholar

Tremblay, R.E., Nagin, D.S., Séguin, J.R., Zoccolillo, M., Zelazo, P.D., Boivin, M., Pérusse, D. & Japel, C. (2004). Physical aggression during early childhood. Pediatrics 114, e43–e50.10.1542/peds.114.1.e43Suche in Google Scholar

Tripplet, R. & Upton, L. (2016). Labeling theory: Past, present, and future. In A.R. Piquero (ed.), The Handbook of Criminological Theory (271–289). New York: Wiley-Blackwell.10.1002/9781118512449.ch14Suche in Google Scholar

Tyler, T.R. (1990). Why people obey the law. New Haven, CT, London: Yale University Press.Suche in Google Scholar

Tyler, T.R. & Huo, Y.J. (2002). Trust in the law: Encouraging public cooperation with the police and courts. New York: Russel Sage Foundation.Suche in Google Scholar

Van Dulmen, M.H.M., Goncy, E.A., Vest, A. & Flannery, D.J. (2009). Group-based trajectory modeling of externalizing behavior problems from childhood through adulthood. In J. Savage (ed.), The development of persistent criminality (288–314). New York: Oxford University Press.10.1093/acprof:oso/9780195310313.003.0014Suche in Google Scholar

Walburg, C. & Verneuer, L. (2019). Verbreitung von Delinquenz im Altersverlauf. In K. Boers & J. Reinecke (Hrsg.), Delinquenz im Altersverlauf. Münster: Waxmann (im Druck).Suche in Google Scholar

Walter, M. (2003). Jugendkriminalität in zeitbedingter Wahrnehmung: Der Intensivtäter – empirische Kategorie oder kriminalpolitischer Kampfbegriff. Recht der Jugend und des Bildungswesens 51, 272–281.Suche in Google Scholar

Walter, M. & Neubacher, F. (2011). Jugendkriminalität. Stuttgart: Borberg.Suche in Google Scholar

Walter, R. & Remschmidt, H. (2004). Die Vorhersage der Delinquenz im Kindes-, Jugend- und Erwachsenenalter. Monatsschrift für Kriminologie und Strafrechtsreform 87, 333–352.10.1515/mks-2004-00041Suche in Google Scholar

Weitekamp, E.G.M. & Kerner, H.-J. (1994). Epilogue: Workshop and plenary discussions, and future directions. In E.G.M. Weitekamp & H.-J. Kerner (eds.), Cross-national longitudinal research on human development and criminal behavior (439–449). Dordrecht: Springer Science+Business Media.10.1007/978-94-011-0864-5Suche in Google Scholar

West, D.J. & Farrington, D.P. (1977). The delinquent way of life. London: Heinmann.Suche in Google Scholar

Widom, C.S., Fisher, J.H., Nagin, D.S. & Piquero, A.R. (2018). A prospective examination of criminal career trajectories in abused and neglected males and females followed up into middle adulthood. Journal of Quantitative Criminology 34, 831–852.10.1007/s10940-017-9356-7Suche in Google Scholar

Wikström, P.-O. H. (2005). The social origins of pathways in crime. In D.P. Farrington (ed.), Integrated developmental and life-course theories of offending (211–245). New Brunswick, NJ, London: Transaction Publishers.Suche in Google Scholar

Wikström, P.-O.H. (2011). Does everything matter? Addressing the problem of causation and explanation in the study of crime. In J.M. McGloin, C.J. Sullivan & L.W. Kennedy (eds.), When crime appears (53–72). New York, London: Routledge.Suche in Google Scholar

Wikström, P.-O.H. (2017). Character, circumstances and the causes of crime. In A. Liebling, S. Maruna & L. McAra (eds.), The Oxford Handbook of Criminology (6th ed., 501–521). Oxford: Oxford University Press.Suche in Google Scholar

Wikström, P.-O.H. & Sampson, R.J. (eds.) (2006). The explanation of crime. Cambridge: Cambridge University Press.10.1017/CBO9780511489341Suche in Google Scholar

Wikström, P.-O.H. & Treiber, K. (2007). The role of self-control in crime causation: Beyond Gottfredson and Hirschi’s General Theory of Crime. European Journal of Criminology 4, 237–264.10.1177/1477370807074858Suche in Google Scholar

Wikström, P.-O.H. & Treiber, K. (2016). Social disadvantage and crime. American Behavioral Scientist 60, 1232–1259.10.1177/0002764216643134Suche in Google Scholar

Wikström, P.-O.H & Treiber, K. (2017). Beyond risk factors: An analytical approach to crime prevention. In B. Teasdale & M.S. Bradley (eds.), Preventing crime and violence (73–87). Cham: Springer.10.1007/978-3-319-44124-5_8Suche in Google Scholar

Wikström, P.-O.H. & Treiber, K. (2019). The dynamics of change: Criminogenic interactions and life course patterns in crime. In D.P. Farrington, L. Kazemian & A. Piquero (eds.), The Oxford Handbook of Developmental and Life-Course Criminology (272–294). Oxford: Oxford University Press.10.1093/oxfordhb/9780190201371.013.34Suche in Google Scholar

Wikström, P.-O.H., Oberwittler, D., Treiber, K. & Hardie, B. (2012). Breaking rules: The social and situational dynamics of young people’s urban crime. Oxford: Oxford University Press.Suche in Google Scholar

Wikström, P.-O.H., Roman, G. & Treiber, K. (2019). Character, criminogenic circumstances and criminal careers. Towards a dynamic developmental and life-course criminology. Oxford: Oxford University Press (im Druck).Suche in Google Scholar

Wiley, S.A. (2015). Arrested development: Does the grade level at which juveniles experience arrest matter? Journal of Developmental and Life-Course Criminology 1, 411–433.10.1007/s40865-015-0019-9Suche in Google Scholar

Wiley, S.A. & Esbensen, F.-A. (2016). The effect of police contact: Does official intervention result in deviance amplification? Crime & Delinquency 62,283–307.10.1177/0011128713492496Suche in Google Scholar

Wiley, S.A., Slocum, L.A. & Esbensen, F.-A. (2013). The unintended consequences of being stopped or arrested. Criminology 51,927–966.10.1111/1745-9125.12024Suche in Google Scholar

Wolfgang, M.E., Figlio, R.M. & Sellin, T. (1972). Delinquency in a birth cohort. Chicago, London: The University of Chicago Press.Suche in Google Scholar

Online erschienen: 2019-05-30
Erschienen im Druck: 2019-05-28

© 2019 Walter de Gruyter GmbH, Berlin/Boston

Heruntergeladen am 17.11.2025 von https://www.degruyterbrill.com/document/doi/10.1515/mks-2019-0004/html?lang=de
Button zum nach oben scrollen