Home Distributed non-singular dislocation technique for cracks in strain gradient elasticity
Article Open Access

Distributed non-singular dislocation technique for cracks in strain gradient elasticity

  • S. Mahmoud Mousavi EMAIL logo , Juha Paavola and Djebar Baroudi
Published/Copyright: September 12, 2014

Abstract

The mode III fracture analysis of a cracked graded plane in the framework of classical, first strain gradient, and second strain gradient elasticity is presented in this paper. Solutions to the problem of screw dislocation in graded materials are available in the literature. These solutions include various frameworks such as classical elasticity, and the first strain and second strain gradient elasticity theories. One of the applications of dislocations is the analysis of a cracked medium through distributed dislocation technique. In this article, this technique is used for the mode III fracture analysis of a graded medium in classical elasticity, which results in a system of Cauchy singular integral equations for multiple interacting cracks. Furthermore, the technique is modified for gradient elasticity. Owing to the regularization of the classical singularity, a system of non-singular integral equations is obtained in gradient elasticity. A plane with one crack is studied, and the stress distribution in classical elasticity is compared with those in gradient elasticity theories. The effects of the internal lengths, introduced in gradient elasticity theories, are investigated. Additionally, a plane with two cracks is studied to elaborate the interactions of multiple cracks in both the classical and gradient theories.

1 Introduction

In applications where the size of microstructural elements is not negligible compared with the size of the studied components, the size of the microstructural elements affects the macroscopic behavior. These effects can become predominant for some special practical problems in mechanics and of high importance for structural design, such as in the case of fracture [1].

The generalized continuum elasticity theories were introduced at the beginning of the 19th century first by the brothers Cosserat; about half a century later, they were revisited and revised by the founders of modern continuum mechanics (Toupin, Rivlin, Mindlin, Eringen, and others), as reviewed by Aifantis [2]. In classical elasticity, the strain energy is simply assumed to be a function of strain. Owing to the lack of an intrinsic length scale in classical elasticity, it represents a scale-free continuum theory. In contrast, generalized continuum elasticity theories enrich classical elasticity with additional material characteristic lengths to describe the scale effects resulting from the microstructures [3].

In strain gradient elasticity, the strain energy is generalized and is not simply a function of strain but may also depend on the gradient of strain. In this framework, different contributions have been made with specific forms of the strain energy. These contributions introduce internal lengths to consider scale effects. In the first strain gradient elasticity, the strain energy is assumed to be a quadratic function in terms of strain and first-order gradient strain; in the second strain gradient elasticity, the strain energy is a function of strain, first-order gradient strain, and second-order gradient strain. In generalized elasticity, hyperstress tensors such as double (couple) stress (in the first strain gradient elasticity) and triple stress tensors (in the second strain gradient elasticity) are defined to parameterize the higher-order theory. However, owing to many material constants in these theories, there used to be a gap between theories and experimental investigations.

Analytical solutions for stress/strain fields in dislocations have been a topic of many investigations both in classical and gradient elasticity. In fracture mechanics, considering different approaches in the formulation of the strain gradient theories, singular and non-singular stress fields are predicted ahead of the crack tip. Paulino et al. [4], Chan et al. [5], and Gourgiotis and Georgiadis [6] predicted the singular stresses at the crack tip for the gradient theory. However, Gutkin and Aifantis [7] elaborated that in the framework of gradient elasticity, the elastic singularity is eliminated from dislocation lines. Additionally, Lazar and Maugin [8] reported the same behavior for a class of strain gradient and a stress gradient theory. Thus, the improved stress and strain fields present no singularity in the core region unlike the classical solutions. Currently, these approaches are under debate to determine correct boundary conditions and the compatibility conditions of gradient elasticity. Recently, Lazar and Polyzos [9] studied the physical meaning and the interpretation of the non-singular stress fields of cracks of mode I and mode III. They investigated whether these solutions satisfy the equilibrium, boundary, and compatibility conditions. This discussion should be considered together with the articles by Aifantis and coworkers [10–14], along with a “Commentary” by Aifantis that was submitted to the International Journal of Solids and Structures as a companion to Ref. [9], to address the concerns raised there (see also related comment in Section 6 of this article).

The gradient theory considered in the work of Lazar and Maugin [8] contained double stresses (hyperstresses), and in the case of screw dislocation these double stresses were still singular at the vicinity of the dislocation. As the first strain gradient elasticity theory succeeded in eliminating the stress singularity of the dislocation, the higher-order gradient elasticity theories efficiently eliminate the singularity of the hyperstresses. Lazar et al. [15] presented the dislocations in the second gradient elasticity. They obtained non-singular expressions for double stresses as well as triple stresses produced by a straight screw dislocation. It should be mentioned that owing to different approaches among the gradient theories available in the literature, singular and non-singular solutions have been reported for gradient frameworks. For instance, the approach by Gutkin and Aifantis [7] eliminated the singularity, whereas in Georgiadis [16] the stress is infinite at the crack tip.

Askes and Aifantis [11] have provided a review on the gradient theories, and have applied the finite element method to the gradient elastic theories. Their numerical approach depicts the elimination of the singularity in the vicinity of the crack tip in gradient frameworks. As Askes and Aifantis [11] have mentioned, for static analysis of a cracked structure, the strain gradient theory is sufficient, whereas for dynamic analysis, the strain gradient should incorporate acceleration gradients for a consistent solution. It should be mentioned that the gradient approach is related to Eringen’s non-local theory [14].

One of the applications of the dislocations is the fracture analysis of materials. In classical elasticity, it has been proved that the cracked material with specific loading may be modeled by properly distributing the dislocations in the material [17]. The distributed dislocation technique (DDT) has been largely used in classical elasticity for static [18] and elastodynamic analyses [19]. Mousavi and Paavola [20, 21] have also generalized this technique for the analysis of piezoelectric and magneto-electro-elastic materials. These investigations show that the DDT is useful in the interaction analysis of multiple straight and curved cracks. In these cases, the technique results in a system of Cauchy singular integral equations, which should be solved.

In the framework of generalized elasticity, the DDT has been applied to a few problems. In the couple stress elasticity, Gourgiotis and Georgiadis [22, 23] used the DDT for the analysis of cracks in modes I, II, and III. They studied the dislocation and disclination in the homogeneous couple stress elasticity. In this case, the stress and hyperstresses possess singularity and hypersingularity. They proposed a technique to solve the hypersingular integral equations obtained in the DDT.

The present work discusses the feasible methods for the solution of the dislocation in gradient elasticity and provides an example of the solution of screw dislocation in a Casal’s continuum. Furthermore, the dislocation solutions presented by Gutkin and Aifantis [7], Lazar [24], and Davoudi et al. [25] are applied in the DDT to analyze a cracked medium. The generalized DDT formulation covers classical, first gradient, and second gradient elasticity. The stress distribution in a cracked graded plane under antiplane loading is determined for the classical and gradient theories. The effect of material gradation and gradient parameters are discussed. To the best of the authors’ knowledge, the analysis of the interactions of multiple cracks in gradient elasticity is not available in the literature. To reveal the capability of the DDT for the analysis of various configurations of cracks, two arrangements of cracks, including one crack and two cracks, are presented.

2 Solution to screw dislocation (classical elasticity and strain gradient elasticity)

In this section, the solutions to the screw dislocation in the framework of the classical, first strain gradient, and second strain gradient theories are presented for graded materials. Gutkin and Aifantis [7] presented the screw dislocation in an isotropic medium in first strain gradient elasticity. A screw dislocation in a simplified but straightforward version of second strain gradient elasticity was the topic of another work by Lazar et al. [15]. Lazar [24] presented the stress field of a screw dislocation in a medium exponentially graded in the y-direction in the framework of the classical elasticity as well as the first strain gradient elasticity. Davoudi et al. [25] used the same approach to analyze a screw dislocation in the plane of graded materials in the second strain gradient elasticity. In the following subsections, the stress fields induced by the dislocation are given.

The gradation direction of the graded plane is assumed to be parallel to the y-axis. A screw dislocation is imposed at the origin of the infinite (x, y)-plane with Burgers vector (0, 0, bz). The line of the dislocation is assumed to be perpendicular to the gradation direction of the graded plane.

2.1 Classical solution

In classical continuum mechanics, the strain-energy density is

(1)W=12λ(y)EiiEjj+μ(y)EijEij, (1)

while (λ, μ)=(λ0, μ0)exp(2γy) are Lame moduli for a non-homogeneous material graded in the y-direction (γ is the gradiation parameter), and Eij is the elastic strain tensor. The analysis of the screw dislocation results in a problem of antiplane shear with the only non-vanishing component of displacement w0(x, y) satisfying the displacement equilibrium equation

(2)(2+2ay)w0=0, (2)

with the conditions

(3)Ezy0(x,0+)=Ezy0(x,0-),w0(x,0+)-w0(x,0-)=bzH(-x), (3)

where Ezy0=12w0y is the classical elastic strain and H(…) is the Heaviside step function.

Using the method of stress functions [24] or the method of Fourier transform [25], the above partial differential equation (PDE) results in the following displacement, and Cauchy stress field

(4)σzx0=-bzμ0γeγy2π(yrK1(γr)-K0(γr)),σzy0=bzμ0γeγy2πxrK1(γr), (4)

where Kn denotes the modified Bessel function of the second kind with order n and r=x2+y2. These stress components possess a Cauchy (1/r) as well as logarithmic singularities. The displacement formulation and the Fourier transform used by Davoudi et al. [25] additionally is capable of the determination of the displacement field as

(5)w0=bz2πe-γy0asin(sx)ss2+a2e-|y|s2+a2ds-sgn(y)bz2πe-γy0sin(sx)se-|y|s2+a2ds-bz2H(-y) (5)

It is worth mentioning that the screw dislocation in a graded layer has been reported by Fotuhi and Fariborz [18]. It is obvious that the presence of the strip boundary conditions increases the mathematical effort needed to solve the resulting PDE and will result in complicated integral expressions.

2.2 First strain gradient elasticity

In the first strain gradient elasticity, the strain-energy density has the following form

(6)W=12λ(y)EiiEjj+μ(y)EijEij+l2(12λ(y)Eii,kEjj,k+μ(y)Eij,kEij,k), (6)

where l>0 is the gradient parameter.

In gradient elasticity, several methods are introduced to solve the dislocation and crack problem. One method is to determine the solution to the dislocation directly, i.e., without the aid of the classical solution. In this method, a higher-order PDE (fourth order) is solved with a generalized condition of the screw dislocation. Gourgiotis and Georgiadis [22] have used this method in the couple stress elasticity. As a consequence of the higher-order theory, additional conditions are needed to solve the higher-order PDE.

The second method is to obtain the solution of the dislocation with the aid of the classical solution. This technique is quite common in gradient elasticity [2]. Lazar [24] solved the problem of a screw dislocation in a graded material within the first strain gradient elasticity. He provided the Cauchy-like stress field of the screw dislocation in a graded material for first gradient elasticity as

(7)σzx1=σzx0-bzμ0eγy2π[-yr1+γ2l2lK1(1+γ2l2lr)+γK0(1+γ2l2lr)],σzy1=σzy0-bzμ0eγy2πxr1+γ2l2lK1(1+γ2l2lr). (7)

Furthermore, Sciarra and Vidoli [26] have presented asymptotic solutions for antiplane and inplane opening modes. This method might be used for the solution of the dislocations.

It is worth noting that it is a challenging task to determine the correct form of the higher-order condition for the dislocation, as there are different suggestions available in the literature [4, 16, 22, 23, 27]. The first two references provided the higher-order condition for the solution of the crack problem directly, whereas the second two references implied the higher-order condition for the dislocation problem. Polizzotto [28] provided a thorough discussion about non-standard boundary conditions in gradient elasticity. To shed more light on the selection of the proper higher-order condition, an example of this method is carried out and presented in Appendix A. This appendix shows a selection of higher-order conditions and the solution in Casal’s continuum.

As mentioned earlier, the classical solution of the screw dislocation in mediums other than the infinite plane is of interest to some authors, e.g., Fotuhi and Fariborz [18]. They have dealt with the problem of a screw dislocation in a graded strip. As was expected, in comparison with infinite plane [24], the presence of the strip boundaries resulted in complicated expressions for the field equations. This solution might be generalized to the framework of gradient elasticity.

2.3 Second strain gradient elasticity

In the framework of the second strain gradient elasticity, the strain-energy density has the following form

(8)W=12CijklEijEkl+12l2CijmnEmn,kEij,k+12l4CijmnEmn,klEij,kl, (8)

where l and l′ are internal lengths, and Cijkl is the stiffness tensor of the form

(9)Cijkl=λ(y)δijδkl+μ(y)(δikδjl+δjkδil). (9)

The lower-order elastic-like stresses and higher-order double stresses are given by the expressions [25]

(10)σzx2=σzx0+bzμ0eγy2π1c12-c22[-c12γK0(κ1r)+c22γK0(κ2r)+c12κ1yrK1(κ1r)-c22κ2yrK1(κ2r)],σzy2=σzy0+bzμ0eγy2π1c12-c22xr[-c12κ1K1(κ1r)+c22κ2K1(κ2r)], (10)

where c12+c22=l2,c12c22=l4 and κi=γ2+1/ci2, and l, l′ are internal lengths. It should be mentioned that in the second-order strain gradient theory, expressions for double stresses are non-singular [25] while they are singular in the first-order strain gradient theory.

3 DDT for classical and gradient elasticity

The DDT is a method to analyze a medium containing multiple cracks. In this technique, the dislocations are distributed in the locations of the cracks and the stress field, and fracture parameters such as stress intensity factors (SIFs) are determined for the cracked medium [17]. Stress fields of dislocations usually contain singularities that result in singular integral equations in the DDT. This is usually the case in classical elasticity. In the framework of the gradient elasticity, the singularity of the stress (and hyperstress) components is different from classical elasticity. For instance, Gourgiotis and Georgiadis [22] have given the solution for a screw dislocation in the couple stress theory and have solved governing integral equations in DDT with cubic singularity.

As mentioned earlier, a great difference in the generalized elasticity is the non-singular stress fields, which will alleviate the solution of the resulting integral equations. In this section, the DDT is modified for the class of graded materials in the framework of strain gradient elasticity. The stress fields presented in the previous section [Eqs. (4), (7), and (10)] are used in this section in DDT.

The graded plane, with a varying shear modulus μ=μ0 exp(2γy), is assumed to contain a screw dislocation situated at a point with coordinates (η, ζ). The line of the dislocation is assumed to be parallel to the x-axis:

(11)μ(y)=μ0exp(2γy). (11)

The stress components at a point with coordinates (x, y) due to the dislocation at (η, ζ) may be obtained by making the conversions x→(x-η), yy-ζ in Eqs. (4), (7), and (10).

The movable orthogonal coordinate system n, t is chosen such that the origin may move on the crack while the t-axis remains tangent to the crack surface. The antiplane traction on the surface of the kth crack, in terms of stress components in the Cartesian coordinates x, y, becomes

(12)σnzi(xk,yk)=σyzicos(θk)-σxz1sin(θk),   k{1,2,...,N},i=0,1,2, (12)

where θk(s)=tan-1(βk(s)/αk(s)) is the angle between the x- and t-axes and prime denotes differentiation with respect to the argument. Additionally, i=0, 1, 2 denote the components in the classical, first strain gradient, and second strain gradient elasticity, respectively. A crack is constructed by a continuous distribution of dislocations. Suppose dislocations with unknown density Bz are distributed on the infinitesimal segment (αj)2+(βj)2dt at the surface of the jth crack where -1≤t≤1 and prime denotes differentiation with respect to the relevant argument. The antiplane traction on the surface of the kth crack due to the presence of the above-mentioned distribution of dislocations on all N cracks yields integral equations for the dislocation densities:

(13)σnzi(αk(s),βk(s))=j=1N11Ki(s,t,k,j)[αj(t)]2+[βj(t)]2Bji(t)dt,-1s1,k{1,2,...,N},i=0,1,2, (13)

while the kernels of the integral are

K0(s,t,k,j)K0(αk(s),βk(s),αj(t),βj(t))=μ0γeγykj2π[xkjrK1(γrkj)]cos(θk(s))+μ0γeγykj2π[(ykjrK1(γrkj)-K0(γrkj))]sin(θk(s)),

K1(s,t,k,j)K1(αk(s),βk(s),αj(t),βj(t))=K0(s,t,k,j)-μ0eγykj2π[xkjrkj1+γ2l2lK1(1+γ2l2lrkj)]cos(θk(s))+μ0eγykj2π[-ykjrkj1+γ2l2lK1(1+γ2l2lrkj)+γK0(1+γ2l2lrkj)]sin(θk(s)),

(14)K2(s,t,k,j)K2(αk(s),βk(s),αj(t),βj(t))=K0(s,t,k,j)+{μ0eγykj2π1c12-c22xkjr[c12κ1K1(κ1rkj)+c22κ2K1(κ2rkj)]}cos(θk(s))-{μ0eγykj2π1c12-c22[-c12γK0(κ1rkj)+c22γK0(κ2rkj)+c12κ1ykjrK1(κ1rkj)-c22κ2ykjrK1(κ2rkj)]}sin(θk(s)), (14)

where xkj=αk-αj, ykj=βk-βj, and rkj=xkj2+ykj2. Equation (13) consists of Cauchy singular integral equations for i=0 (classical elasticity) and non-singular integral equations for i=1, 2 (strain gradient elasticity).

Consider a plane with the following loadings:

(15)σyz=σ0,σxz=0. (15)

The graded plane in the absence of cracks under this loading is in a state of pure antiplane shear with the following stress field:

(16)σyz(x,y)=σ0. (16)

Substituting the above stress field in Eq. (12), the traction in the location of cracks in the plane in the absence of cracks yields

(17)σnz(xk,yk)=σ0cos(θk)    k{1,2,...,N}. (17)

By virtue of Bueckner superposition principle, the traction in Eq. (17) with the opposite sign should be substituted in the left-hand side of Eq. (13).

Employing the definition of dislocation density function, the equation for the crack opening displacement across the jth crack becomes

(18)wj-(s)-wj+(s)=-1s[αj(t)]2+[βj(t)]2Bji(t)dt. (18)

Furthermore, the displacement field is single valued out of crack surfaces. Thus, the dislocation density for an embedded crack is subjected to the following closure requirement:

(19)-11[αj(t)]2+[βj(t)]2Bji(t)dt=0, (19)

where i=0, 1, 2, and j∈{1, 2, …, N} is the crack number. To obtain the dislocation density for cracks, the integral Eqs. (13) and (19) are to be solved simultaneously. In a cracked plane, the dislocation density obtained from Eqs. (13) and (19) can be used to determine the stress distribution in the plane. To evaluate the stress distribution on a curve such as α0(s), β0(s), these coordinates and the obtained densities from Eqs. (13) and (19) should be substituted into Eq. (13), which yields

(20)σnzi(α0(s),β0(s))=j=1N-11Ki(s,t,0,j)[αj(t)]2+[βj(t)]2Bji(t)dt,-1s1,i=0,1,2 (20)

which should be superposed with stress fields (16). The system of integral Eqs. (13) and (19) is an ill-posed problem. In the case of classical elasticity, this system of equations is Cauchy singular, whereas in the cases of gradient elasticity, it is non-singular. In the following section, proper methods are selected to solve the singular and non-singular equations.

4 Solution of the integral equations

After a proper discretization of the integral equations (both the systems of singular and non-singular equations) together with its respective constraint integral equations, one obtains two sets of discrete linear systems of equations. Generally, such problems are difficult to solve accurately. A cure is to solve through the singular value decomposition (SVD) [29–31], which can handle such problems and thus obtain more stable/robust solutions. Details on the SVD can be found in textbooks on matrix analysis.

In the case of the singular system (classical elasticity), the Gauss-Chebyshev quadrature scheme developed by Erdogan et al. [32] is used to validate the solution obtained through the SVD (Appendix B).

One of the parameters commonly used to characterize the behavior of cracked materials is the SIF. In classical elasticity, it is shown that the stress is Cauchy singular in a graded material and the suitable SIF has been defined. In recent works on gradient elasticity theories, as the singularities of the stress components differ from the linear elastic fracture mechanics (LEFM), the definition of the SIF is modified. Paulino et al. [4] and Chan et al. [5] defined the SIF for hypersingular stress components for a mode-III crack problem. Gourgiotis and Georgiadis [22] used the same definitions as LEFM for a mode II crack problem, as they have singularity in the relevant stress field.

In the present work, the solutions to the dislocation and crack are non-singular for the first and second gradient theories. To analyze the crack tip, the stress distribution due to the presence of the crack is determined. In the following sections, the stress distribution in classical elasticity will be compared with that in gradient elasticity theories.

5 Numerical results and discussion

Two examples are provided to compare the results in classical and gradient elasticity.

5.1 Graded plane with a horizontal straight crack

The medium graded in the y-direction is assumed to be weakened by a horizontal crack (Figure 1A). The plane is under constant remote loading σyz=μ0. Two cases of gradation, including γa=0.2 and γa=2, are considered. The internal lengths are assumed to be l=0.01a and l′=l/5.

Figure 1 (A) Geometry of the functionally graded medium with a horizontal crack. (B) Normalized stress distribution for a horizontal crack in a graded plane (γa=0.2, l=0.01a, l′=l/5). (C) Normalized stress distribution for a horizontal crack in a graded plane for different gradation parameter: γa=0.2 and γa=2 (l=0.01a). (D) Normalized stress distribution for a horizontal crack in a graded plane (γa=2) in first gradient elasticity: l=(0.01, 0.02, 0.05)a.
Figure 1

(A) Geometry of the functionally graded medium with a horizontal crack. (B) Normalized stress distribution for a horizontal crack in a graded plane (γa=0.2, l=0.01a, l′=l/5). (C) Normalized stress distribution for a horizontal crack in a graded plane for different gradation parameter: γa=0.2 and γa=2 (l=0.01a). (D) Normalized stress distribution for a horizontal crack in a graded plane (γa=2) in first gradient elasticity: l=(0.01, 0.02, 0.05)a.

The crack configuration is (Figure 1A)

(21)α1(s)=as, -1<s<1,β1(s)=0. (21)

Using the DDT, Eqs. (13) and (19) are written for the current configuration. This system of integral equations, after proper discretization, is solved by means of SVD and the dislocation densities are determined for the classical, first gradient, and second gradient theories. To compare the prediction of the stress distribution in these theories, the vicinity of the crack tip on the x-axis with the following parametric form is under consideration:

(22)x0=α0(s)=a(s+3)/2, -1<s<1,y0=β0(s)=0. (22)

Equation (20) may be simplified to determine the stress distribution in the case of one horizontal crack:

(23)σyzi(α0(s),β0(s))=a-11Ki(s,t,0,1)B1i(t)dt,-1s1,i=0,1,2, (23)

where θ0(s)=0. Figure 1B shows the variation of the stress component σyzi, while i=0,1,2 depict the classical, first gradient, and second gradient theories, respectively, versus position. According to the stress distribution in the classical framework (σyz0), the singularity exists in the crack tip, while in the gradient theories, the classical singular behavior is regularized and, as was expected, there is no singularity in the crack tip. σyz1 and σyz2 show a peak at x=1.01a. The difference between the stress components in the first and second gradient theories is trivial for x>1.01a, while for x<1.01a we have σyz1>σyz2.

To analyze the effect of the gradation parameter γ on the stress components, γa=0.2 and γa=2 are considered. Figure 1C shows that a higher gradation parameter results in higher stress components in both the classical and first gradient theories, although in the vicinity of the crack tip, the location of the maximum stress is independent of the gradation parameter (γ).

Furthermore, to observe the effect of the gradient parameter (l) in first strain gradient elasticity, the normalized stress distribution is depicted for l=0.01a, 0.02a, and 0.05a (Figure 1D). The gradation parameter of the plane is assumed to be γa=2.

Comparison of the results in Figure 1D depicts that the gradient parameter in the first gradient elasticity (l) affects the peak value and the peak position of the stress component σyz1. Higher values of l result in a lower stress peak and a higher distance between the stress peak and crack tip (Figure 1D).

5.2 Graded plane with two horizontal cracks

In this example, a graded plane under constant remote loading σyz=μ0 is weakened by two equal-length straight cracks (Figure 2A). Crack L1R1 centered at -3a/2 and crack L2R2 centered at 3a/2 are assumed. The plane is under constant remote loading σyz=μ0.

Figure 2 (A) Geometry of the functionally graded medium with two collinear cracks. (B) Normalized stress distribution for a graded plane with two collinear horizontal cracks (γa=2, l=0.01a, l′=l/5). (C) Normalized stress distribution for a graded plane with two collinear horizontal cracks (γa=2, l=0.01a) in second gradient elasticity: l′=l/5, l/2.
Figure 2

(A) Geometry of the functionally graded medium with two collinear cracks. (B) Normalized stress distribution for a graded plane with two collinear horizontal cracks (γa=2, l=0.01a, l′=l/5). (C) Normalized stress distribution for a graded plane with two collinear horizontal cracks (γa=2, l=0.01a) in second gradient elasticity: l′=l/5, l/2.

Assuming the gradation parameter as γa=2 and the gradient parameters as l=0.01a and l′=l/5, the cracked plane in Figure 2A is analyzed using the DDT and the plane behavior is determined. Considering the symmetry with respect to the y-axis, Figure 2B depicts the normalized stress distribution at (0<x<a/2) on the x-axis. Similar to the case of one crack, singularity exists in the prediction of the classical theory, while the gradient strain theory does not include singularity in the crack tip. Furthermore, the first strain gradient theory predicts higher stress than the second strain gradient theory.

As the final case, two gradient parameters, l′=l/5 and l′=l/2, are considered, while γa=2 and l=0.01a. Figure 2C depicts the effect of the parameter l′ on the stress distribution.

Figure 2C shows that the in second gradient theory, higher values of parameter l′ results in lower stress components in the vicinity of the crack tip, while predicting higher stress away from the crack tip. Additionally, lower values of l′ yield a higher stress peak near the crack tip.

6 Conclusions

The DDT is successfully applied to the dislocation solutions available in the literature. The general formulation is derived for the DDT to analyze the planes with various configurations of cracks in the classical, first strain gradient, and second strain gradient theories. Two examples of cracked graded plane show that the singular behavior of the crack tip is regularized in the gradient strain theories. The elimination of the singularity is an important aspect of such gradient elasticity framework, while in some non-classical frameworks the stress components exhibit singularity [4–6].

Furthermore, the second strain gradient theory predicts generally lower stress components in the vicinity of the crack tip than the first gradient theory. Owing to the generality of the present DDT formulation, it is capable of analyzing any other configuration as well as non-horizontal or curved cracks in the graded plane. This is helpful in the analysis of the interaction of planes containing multiple cracks in the gradient strain theories.

Finally, it is noted that an interesting and rather conclusive discussion on the origin and physical meaning of non-singular crack-tip solutions for both strains and stresses can be found in a recent article by Aifantis [33]. The article addresses the concerns raised by Lazar and Polyzos [9], and sheds light to some controversial issues that have risen in gradient linear elastic fracture mechanics.


Corresponding author: S. Mahmoud Mousavi, Department of Civil and Structural Engineering, Box 12100, FI 00076 Aalto, Finland, e-mail:

Appendix A: Screw dislocation in graded plane

In classical elasticity, the constitutive equation for graded materials is identical to the one for homogeneous materials. Contrary to this fact, in gradient elasticity, owing to the interaction of material gradation and the non-local effect of strain gradient, it has been shown that the constitutive equation for the graded material is different from that for homogeneous material [34]. For functionally graded materials, the corresponding constitutive equations in the case of antiplane shear in a Casal’s continuum [34] are

(A1)σxx=σyy=σzz=0,σxy=0,σxz=2G(y)(εxz-l22εxz)-2l2{[xG(y)](xεxz)+[yG(y)](yεxz)},σyz=2G(y)(εyz-l22εyz)-2l2{[xG(y)](xεyz)+[yG(y)](yεyz)},μxxz=2G(y)l2xεxz,μxyz=2G(y)l2xεyz,μyxz=2G(y)(l2yεxz-lεxz),μyyz=2G(y)(l2yεyz-lεyz), (A1)

where G, l, and l′ are the shear modulus, volume strain gradient term, and surface energy strain gradient term, respectively. σij and μijk are the total stresses and couple stresses, respectively. In the present discussion, the terms l and l′ are assumed to be constant for graded materials, whereas modulus G is a function of y. Additionally, the non-trivial strains are

(A2)εxz=12wx,εyz=12wy. (A2)

The equilibrium equation (in the absence of body forces) reads

(A3)σxzx+σyzy=0. (A3)

By substituting the expressions for stress and strain components [Eqs. (A1) and (A2)] in the equilibrium equation [Eq. (A3)] and assuming the material gradation as

(A4)G(y)=μ0eγy, (A4)

one obtains the following governing partial differential equation (PDE)

(A5)(1-γl2y-l22)(2+γy)w=0, (A5)

while the two operators in the parenthesis in Eq. (A5) commute. Owing to the higher-order theory, solving the higher-order PDE for the dislocation in gradient elasticity needs more conditions than classical elasticity. Considering the antisymmetry of the problem, only the upper half-plane is considered. In the upper half-plane, the dislocation gives rise to the following boundary conditions:

(A6)w(x,0+)=bwz2H(x),μyyz(x,0+)=0, (A6)

where H (…) is the Heaviside step function. The first condition is from the classical elasticity, while the second condition is for the higher-order theory. The second condition is inferred by a couple of investigations about mode III crack problems in non-local elasticity. An identical condition has been used by Paulino et al. [4] and Vardoulakis et al. [27] for the analysis a mode III crack problem in gradient elasticity theory. Georgiadis [16] has also applied this condition to a mode III crack problem in dipolar gradient elasticity. Gourgiotis and Georgiadis [22] have used a similar boundary condition for the dislocation solution in the couple stress elasticity.

The boundary value problem [Eqs. (A5) and (A6)] is solved with the aid of a complex Fourier transform, which is defined by

(A7)f(s)=12π-f(x)eisxdx. (A7)

The inversion of Eq. (A7) is

(A8)f(x)=12π-f(s)e-isxds. (A8)

Using complex Fourier transform, the solution to the PDE [Eqs. (A5) and (A6)] reads

(A9)w(x,y)=bwz4e-γy-ρ(γ,0)e-y(γ+γ2+4/l2)/21-ρ(γ,0)+ibwz4π-(eλ1y-ρ(γ,s)eλ3y)s(1-ρ(γ,s))e-isxds, (A9)

where

ρ(γ,s)=(l2λ12-lλ1)(l2λ32-lλ3).

The total stresses σxz, σyz and the couple stress μyyz in view of Eqs. (2), (3), (6), and (19) may be expressed as

(A10)σxz=G0eγybwz4π-eλ1y(1+s2l2-l2λ12-γl2λ1)-eλ3yρ(γ,s)(1+s2l2-l2λ32-γl2λ3)(1-ρ(γ,s))e-isxds,σyz=-bwzG04γ1-ρ(γ,0)-bwzG04ρ(γ,0)ey(γ-γ2+4/l2)/21-ρ(γ,0)[-(γ+γ2+4/l2)/2-l2γ(γ+γ2+4/l2)2/4+l2(γ+γ2+4/l2)3/8]+G0eγyibwz4π(-{(eλ1y(λ1+l2s2λ1-l2λ13-l2γλ12)-ρ(γ,s)eλ3y(+λ3+l2s2λ3-l2λ33-l2γλ32))}s(1-ρ(γ,s))e-isxds),μyyz=bwzG04γ[l2γ+l]1-ρ(γ,0)-bwzG04ρ(γ,0)ey(γ-γ2+4/l2)/2(l2(γ+γ2+4/l2)2/4+l(γ+γ2+4/l2)/2)1-ρ(γ,0)+ibwzG0eγy4π-(eλ1y(l2λ12-lλ1)-ρ(γ,s)eλ3y(l2λ32-lλ3))s(1-ρ(γ,s))e-isxds. (A10)

These components of stresses will be used in the crack formation through the DDT. The singular behavior of the total stresses and the couple stress components should be specified. To do so, the asymptotic behavior of the integrands in Eq. (A10) should be analyzed. With the aid of the integral expressions

(A11)I0=0e-sysin(sx)ds=xx2+y2,   y>0Ii=0se-sysin(sx)ds=-Ii-1y,    y>0 (A11)

the total stress σyz and the couple stress μyyz [defined in Eq. (A1)] simplify to

(A12)σyz=-bwzG04γ1-ρ(γ,0)-bwzG04ρ(γ,0)ey(γ-γ2+4/l2)/21-ρ(γ,0)[-(γ+γ2+4/l2)/2-l2γ(γ+γ2+4/l2)2/4+l2(γ+γ2+4/l2)3/8]+bwzG0eγy2π{0[ψ(1,1,1)+l2ψ(3,1,1)-l2ψ(1,3,1)-l2γψ(1,2,1)-ψ(1,1,3)-l2ψ(3,1,3)+l2ψ(1,3,3)+l2γψ(1,2,3)]sin(sx)ds},μyyz=bwzG04γ[l2γ+l]1-ρ(γ,0)-bwzG04ρ(γ,0)ey(γ-γ2+4/l2)/2(l2(γ+γ2+4/l2)2/4+l(γ+γ2+4/l2)/2)1-ρ(γ,0)+bwzG0eγy2π0[l2ψ(1,2,1)-lψ(1,1,1)-l2ψ(1,2,3)+lψ(1,1,3)]sin(sx)ds, (A12)

in which

(A13)ψ(n,m,i)=1s2(1-ρ(γ,s))snλimeλiy+(-1)m+1l2sn+me-y(s+γ2),n=1,2,3,i=1,3 (A13)

It is observed that σyz and μyyz do not have singularity in the vicinity of the dislocation.

Appendix B: Gauss-Chebyshev quadrature (GCQ) scheme for classical elasticity

In the framework of classical elasticity, the stress fields exhibit square-root singularity at an embedded crack tip, i.e., the kernels in the integral Eq. (13) are singular. Therefore, the dislocation density of embedded cracks is taken as

(B1)Bj0(t)=gj0(t)1-t2, -1t1. (B1)

Substituting Eqs. (B1) and (17) into the system of Eqs. (13) and (19) results in

(B2)-σ0cos(θk)=j=1N-11K0(s,t,k,j)[αj(t)]2+[βj(t)]2gj0(t)1-t2dt,-1s1,k{1,2,...,N},-11[αj(t)]2+[βj(t)]2gj0(t)1-t2dt=0, (B2)

By means of the GCQ scheme developed by Erdogan et al. [32], Eq. (B2) is discretized into

(B3)-σ0cos(θk)=πmj=1Np=1mK0(sr,tp,k,j)[αj(tp)]2+[βj(tp)]2gj0(tp),k{1,2,...,N},πmp=1m[αj(tp)]2+[βj(tp)]2gj0(tp)=0,j{1,2,...,N}, (B3)

in which

(B4)sr=cos(πrm),  r=1,2,...,m-1,   tp=cos(π(2p-1)2m),p=1,2,...,m. (B4)

The system of N×m linear algebraic equations [Eq. (B3)] can be solved to determine the N×m unknowns gj0. The dislocation density can be obtained by applying gj0 to Eq. (B1). Having these unknowns, any desired field quantity, such as stress, may be calculated by evaluating the related definite integrals.

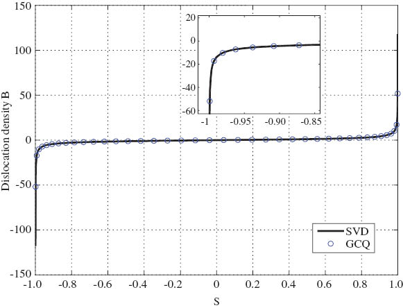
In a special case of a horizontal crack (Figure 1A), the obtained system of integral equations is solved through SVD and GCQ. The results are depicted in Figure 3. Dislocation densities obtained from SVD and GCQ are in good agreement. It is worth mentioning that the GCQ solves the system of integral equations by separating the singularity, whereas the SVD provides the proper tools to solve the discretized singular integral equations. These two different approaches have resulted in the same density for the dislocations (Figure 3).

Figure 3 Classical dislocation densities obtained from SVD and GCQ for a horizontal crack in a graded plane (γa=0.2, l=0.01a, l′=l/5).
Figure 3

Classical dislocation densities obtained from SVD and GCQ for a horizontal crack in a graded plane (γa=0.2, l=0.01a, l′=l/5).

It is worth mentioning that in classical linear elastic fracture mechanics (LEFM), owing to the singularity of the stress, the stress intensity factors (SIFs) for the jth embedded crack in terms of stress components [35] are

(B5)(kIII)Lj=-2limrLj0rLjσZjXj(s)/(sinγLj2),(kIII)Rj=-2limrRj0rRjσZjXj(s)/(sinγLj2), (B5)

where σZjXj is the tangential stress component with respect to the crack surface (Figure 4).

Figure 4 Local coordinates on the crack tip.
Figure 4

Local coordinates on the crack tip.

The SIFs for the jth embedded crack in terms of crack opening displacement is defined as [35]

(B6)(kIII)Lj=24μ(yLj)limrLj0wj-(s)-wj+(s)rLj,(kIII)Rj=24μ(yRj)limrRj0wj-(s)-wj+(s)rRj, (B6)

where the subscripts L and R designate the left and right crack tips, respectively, and the geometry of the crack implies

(B7)rLj=(αj(s)-αj(-1))2+(βj(s)-βj(-1))2,rRj=(αj(s)-αj(1))2+(βj(s)-βj(1))2. (B7)

Expanding functions αj(s) and βj(s) by Taylor series in the vicinity of points s=±1 leads to

(B8)(kIII)Lj=μ(yLj)2[[αj(-1)]2+[βj(-1)]2]14gj0(-1),(kIII)Rj=-μ(yRj)2[[αj(1)]2+[βj(1)]2]14gj0(1). (B8)

The solutions for gji(tp) are plugged into Eq. (B8), thereby obtaining the SIFs in the classical elasticity.

References

[1] Altan SB, Aifantis EC. Scripta Metal Mater. 1992, 26, 319–324.Search in Google Scholar

[2] Aifantis EC. Mech. Mater. 2003, 35, 259–280.Search in Google Scholar

[3] Eringen AC. Microcontinuum Field Theories I. Foundations and Solids. Springer-Verlag: New York, 1999.10.1007/978-1-4612-0555-5Search in Google Scholar

[4] Paulino GH, Fannjiang AC, Chan YS. ASME J. Appl. Mech. 2003, 70, 531–542.Search in Google Scholar

[5] Chan YS, Paulino GH, Fannjiang AC. ASME J. Appl. Mech. 2008, 75, 1–11.Search in Google Scholar

[6] Gourgiotis PA, Georgiadis HG. J. Mech. Phys. Solids 2009, 57, 1898–1920.10.1016/j.jmps.2009.07.005Search in Google Scholar

[7] Gutkin MY, Aifantis EC. Scr. Mater. 1996, 35, 1353–1358.Search in Google Scholar

[8] Lazar M, Maugin GA. Int. J. Eng. Sci. 2005, 43, 1157–1184.Search in Google Scholar

[9] Lazar M, Polyzos D. Int. J. Solids Struct. 2014, http://dx.doi.org/10.1016/j.ijsolstr.2014.01.002.10.1016/j.ijsolstr.2014.01.002Search in Google Scholar

[10] Aifantis EC. Int. J. Eng. Sci. 2009, 47, 1089–1099.Search in Google Scholar

[11] Askes H, Aifantis EC. Int. J. Solids Struct. 2011, 48, 1962–1990.Search in Google Scholar

[12] Ru CQ, Aifantis EC. Acta Mech. 1993, 101, 59–68.Search in Google Scholar

[13] Konstantopoulos I, Aifantis EC. J. Mech. Behav. Mater. 2013, 22, 193–201.Search in Google Scholar

[14] Aifantis EC. Int. J. Eng. Sci. 2011, 49, 1367–1377.Search in Google Scholar

[15] Lazar M, Maugin GA, Aifantis EC. Int. J. Solids Struct. 2006, 43, 1787–1817.Search in Google Scholar

[16] Georgiadis HG. ASME J. Appl. Mech. 2003, 70, 517–530.Search in Google Scholar

[17] Korsunsky AM, Hills DA. J. Mech. Eng. Sci. 1996, 210, 23–31.Search in Google Scholar

[18] Fotuhi AR, Fariborz SJ. Int. J. Solids Struct. 2006, 43, 1239–1252.Search in Google Scholar

[19] Mousavi SM, Fariborz SJ. Appl. Math. Model. 2012, 36, 1626–1638.Search in Google Scholar

[20] Mousavi SM, Paavola J. Int. J. Solids Struct. 2013, 50, 2449–2456.Search in Google Scholar

[21] Mousavi SM, Paavola J. Theor. Appl. Fract. Mech. 2013, 66, 1–8.Search in Google Scholar

[22] Gourgiotis PA, Georgiadis HG. Int. J. Fract. 2007, 147, 83–102.Search in Google Scholar

[23] Gourgiotis PA, Georgiadis HG. Int. J. Solids Struct. 2008, 45, 5521–5539.Search in Google Scholar

[24] Lazar M. Mech. Res. Commun. 2007, 34, 305–311.Search in Google Scholar

[25] Davoudi KM, Davoudi HM, Aifantis EC. J. Mech. Behav. Mater. 2013, 21, 187–194 [see also arXiv: 1012.5108v1/cond-mat.mtrl-sci/22 Dec 2010].10.1515/jmbm-2013-0007Search in Google Scholar

[26] Sciarra G, Vidoli S. J. Elast. 2013, 113, 27–53.Search in Google Scholar

[27] Vardoulakis I, Exadaktylos G, Aifantis E. Int. J. Solids Struct. 1996, 33, 4531–4559.Search in Google Scholar

[28] Polizzotto C. Int. J. Solids Struct. 2003, 40, 7399–7423.Search in Google Scholar

[29] Golub GH, Kahan W. J. SIAM Numer. Anal. Ser. B 1965, 2, 205–224.10.1137/0702016Search in Google Scholar

[30] Golub GH, Reinsch C. Numer. Math. 1970, 14, 403–420.Search in Google Scholar

[31] Golub GH, Van Loan CF. Matrix Computations. Johns Hopkins University Press: Baltimore, MD, 1996.Search in Google Scholar

[32] Erdogan F, Gupta GD, Cook TS. In: Methods of Analysis and Solution of Crack Problems, Sih GC (ed.). Noordhoof: Leyden, Holland, 1973.Search in Google Scholar

[33] Aifantis EC. Theor. Appl. Mech. Lett., in press.Search in Google Scholar

[34] Chan YS, Paulino GH, Fannjiang AC. ASME J. Appl. Mech. 2006, 73, 871–875.Search in Google Scholar

[35] Erdogan F. The crack problem for bonded nonhomogeneous materials under antiplane shear loading. ASME J. Appl. Mech. 1985, 52, 823–828.10.1115/1.3169153Search in Google Scholar

Published Online: 2014-9-12
Published in Print: 2014-8-1

©2014 by De Gruyter

This article is distributed under the terms of the Creative Commons Attribution Non-Commercial License, which permits unrestricted non-commercial use, distribution, and reproduction in any medium, provided the original work is properly cited.

Downloaded on 5.11.2025 from https://www.degruyterbrill.com/document/doi/10.1515/jmbm-2014-0007/html
Scroll to top button