Abstract
With the increasing social pressure and academic competition, the mental health (for convenience, abbreviated as MH) problems of college students are becoming increasingly prominent, but there are often challenges that are difficult to accurately predict and intervene in a timely manner. The aim of this article is to address the early warning needs of college students’ MH problems and construct a model that can timely identify the MH problems of college students. The experiment collected MH related data from college students in S city, and analyzed and trained these data using the Long short-term memory (LSTM) network model. By changing the number of hidden layers, learning rate, batch size, and epoch times, the most suitable training effect was achieved. By using the time-series characteristics of the LSTM model, the selected parameters from the experiment can better capture the changing trends of college students’ MH status, thereby improving prediction accuracy. Finally, three stage indicators of low, medium, and high were set up for early warning of the predicted results, in order to effectively and timely take measures. The research results indicated that the constructed model achieved a minimum regularization loss of 0.0674 after training. Finally, the adjusted model was used to predict the test set, with an average accuracy of 0.852 and an average accuracy of 0.906. The LSTM-based MH risk model performed well in predicting college students’ MH problems and could identify potential risk factors in a timely manner.
1 Introduction
With the development of society and the increasing pace of life, mental health (MH) issues, particularly among college students, have drawn significant attention from both the public and academic circles. College students are facing mounting pressure and challenges in academic, social, and personal development, leading to a rise in MH problems. These issues not only impact their academic performance but also have profound implications for their long-term well-being and career development. Consequently, effectively predicting and assessing the MH risks of college students and implementing timely interventions have become pressing issues in higher education management and public health.
Moreover, one of the challenges facing current research is the limitations of traditional methods for assessing college students’ MH, such as questionnaires and interviews. Although these methods are somewhat effective, they are time-consuming, subjective, and unable to dynamically track and respond to changes in students’ mental states. Therefore, developing methods capable of accurately and efficiently monitoring and alerting MH risks among college students is crucial for early identification and intervention of psychological issues.
College students are an important group in society, and their MH directly affects their personal growth, academic achievements, and future development. Therefore, timely detection and resolution of college students’ MH problems, as well as improving the targeted and effective MH education work in universities, are of great significance for the learning career of college students. Ting and Naxin [1,2], respectively, pointed out in their articles that college students are affected by education, family environment, environmental changes, as well as the problems of a single form of psychological education in universities, homogenization of teaching content, and insufficient educational intervention ability. They advocated that universities should actively innovate psychological education and combine practical teaching cases to cultivate positive psychological qualities of college students. Furthermore, Xiaohai et al. and Cheng et al. [3,4] elaborated on the rapid changes in the content and methods of information dissemination in the information age. Focusing on the opportunities of MH education for college students in the new media era, campus sports activities serve as seasoning agents for college students’ lives, in order to promote their MH and promote their healthy growth. Both Wasil et al. and Karatekin [5,6] analyzed the causes of MH factors among college students. The former believed that academic stressors (such as success pressure, competitiveness) and social stressors (such as lack of community, political party culture, and drug abuse) were stressors of MH problems; the latter suggested that poor childhood experiences may also be one of the reasons for problems, providing useful and feasible solutions for subsequent measures. Selvaraj and Bhat, and Oswalt et al. [7,8] started from this perspective. The former found that cultivating positive psychological advantages such as hope, efficacy, resilience, and optimism in college students can significantly improve their level of positive MH. The latter found a significant correlation between factors affecting MH and time. Over time, the willingness of treatment institutions to use services and future services also increased. During their research process, they pointed out many existing problems, among which time has a significant impact on MH. Therefore, for the emergence of MH issues, it is necessary to study whether it can be explored from the perspective of time to explore the impact of time on MH during the process of psychological formation. Long short-term memory (LSTM) can capture the correlation between distant time steps in the sequence, which also allows for the integration of MH issues with LSTM.
LSTM networks are specifically designed to address time series problems, and their application in the field of MH prediction is particularly notable. These networks excel at effectively handling and interpreting temporal dependencies within MH data, as past behaviors and emotional states often significantly influence future MH conditions. In the realm of MH prediction, LSTM networks adeptly capture these intricate time dependencies, thereby enhancing the accuracy and reliability of predictions. Kratzert et al. and Zheng et al. [9,10] used this model to solve the problem of large time influencing factors. The former found in research that the input sequence provided as the driving input of artificial neural networks was a key hyperparameter, while the architecture of traditional research methods made the model’s search for this number outdated and could not effectively solve the input data. The latter described the problem of existing short-term traffic flow prediction methods being unable to effectively capture the complex nonlinearity of traffic flow and low prediction accuracy, and mentioned the use of LSTM networks to solve the problem of difficult short-term prediction. Moreno et al. and Awais et al. [11,12] discussed the MH issues caused by the outbreak of Corona Virus Disease 2019. The latter proposed using emotion recognition based on LSTM to provide real-time communication and emotion recognition, and achieved good results. Furthermore, LSTM has been applied to other prediction scenarios related to MH, such as monitoring students’ stress and anxiety levels. In these applications, LSTM demonstrates its unique advantage in handling complex time series data, enabling accurate predictions of future MH states based on past behavior and emotional data.
In the field of MH, the application of LSTM networks has shown significant effectiveness. Its primary applications include monitoring individuals’ emotional and stress levels, identifying signs of MH issues through the analysis of behavioral patterns and physiological data. LSTM is particularly suited for handling time series data, enabling it to recognize and predict changes in MH conditions, such as the exacerbation of depressive or anxiety symptoms. Moreover, within the university environment, LSTM can be utilized for real-time monitoring of students’ MH status, providing personalized intervention plans for individuals, and achieving early warning and intervention to prevent issues from worsening. In this manner, LSTM plays a crucial role in understanding and improving individual MH.
This study constructed an LSTM model to predict the MH of college students, which solved the problem of difficulty in accurately predicting and timely intervention in MH. The experiment collected the MH status of college students in S city through three different methods, including a survey questionnaire. By processing missing values, outliers, and formatting specific data timestamps on the established data, the data were input into the constructed model, and the best training results were selected by setting different hyperparameters. In terms of the number of epochs, batch size, and hidden layer size, it was learned during the adjustment process that it is not better to set them as large as possible. The final selected training parameters include an input feature dimension of 64, a hidden layer state dimension of 240, 2 LSTM layers, a learning rate adjustment of 0.001, a batch size of 128, and an increased number of iterations to 100. These parameter selections are based on continuous experimentation and testing to ensure optimal training performance on the training set, thereby enhancing the model’s generalization capability and performance on unseen data, which converged between 0.674 and 0.682. Further predictions were made on the test set, with an average accuracy of 0.852 and an average accuracy of 0.906. Based on the predicted results, indicators were used for early warning, and groups of people who may experience MH were classified into low, medium, and high categories. Different response measures were taken for three different categories to better address the MH issues of college students.
2 Data collection and preprocessing
2.1 Data sources
The data for this study came from observations and measurements related to the MH of university students in S city. The collection methods included survey questionnaires (online, email, paper), biological indicator methods [13,14] (heart rate variability, cortisol levels), and social media analysis methods [15,16] (social media posts, likes, comments). (The samples came from student groups from multiple universities to ensure representativeness and diversity of the data. 5,000 questionnaires were distributed and 4,867 were collected. The biological indicator method collected indicators from 3,125 college students and 2,364 related information were collected from social media. The students participating in the study voluntarily participated and their informed consent had been obtained.)
Data collection includes multiple time points. The exact date and time of each observation were recorded through a timestamp to establish time series data. The collection of data was conducted regularly, capturing changes in students’ psychological state on a daily or weekly basis. This high-frequency data collection allows for the establishment of time series for model training and prediction.
The experiment collected five MH related indicators: depression level, anxiety level, social interaction, academic pressure, and psychological resilience. When conducting research on MH risk models, strict adherence to research ethics principles is paramount, with particular attention given to the handling and protection of students’ personal data. All collected data undergoes rigorous anonymization processes to ensure the safety of personal privacy. During data collection, all personally identifiable information (such as names, student IDs, etc.) is replaced with randomly generated unique identifiers to maintain participants’ anonymity. The collected data are stored on encrypted servers, accessible only by authorized researchers. These measures guarantee the security and confidentiality of the data. All participants are fully informed of the research objectives, procedures, and their rights, including the right to withdraw from the study at any time, prior to their involvement. Data collection only proceeds after obtaining explicit consent from participants. The research protocol has been approved by the ethics review committee of the institution before commencement, ensuring adherence to ethical standards in the research process.
2.2 Data cleaning and preprocessing
The collected data are a list in JavaScript Object Notation format, which contains multiple dictionaries. Each dictionary represents a student’s MH status and contains the following information:
“Student ID (identify)”: This is a unique identifier for each student and is an integer.
“Time stamp”: This is the time of data collection, expressed in string form, in the format of “year month day,” such as “2023 01 01.”
“Depression level”: This is a floating-point number between 0 and 1, indicating the degree of depression among students. The higher the value, the higher the degree of depression.
“Anxiety level”: This is also a floating-point number between 0 and 1, indicating the level of anxiety among students. The higher the value, the higher the level of anxiety.
“Social interaction”: This value is also a floating point number between 0 and 1, indicating the degree of social interaction among students. The higher the value, the higher the level of social interaction.
“Academic pressure”: This is a floating point number between 0 and 1, indicating the academic pressure faced by students. The higher the value, the greater the academic pressure.
“Psychological resilience”: This value is a floating point number between 0 and 1, indicating the psychological resilience of students. The higher the value, the stronger the psychological resilience.
In order to ensure the quality and availability of data, detailed data cleaning and preprocessing steps were carried out in the experiment:
(1) Missing value processing [ 17 ]: The data of each participant were checked, and any missing values were identified and processed, usually using interpolation or data filling methods to process missing data. For missing values in “student ID,” the experiment chose to fill in a random value that is not duplicated to ensure the uniqueness of the ID. For the missing “timestamp,” this study selected other data (neighboring data) as samples to fill in. For the absence of the other five MH related indicators, the absence treatment chose to fill in the average of the other four indicators.
(2) Handling outliers: A statistical-based strategy was employed to accurately handle outliers. For each MH indicator, the overall mean and standard deviation were calculated. Any data point deviating from the mean by more than three standard deviations was considered an outlier. This method identified extreme and potentially non-representative data points, ensuring the accuracy and reliability of data analysis. The boxplot method was introduced to identify outliers by computing the Interquartile Range (IQR) and external limits to determine potential outliers within the dataset. Any data point falling above or below 1.5 times the IQR was flagged as an outlier and subjected to further scrutiny. Following the initial identification of outliers, a dual-check mechanism was implemented. An algorithm automatically identified outliers, which were then verified through manual review considering the context of the data and potential reasonability, ensuring important information was not erroneously excluded. For identified outliers, minor outliers (e.g., those slightly deviating from the standard range but within acceptable limits) were adjusted through interpolation. Significant outliers were removed from the dataset to prevent their negative impact on model training and performance.
(3) Timestamp formatting: After performing the above data processing operations, it is necessary to format the timestamp as a data volume, in order to convert the time information into a machine-readable format for time series analysis.
3 MH risk modeling with LSTM
3.1 LSTM model architecture
3.1.1 Input layer
In the MH risk model for college students in this article, the input data are time series data [18,19], which include a series of regularly collected measurements of MH related indicators.
The shape of the data input is the number of samples, time step, and number of features.
Sample size refers to the number of data points or samples owned, representing the observation points of different college students, The time step represents the continuity in time, corresponding to the time point of data collection. Data were recorded once a day, with a time step corresponding to the number of days. The number of features represents the number of features included in each time step, which are usually measurement indicators related to MH. Each feature can be a variable, such as anxiety level, depression level, social interaction, etc.
3.1.2 LSTM neural unit
LSTM is also a recursive structured neural network [20,21], with the most significant feature being the inclusion of more complex units. The LSTM unit has three gates [22] (input gate, forgetting gate, and output gate), as well as an internal cell state. These gates control the flow of information, allowing LSTM to better handle long sequences and capture long-term dependencies.
3.1.2.1 Input gate
The input gate [23] controls the degree to which new input information enters the cell state. It determines which information would be added to the cell state. In LSTM, a candidate cell state is calculated, usually represented as
where
where
3.1.2.2 Forget gate
The forgetting gate [24] controls which information should be forgotten or cleared from the cellular state. It determines the degree to which previous information affects the cellular state at the current time step. The calculation formula is as follows:
where
3.1.2.3 Output gate
The output gate controls which parts of the cell state would be transmitted to the hidden state and output of the current time step. Before calculating the output of the output gate, a new cell state
where
where
The key design concept of LSTM is to control the flow and storage of information through input gates, forgetting gates, and output gates, thereby effectively processing information in long sequences. This structure enables LSTM to capture long-distance dependencies.
When it comes to handling MH data, LSTM networks demonstrate significant advantages. The unique structure of LSTM enables it to effectively process and analyze time-series data, which is particularly crucial in the field of MH, as students’ psychological states often exhibit dynamic and complex temporal patterns. Through its internal gating mechanism, LSTM can learn and memorize the changing patterns of MH indicators (such as anxiety or depression levels) over extended periods.
This capability allows the model to not only capture short-term fluctuations but also identify potential long-term trends and cyclical variations. Consequently, LSTM exhibits high performance in predicting students’ MH risks and providing timely intervention measures, aiding in the identification of student populations that may be at risk of MH issues and offering them timely support.
3.1.3 Output layer
In neural networks, the output layer is the last layer of the model, responsible for generating the final prediction or output of the model. At the output layer, there is only one neuron, as this is a binary task used to represent whether the sample is at risk (1 represents risk, 0 represents no risk).
When LSTM proceeds to the output layer, the model determines the final output through a sigmoid activation function. The calculation formula is as follows:
where x is the input value. The sigmoid function can convert any input between 0 and 1. To obtain the final output, the experiment requires the Cross Entropy Loss function [25] to measure the difference between the predicted results of the model and the actual results. The calculation formula is as follows:
where y is the true label (0 or 1), and p is the probability predicted by the model (between 0 and 1). formula (7) can calculate the loss of each sample and take the average value as the loss of the entire training set.
3.2 Model training and optimization
3.2.1 Dataset partitioning
In this experiment, the obtained datasets were divided into two parts: the training set and the test set, which ensured that the validation set and test set data came from the same distribution to evaluate the performance of the model on unprecedented data. The experimental random sampling method was used to divide two different parts, with a ratio of 0.8 for the training set and 0.2 for the test set, respectively. This enabled the partitioning of the dataset to prevent overfitting and underfitting of the model.
The validation set was mainly used to adjust the model parameters trained in the training set. The test set was used as a dataset that had never existed before. After determining the model parameters, the test set was used for model performance evaluation to avoid overfitting of the model.
3.2.2 Model hyperparameter setting
In the LSTM training process, hyperparameters [26] can be divided into two categories: mandatory input parameters and optional parameters. In this experiment, in addition to the necessary input parameters such as the dimension of input features, the dimension of hidden layer states, and the number of layers stacked by LSTM, the optional parameters include learning rate, batch size, and epochs. By adjusting different combinations of these hyperparameters, optimal model performance can be achieved.
During the training process of the LSTM model, optimizing hyperparameters is crucial to ensure optimal performance. In this study, hyperparameters include learning rate, batch size, and epochs. To find the best parameter combination, we employed the grid search method, systematically traversing various parameter combinations.
The learning rate, as a critical parameter in optimization algorithms, directly impacts the speed and quality of model training. Starting from 0.01, we gradually reduced the learning rate and determined the optimal value by comparing the performance of the model under different learning rates. The choice of batch size strikes a balance between computational resource constraints and model performance. After multiple experiments, we determined an optimal batch size that ensures both training efficiency and avoids overfitting. The setting of the number of epochs is based on when the model’s loss value on the training set stabilizes. Furthermore, to prevent overfitting and enhance the model’s generalization ability, we introduced L2 regularization. By adding a regularization term during training, we limited the size of model weights, making the model more robust. The selection of the regularization strength λ is based on cross-validation results, ensuring optimal performance on an independent validation set. Through multiple experiments, we meticulously adjusted the λ value until finding the optimal regularization parameter. In the initial training, the dimension of the input features was determined to be 16, and the dimension of the hidden layer state was 240; the number of LSTM layers was 2, and the number of neurons in each layer was 64. Other hyperparameters of the model, such as learning rate, batch size, and epoch number, were set to 0.01, 32, and 50 in the initial experiment, respectively.
3.2.3 Model training process
In the model architecture, the LSTM model architecture in the experiment was clarified. Next during the training process, it is necessary to determine the number of LSTM layers, the number of neurons in each layer, and the settings of each hyperparameter. The model was tested using the training set.
Each LSTM layer contains 64 neurons. This parameter determines the number and complexity of memory units in each layer. 64 neurons are a medium-sized choice for this experiment and many other tasks, which can be used to effectively learn features and temporal information.
The learning rate determines the magnitude of parameter updates in each epoch of the model. A smaller learning rate can help the model converge more stably, but it may require more epochs to achieve optimal performance. 0.01 is a common starting learning rate.
The batch size determines the number of samples used to update parameters in each training step. A smaller batch size can improve the training speed of the model, but may introduce noise. 32 is a common batch size choice that balances performance and training speed.
Choosing 50 epochs is a reasonable starting point, but the actual number of epochs in the future needs to be adjusted based on the performance of the model after initial training.
For the setting of these hyperparameters, each parameter was tested in the experiment, as shown in Table 1.
Model hyperparameter settings
![]() |
The situation of different epoch trainings is shown in Figure 1. Under different epochs, the loss value of the model varied, with epochs set to 50 (black). Due to insufficient epochs, the model cannot reach convergence and the loss value was still in a decreasing state. The epoch of 100 (red) finally converged at 0.0519, while the epoch of 150 (blue) also reached convergence at 0.0674, but the overall loss value was lower than the red curve.

Loss values under different epochs.
Next the accuracy and loss values of the model under different learning rates were analyzed in the experiment. When the learning rate was 0.001, the accuracy of the model in the entire epoch was the highest, reaching 0.9046. However, when the learning rate was 0.005, the final calculated loss value of the model was the lowest, and finally converged around 0.0462.
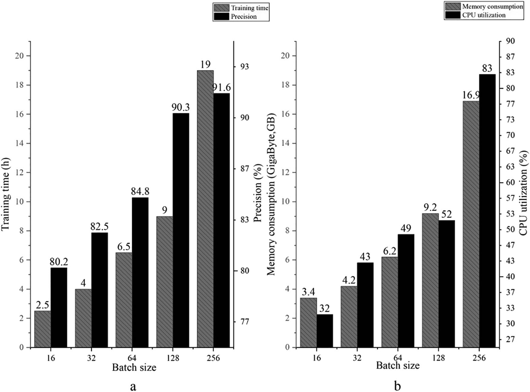
From Figure 2(a), it can be seen that the accuracy and training duration of parameter batch size of the model were plotted in 16, 32, 64, 128, and 256, respectively. Figure 2(b) shows the memory consumption and central processing unit (CPU) consumption of model batch size in 16, 32, 64, 128, and 256, respectively. For batch size, at 16:00 , the accuracy, training duration, memory consumption, and CPU consumption were 80.2%, 2.5 h, 3.4 GB (Gigabyte), and 32%, respectively. At 32:00, the accuracy, training duration, memory consumption, and CPU consumption were 82.5%, 4 h, 4.2 GB, and 43%, respectively. At 64 h, the accuracy, training duration, memory consumption, and CPU consumption were 84.8%, 6.5 h, 6.2 GB, and 49%, respectively. At 128 h, the accuracy, training duration, memory consumption, and CPU consumption were 90.3%, 9 h, 9.2 GB, and 52%, respectively. At 256, the accuracy, training duration, memory consumption, and CPU consumption were 91.6%, 19 h, 16.9 GB, and 83%, respectively. Upon careful analysis of the data in Figure 2, it can be observed that as batch size increased from 16 to 128, the accuracy increased while all resource consumption indicators steadily increased. When batch size increased to 256, the accuracy only improved by 1.3% (91.6–90.3%), but the training time increased from 9 to 19 h; memory consumption increased from 9.2 to 16.9; the CPU utilization rate ranged from 52 to 83%. There was a huge difference between resource investment and the final effect, so in the subsequent variable testing, batch size selected 128 as the best choice.

Resource consumption of different batch size models. (a) Training duration and accuracy of models. (b) Memory CPU resource consumption.
The impact of different numbers of hidden layers on the four performance indicators of the final model, R2 (R-squared), MAE (Mean Absolute Error), MSE (Mean Squared Error), and precision are analyzed. Analysis showed that after 240 hidden layers, R2 and precision indicators could not increase with the increase of hidden layers, resulting in saturation and a slight decrease. However, MSE and MAE error values actually increased with the increase of hidden layers.
Based on the continuous experimentation with various parameters, the final training of the model was conducted using the parameters listed in Table 2 on the training set.
Training convergence parameters
| Parameter | Value |
|---|---|
| Feature dimension | 64 |
| Number of hidden layers | 240 |
| Number of LSTM layers | 2 |
| Learning rate | 0.001 |
| Batch size | 128 |
| Epochs | 100 |
3.2.4 Regularization and avoidance of overfitting
In this experiment, L2 regularization [27,28] was used to regularize the model, which can effectively control the complexity of the model and improve its generalization ability. By adding regularization terms to limit the weight of the model to prevent overfitting, the calculation method is the square root of the sum of squares of ownership weights. Adding L2 regularization term can cause the model to have a trend of shrinking towards the original weight value when updating weights during the training process. The relevant formula is as follows:
where
In the L2 regularization process, the regularization parameters need to be manually adjusted. The function of this parameter is to control the degree to which the regularization term punishes the loss function. During the adjustment process, a partitioned dataset needs to be used. The model was trained on the training set and evaluated for performance under different
The experiment used the divided validation set for model regularization. Table 3 lists the regularization loss results under different
Regularization loss under different
|
|
Regularization loss |
|---|---|
| 0.1 | 0.0823 |
| 0.01 | 0.0723 |
| 0.001 | 0.0682 |
| 0.0001 | 0.0674 |
By adding L2 regularization terms, the model tends to shrink the weight values to a smaller range during training, thereby preventing overfitting caused by excessive weight. This makes the model’s generalization ability better and performs better on unknown data.
Finally, the four evaluation indicators accuracy, precision, MSE, and MAE in Table 4 were obtained by predicting the test set using the parameters selected in Table 3.
Prediction results of test set
| Evaluation index | Accuracy | Precision | MSE | MAE |
|---|---|---|---|---|
| Depression level prediction | 0.85 | 0.87 | 0.25 | 0.3 |
| Anxiety level prediction | 0.86 | 0.88 | 0.35 | 0.4 |
| Social interaction prediction | 0.95 | 0.9 | 0.4 | 0.45 |
| Academic Pressure prediction | 0.78 | 0.93 | 0.32 | 0.38 |
| Resilience prediction | 0.82 | 0.95 | 0.28 | 0.32 |
| Average | 0.852 | 0.906 | 0.32 | 0.37 |
According to Table 4, after adjusting the parameters, the model maintained an average precision of 0.906 for the four psychological indicators. The average accuracy was 0.852, and the average values of MSE and MAE reached 0.32 and 0.37 respectively, indicating that the model had a good performance in prediction.
In order to comprehensively evaluate the performance of the model, in addition to the existing metrics of accuracy and precision, this study introduced recall and F1 score as additional evaluation metrics. These two metrics help us gain a more comprehensive understanding of the model’s performance in identifying MH risks. Recall refers to the proportion of correctly identified MH risk cases by the model among all actual risk cases, while the F1 score is the harmonic mean of precision and recall, used to balance precision and recall.
By adding these two evaluation metrics, we gain a more comprehensive understanding of the model’s performance, ensuring the reliability and generalizability of the research results. Specific evaluation results indicate that the model’s performance in recall and F1 score is also excellent, achieving 0.97 (recall) and 0.96 (F1 score), respectively. Together with the previously mentioned accuracy and precision, the model’s efficiency in predicting MH risks among college students is demonstrated.
4 Indicator warning design and effectiveness
Considering potential differences in psychological characteristics and coping mechanisms among different gender and age groups, the generalization analysis of the model was further extended within the existing research framework. Regarding gender differences, studies have shown that male and female college students may exhibit different tendencies and behavioral patterns in expressing and coping with psychological health issues such as stress and anxiety. When assessing risks for these two groups, the model takes into account gender-specific psychological health manifestations and needs. For example, female students may lean towards a reduction in social interactions as a significant indicator of stress, while male students may exhibit more pronounced risk signals in academic pressure. Therefore, the model’s warning thresholds and response measures need to be adjusted according to gender characteristics to improve the accuracy and effectiveness of warnings.
Regarding different age groups of college students, the manifestations and influencing factors of psychological health risks vary. Younger students (such as freshmen) are more susceptible to environmental changes and social adaptation issues, while older students (such as graduating students) face more challenges related to career planning and academic pressure. When conducting risk assessments, the model takes into account age-related psychological health characteristics and risk factors. For example, for younger students, the model increases sensitivity to indicators of reduced social interactions and adaptation difficulties, while for older students, it focuses more on indicators of academic pressure and future anxiety.
4.1 Model indicator early warning design
4.1.1 Selection of early warning indicators
In the output of the model constructed above, this article conducts graded warning and intervention of MH risks for college students [30], helping them take appropriate measures before their psychological problems gradually worsen. In the selection of warning indicators, the experiment added corresponding weights to the indicators set in each data, as shown in Table 5.
Weights of psychological indicators
| Psychological indicators | Weight |
|---|---|
| Depression level | 0.93 |
| Anxiety level | 0.86 |
| Social interaction | −0.65 |
| Academic pressure | 0.89 |
| Psychological resilience | −0.49 |
Finally, the comprehensive psychological abnormality index was obtained from formula (9), and the five psychological indicators correspond to a weight. The results calculated through weight constraints can reflect the psychological situation of students to a certain extent.
where P is the final index result, W is the weight, and X is the numerical value of each psychology.
4.1.2 Threshold setting
Setting a flexible threshold to increase the sensitivity of early warning is an effective method, especially for early detection of MH problems. The experiment was divided into three levels: low level, medium level, and high level. Each level corresponds to a different range of comprehensive indices and triggers different levels of warning measures.
4.1.2.1 Low level warning
Composite index range: between 0.6 and 0.7.
Warning measures: when the comprehensive index is within this range, a low-level warning is triggered, which is considered a notification to remind students to seek psychological support. This can be friendly and encouraging information that helps students recognize that their psychological state may require attention.
4.1.2.2 Medium level warning
Composite index range: between 0.7 and 0.8.
Warning measures: when the comprehensive index is within this range, a medium level warning is triggered. It is recommended that students contact MH professionals for further evaluation and support.
4.1.2.3 High level warning
Composite index range: over 0.8.
Warning measures: when the comprehensive index exceeds this threshold, a high-level warning would be triggered, which may require immediate action, such as contacting students for emergency support or notifying campus MH services for intervention.
Through this multi-level warning threshold scheme, actions can be determined based on different levels of the comprehensive index. This method can increase or decrease sensitivity in different situations, ensuring that the early warning system can more accurately respond to students’ MH needs. At the same time, it can ensure that early warning information and actions are timely and appropriate to avoid excessive intervention. A precision threshold system based on LSTM outputs has been introduced, categorizing risks into low, medium, and high levels based on a comprehensive index. Different intervention measures are implemented for each level of alert: low-level alerts focus on initial awareness of mental state and self-care; medium-level alerts emphasize communication and consultation with MH professionals; high-level alerts point towards emergency intervention and professional support. Special attention is paid to the applicability of the model among college students of different genders and age groups, as well as how to adjust thresholds to accommodate different demographic characteristics, ensuring the effectiveness of the alert system across diverse populations. Furthermore, discussions on ethical considerations are enhanced to ensure the full protection of student privacy during data collection and processing.
4.2 Warning effect
In this section, a multi-level warning threshold scheme was adopted in the experiment to improve the sensitivity of the MH warning system and trigger different degrees of warning measures based on different levels of the comprehensive index. The following is an analysis of the effectiveness of the early warning system:
4.2.1 Low level warning effect
The goal of low-level early warning is to identify MH issues in the early stages and encourage students to actively seek psychological support. Through the analysis of research data, it was found that low-level early warning has a certain effect in detecting potential problems in the early stage. Students usually have a positive response to these low-level warnings and demonstrate a higher willingness to engage with MH professionals.
4.2.2 Medium level warning effect
The goal of medium level warning is to provide more specific recommendations to support students’ MH. According to the data, medium level warnings also have significant effects within a higher comprehensive index range. Students tend to actively respond to mid-level warnings and are more willing to take proactive actions, such as consulting with MH experts or receiving evaluations.
4.2.3 High level warning effect
The goal of high-level warning is to take urgent action immediately when the composite index reaches a dangerous level. According to the data, high-level warnings provide timely and effective warnings in very serious situations. This warning triggered a rapid response. It was observed that in the context of high-level warnings, students received urgently needed support and intervention to help them deal with MH issues.
Overall, the multi-level warning threshold scheme had shown good results in this study. It not only improved the early identification of MH issues, but also ensured that emergency measures are taken in dangerous situations. This early warning system has had a positive impact on the MH management of college students. Based on experimental data and student feedback, it can be concluded that this early warning system provides more timely and targeted support for students, which helps to improve their MH.
5 Conclusion
This article provided a feasible method for solving the MH problems of college students by constructing a MH risk prediction model based on LSTM. The research aimed to overcome the challenges of accuracy and timely intervention in MH prediction. Through multi-channel data collection, including survey questionnaires, data on the MH status of college students in S city were obtained. During the process of constructing the model, a set of optimal parameters were determined to achieve the best model performance. At the same time, L2 regularization was introduced to prevent overfitting, resulting in a loss value that converges within a reasonable range. The results showed that the model performed well on the test set. Finally, the predicted results of the model were used for early warning of MH indicators, and the subjects were divided into different risk categories to take corresponding intervention measures. This comprehensive approach helps to better address the MH issues of college students and provides strong support for improving the effectiveness of MH management. However, the model also has some limitations. First, despite LSTM’s advantages in handling time-series data, it may not be as effective when dealing with large amounts of unstructured or non-standardized data. Additionally, the data used in this study mainly come from universities in City S, which may lack geographic diversity, thereby limiting the model’s generalization capability. In future research, it may be beneficial to incorporate data from a wider range of geographic and cultural backgrounds to enhance the model’s applicability and accuracy in different environments.
-
Funding information: This study has received support from the the Social Science Development of Xingtai City in 2023—"Construction of a mental health risk model for college students in the new era and its indication and warning" (Grant No. XTSKFZ2023100).
-
Author contributions: Y.F. is responsible for the research framework, developing the model, analyzing data, revising the language, and editing images. J.L. is responsible for data analysis and collection. T.L. is responsible for analyzing data, revising the language. Y.W. is responsible for analyzing data and collection. N.L. is responsible for coordinating research projects and implementing them. All authors have read and agreed to the published version of the manuscript.
-
Conflict of interest: The authors declare that there is no conflict of interest regarding the publication of this article.
-
Data availability statement: The data used to support the findings of this study are available from the corresponding author upon request.
References
[1] Ting Z. Exploration of the role and strategies of college counselors in participating in psychological health education for college students. Way Success. 2023;24:37–40.Search in Google Scholar
[2] Naxin W. Practical exploration of psychological health education for college students from the perspective of positive psychology. J Heilongjiang Inst Teach Dev. 2023;42(8):134–7.Search in Google Scholar
[3] Xiaohai H, Chusheng W, Xiyi Z. Research on the impact of campus sports on the psychological health of college students: Taking Guangdong University of Technology as an example. Contemp Sports Technol. 2023;13(24):154–7.Search in Google Scholar
[4] Cheng L, Jinmei W, Yunmei X. Exploration of innovative strategies for psychological health education for college students in the New Media Era. J Hubei Open Univ. 2023;36(15):16–8.Search in Google Scholar
[5] Wasil AR, Malhotra T, Nandakumar N, Tuteja N, DeRubeis RJ, Stewart RE. Improving mental health on college campuses: Perspectives of Indian college students. Behav Ther. 2022;53(2):348–64.10.1016/j.beth.2021.09.004Search in Google Scholar PubMed
[6] Karatekin C. Adverse childhood experiences (ACEs), stress and mental health in college students. Stress Health. 2018;34(1):36–45.10.1002/smi.2761Search in Google Scholar PubMed
[7] Selvaraj PR, Bhat CS. Predicting the mental health of college students with psychological capital. J Ment Health. 2018;27(3):279–87.10.1080/09638237.2018.1469738Search in Google Scholar PubMed
[8] Oswalt SB, Lederer AM, Chestnut-Steich K, Day C, Halbritter A, Ortiz D. Trends in college students’ mental health diagnoses and utilization of services, 2009–2015. J Am Coll health. 2020;68(1):41–51.10.1080/07448481.2018.1515748Search in Google Scholar PubMed
[9] Kratzert F, Klotz D, Brenner C, Schulz K, Herrnegger M. Rainfall–runoff modelling using long short-term memory (LSTM) networks. Hydrol Earth Syst Sci. 2018;22(11):6005–22.10.5194/hess-22-6005-2018Search in Google Scholar
[10] Zheng H, Lin F, Feng X, Chen Y. A hybrid deep learning model with attention-based conv-LSTM networks for short-term traffic flow prediction. IEEE Trans Intell TransportatiSyst. 2020;22(11):6910–20.10.1109/TITS.2020.2997352Search in Google Scholar
[11] Moreno C, Wykes T, Galderisi S, Nordentoft M, Crossley N, Jones N, et al. How mental health care should change as a consequence of the COVID-19 pandemic. Lancet Psychiatry. 2020;7(9):813–24.10.1016/S2215-0366(20)30307-2Search in Google Scholar PubMed PubMed Central
[12] Awais M, Raza M, Singh N, Bashir K, Manzoor U, Islam SU, et al. LSTM-based emotion detection using physiological signals: IoT framework for healthcare and distance learning in COVID-19. IEEE Internet Things J. 2020;8(23):16863–71.10.1109/JIOT.2020.3044031Search in Google Scholar PubMed PubMed Central
[13] Moon MK, Yim JE, Jeon MY. The effect of a telephone-based self-management program led by nurses on self-care behavior, biological index for cardiac function, and depression in ambulatory heart failure patients. Asian Nurs Res. 2018;12(4):251–7.10.1016/j.anr.2018.10.001Search in Google Scholar PubMed
[14] Giannakakis G, Grigoriadis D, Giannakaki K, Simantiraki O, Roniotis A, Tsiknakis M. Review on psychological stress detection using biosignals. IEEE Trans Affect Comput. 2019;13(1):440–60.10.1109/TAFFC.2019.2927337Search in Google Scholar
[15] Keles B, McCrae N, Grealish A. A systematic review: the influence of social media on depression, anxiety and psychological distress in adolescents. Int J Adolescence Youth. 2020;25(1):79–93.10.1080/02673843.2019.1590851Search in Google Scholar
[16] Oreilly M, Dogra N, Whiteman N, Hughes J, Eruyar S, Reilly P. Is social media bad for mental health and wellbeing? Exploring the perspectives of adolescents. Clin Child Psychol Psychiatry. 2018;23(4):601–13.10.1177/1359104518775154Search in Google Scholar PubMed
[17] Austin PC, White IR, Lee DS, van Buuren S. Missing data in clinical research: a tutorial on multiple imputation. Can J Cardiol. 2021;37(9):1322–31.10.1016/j.cjca.2020.11.010Search in Google Scholar PubMed PubMed Central
[18] Ismail Fawaz H, Forestier G, Weber J, Idoumghar L, Muller PA. Deep learning for time series classification: A review. Data Min Knowl Discov. 2019;33(4):917–63.10.1007/s10618-019-00619-1Search in Google Scholar
[19] Pirkis J, John A, Shin S, DelPozo-Banos M, Arya V, Analuisa-Aguilar P. Suicide trends in the early months of the COVID-19 pandemic: an interrupted time-series analysis of preliminary data from 21 countries. Lancet Psychiatry. 2021;8(7):579–88.10.1016/S2215-0366(21)00091-2Search in Google Scholar PubMed PubMed Central
[20] Choi J, Zhang X. Classifications of restricted web streaming contents based on convolutional neural network and long short-term memory (CNN-LSTM). J Internet Serv Inf Secur. 2022;12(3):49–62.Search in Google Scholar
[21] Kour H, Gupta MK. An hybrid deep learning approach for depression prediction from user tweets using feature-rich CNN and bi-directional LSTM. Multimed Tools Appl. 2022;81(17):23649–85.10.1007/s11042-022-12648-ySearch in Google Scholar PubMed PubMed Central
[22] Yu Y, Si X, Hu C, Zhang J. A review of recurrent neural networks: LSTM cells and network architectures. Neural Comput. 2019;31(7):1235–70.10.1162/neco_a_01199Search in Google Scholar PubMed
[23] Xia M, Shao H, Ma X, de Silva CW. A stacked GRU-RNN-based approach for predicting renewable energy and electricity load for smart grid operation. IEEE Trans Ind Inform. 2021;17(10):7050–9.10.1109/TII.2021.3056867Search in Google Scholar
[24] Smagulova K, James AP. A survey on LSTM memristive neural network architectures and applications. Eur Phys J Spec Top. 2019;228(10):2313–24.10.1140/epjst/e2019-900046-xSearch in Google Scholar
[25] Kim DG, Choi JY. Optimization of design parameters in LSTM model for predictive maintenance. Appl Sci. 2021;11(14):6450–1.10.3390/app11146450Search in Google Scholar
[26] Zadeh SG, Schmid M. Bias in cross-entropy-based training of deep survival networks. IEEE Trans Pattern Anal Mach Intell. 2020;43(9):3126–37.10.1109/TPAMI.2020.2979450Search in Google Scholar PubMed
[27] Benjamin JBM, Yang MS. Weighted multiview possibilistic C-means clustering with L2 regularization. IEEE Trans Fuzzy Syst. 2021;30(5):1357–70.10.1109/TFUZZ.2021.3058572Search in Google Scholar
[28] Mahmood J, Raja MA, Rehman M, Loane J, Zahoor S. Detection of tool wear during machining by designing a novel 12-way 2-shot learning model by applying L2-regularization and image augmentation. Int J Adv Manuf Technol. 2023;126(3–4):1121–42.10.1007/s00170-023-11040-wSearch in Google Scholar
[29] Wong TT, Yeh PY. Reliable accuracy estimates from k-fold cross validation. IEEE Trans Knowl Data Eng. 2019;32(8):1586–94.10.1109/TKDE.2019.2912815Search in Google Scholar
[30] Hayes K, Blashki G, Wiseman J, Burke S, Reifels L. Climate change and mental health: risks, impacts and priority actions. Int J Ment Health Syst. 2018;12(1):1–12.10.1186/s13033-018-0210-6Search in Google Scholar PubMed PubMed Central
© 2024 the author(s), published by De Gruyter
This work is licensed under the Creative Commons Attribution 4.0 International License.
Articles in the same Issue
- Research Articles
- A study on intelligent translation of English sentences by a semantic feature extractor
- Detecting surface defects of heritage buildings based on deep learning
- Combining bag of visual words-based features with CNN in image classification
- Online addiction analysis and identification of students by applying gd-LSTM algorithm to educational behaviour data
- Improving multilayer perceptron neural network using two enhanced moth-flame optimizers to forecast iron ore prices
- Sentiment analysis model for cryptocurrency tweets using different deep learning techniques
- Periodic analysis of scenic spot passenger flow based on combination neural network prediction model
- Analysis of short-term wind speed variation, trends and prediction: A case study of Tamil Nadu, India
- Cloud computing-based framework for heart disease classification using quantum machine learning approach
- Research on teaching quality evaluation of higher vocational architecture majors based on enterprise platform with spherical fuzzy MAGDM
- Detection of sickle cell disease using deep neural networks and explainable artificial intelligence
- Interval-valued T-spherical fuzzy extended power aggregation operators and their application in multi-criteria decision-making
- Characterization of neighborhood operators based on neighborhood relationships
- Real-time pose estimation and motion tracking for motion performance using deep learning models
- QoS prediction using EMD-BiLSTM for II-IoT-secure communication systems
- A novel framework for single-valued neutrosophic MADM and applications to English-blended teaching quality evaluation
- An intelligent error correction model for English grammar with hybrid attention mechanism and RNN algorithm
- Prediction mechanism of depression tendency among college students under computer intelligent systems
- Research on grammatical error correction algorithm in English translation via deep learning
- Microblog sentiment analysis method using BTCBMA model in Spark big data environment
- Application and research of English composition tangent model based on unsupervised semantic space
- 1D-CNN: Classification of normal delivery and cesarean section types using cardiotocography time-series signals
- Real-time segmentation of short videos under VR technology in dynamic scenes
- Application of emotion recognition technology in psychological counseling for college students
- Classical music recommendation algorithm on art market audience expansion under deep learning
- A robust segmentation method combined with classification algorithms for field-based diagnosis of maize plant phytosanitary state
- Integration effect of artificial intelligence and traditional animation creation technology
- Artificial intelligence-driven education evaluation and scoring: Comparative exploration of machine learning algorithms
- Intelligent multiple-attributes decision support for classroom teaching quality evaluation in dance aesthetic education based on the GRA and information entropy
- A study on the application of multidimensional feature fusion attention mechanism based on sight detection and emotion recognition in online teaching
- Blockchain-enabled intelligent toll management system
- A multi-weapon detection using ensembled learning
- Deep and hand-crafted features based on Weierstrass elliptic function for MRI brain tumor classification
- Design of geometric flower pattern for clothing based on deep learning and interactive genetic algorithm
- Mathematical media art protection and paper-cut animation design under blockchain technology
- Deep reinforcement learning enhances artistic creativity: The case study of program art students integrating computer deep learning
- Transition from machine intelligence to knowledge intelligence: A multi-agent simulation approach to technology transfer
- Research on the TF–IDF algorithm combined with semantics for automatic extraction of keywords from network news texts
- Enhanced Jaya optimization for improving multilayer perceptron neural network in urban air quality prediction
- Design of visual symbol-aided system based on wireless network sensor and embedded system
- Construction of a mental health risk model for college students with long and short-term memory networks and early warning indicators
- Personalized resource recommendation method of student online learning platform based on LSTM and collaborative filtering
- Employment management system for universities based on improved decision tree
- English grammar intelligent error correction technology based on the n-gram language model
- Speech recognition and intelligent translation under multimodal human–computer interaction system
- Enhancing data security using Laplacian of Gaussian and Chacha20 encryption algorithm
- Construction of GCNN-based intelligent recommendation model for answering teachers in online learning system
- Neural network big data fusion in remote sensing image processing technology
- Research on the construction and reform path of online and offline mixed English teaching model in the internet era
- Real-time semantic segmentation based on BiSeNetV2 for wild road
- Online English writing teaching method that enhances teacher–student interaction
- Construction of a painting image classification model based on AI stroke feature extraction
- Big data analysis technology in regional economic market planning and enterprise market value prediction
- Location strategy for logistics distribution centers utilizing improved whale optimization algorithm
- Research on agricultural environmental monitoring Internet of Things based on edge computing and deep learning
- The application of curriculum recommendation algorithm in the driving mechanism of industry–teaching integration in colleges and universities under the background of education reform
- Application of online teaching-based classroom behavior capture and analysis system in student management
- Evaluation of online teaching quality in colleges and universities based on digital monitoring technology
- Face detection method based on improved YOLO-v4 network and attention mechanism
- Study on the current situation and influencing factors of corn import trade in China – based on the trade gravity model
- Research on business English grammar detection system based on LSTM model
- Multi-source auxiliary information tourist attraction and route recommendation algorithm based on graph attention network
- Multi-attribute perceptual fuzzy information decision-making technology in investment risk assessment of green finance Projects
- Research on image compression technology based on improved SPIHT compression algorithm for power grid data
- Optimal design of linear and nonlinear PID controllers for speed control of an electric vehicle
- Traditional landscape painting and art image restoration methods based on structural information guidance
- Traceability and analysis method for measurement laboratory testing data based on intelligent Internet of Things and deep belief network
- A speech-based convolutional neural network for human body posture classification
- The role of the O2O blended teaching model in improving the teaching effectiveness of physical education classes
- Genetic algorithm-assisted fuzzy clustering framework to solve resource-constrained project problems
- Behavior recognition algorithm based on a dual-stream residual convolutional neural network
- Ensemble learning and deep learning-based defect detection in power generation plants
- Optimal design of neural network-based fuzzy predictive control model for recommending educational resources in the context of information technology
- An artificial intelligence-enabled consumables tracking system for medical laboratories
- Utilization of deep learning in ideological and political education
- Detection of abnormal tourist behavior in scenic spots based on optimized Gaussian model for background modeling
- RGB-to-hyperspectral conversion for accessible melanoma detection: A CNN-based approach
- Optimization of the road bump and pothole detection technology using convolutional neural network
- Comparative analysis of impact of classification algorithms on security and performance bug reports
- Cross-dataset micro-expression identification based on facial ROIs contribution quantification
- Demystifying multiple sclerosis diagnosis using interpretable and understandable artificial intelligence
- Unifying optimization forces: Harnessing the fine-structure constant in an electromagnetic-gravity optimization framework
- E-commerce big data processing based on an improved RBF model
- Analysis of youth sports physical health data based on cloud computing and gait awareness
- CCLCap-AE-AVSS: Cycle consistency loss based capsule autoencoders for audio–visual speech synthesis
- An efficient node selection algorithm in the context of IoT-based vehicular ad hoc network for emergency service
- Computer aided diagnoses for detecting the severity of Keratoconus
- Improved rapidly exploring random tree using salp swarm algorithm
- Network security framework for Internet of medical things applications: A survey
- Predicting DoS and DDoS attacks in network security scenarios using a hybrid deep learning model
- Enhancing 5G communication in business networks with an innovative secured narrowband IoT framework
- Quokka swarm optimization: A new nature-inspired metaheuristic optimization algorithm
- Digital forensics architecture for real-time automated evidence collection and centralization: Leveraging security lake and modern data architecture
- Image modeling algorithm for environment design based on augmented and virtual reality technologies
- Enhancing IoT device security: CNN-SVM hybrid approach for real-time detection of DoS and DDoS attacks
- High-resolution image processing and entity recognition algorithm based on artificial intelligence
- Review Articles
- Transformative insights: Image-based breast cancer detection and severity assessment through advanced AI techniques
- Network and cybersecurity applications of defense in adversarial attacks: A state-of-the-art using machine learning and deep learning methods
- Applications of integrating artificial intelligence and big data: A comprehensive analysis
- A systematic review of symbiotic organisms search algorithm for data clustering and predictive analysis
- Modelling Bitcoin networks in terms of anonymity and privacy in the metaverse application within Industry 5.0: Comprehensive taxonomy, unsolved issues and suggested solution
- Systematic literature review on intrusion detection systems: Research trends, algorithms, methods, datasets, and limitations
Articles in the same Issue
- Research Articles
- A study on intelligent translation of English sentences by a semantic feature extractor
- Detecting surface defects of heritage buildings based on deep learning
- Combining bag of visual words-based features with CNN in image classification
- Online addiction analysis and identification of students by applying gd-LSTM algorithm to educational behaviour data
- Improving multilayer perceptron neural network using two enhanced moth-flame optimizers to forecast iron ore prices
- Sentiment analysis model for cryptocurrency tweets using different deep learning techniques
- Periodic analysis of scenic spot passenger flow based on combination neural network prediction model
- Analysis of short-term wind speed variation, trends and prediction: A case study of Tamil Nadu, India
- Cloud computing-based framework for heart disease classification using quantum machine learning approach
- Research on teaching quality evaluation of higher vocational architecture majors based on enterprise platform with spherical fuzzy MAGDM
- Detection of sickle cell disease using deep neural networks and explainable artificial intelligence
- Interval-valued T-spherical fuzzy extended power aggregation operators and their application in multi-criteria decision-making
- Characterization of neighborhood operators based on neighborhood relationships
- Real-time pose estimation and motion tracking for motion performance using deep learning models
- QoS prediction using EMD-BiLSTM for II-IoT-secure communication systems
- A novel framework for single-valued neutrosophic MADM and applications to English-blended teaching quality evaluation
- An intelligent error correction model for English grammar with hybrid attention mechanism and RNN algorithm
- Prediction mechanism of depression tendency among college students under computer intelligent systems
- Research on grammatical error correction algorithm in English translation via deep learning
- Microblog sentiment analysis method using BTCBMA model in Spark big data environment
- Application and research of English composition tangent model based on unsupervised semantic space
- 1D-CNN: Classification of normal delivery and cesarean section types using cardiotocography time-series signals
- Real-time segmentation of short videos under VR technology in dynamic scenes
- Application of emotion recognition technology in psychological counseling for college students
- Classical music recommendation algorithm on art market audience expansion under deep learning
- A robust segmentation method combined with classification algorithms for field-based diagnosis of maize plant phytosanitary state
- Integration effect of artificial intelligence and traditional animation creation technology
- Artificial intelligence-driven education evaluation and scoring: Comparative exploration of machine learning algorithms
- Intelligent multiple-attributes decision support for classroom teaching quality evaluation in dance aesthetic education based on the GRA and information entropy
- A study on the application of multidimensional feature fusion attention mechanism based on sight detection and emotion recognition in online teaching
- Blockchain-enabled intelligent toll management system
- A multi-weapon detection using ensembled learning
- Deep and hand-crafted features based on Weierstrass elliptic function for MRI brain tumor classification
- Design of geometric flower pattern for clothing based on deep learning and interactive genetic algorithm
- Mathematical media art protection and paper-cut animation design under blockchain technology
- Deep reinforcement learning enhances artistic creativity: The case study of program art students integrating computer deep learning
- Transition from machine intelligence to knowledge intelligence: A multi-agent simulation approach to technology transfer
- Research on the TF–IDF algorithm combined with semantics for automatic extraction of keywords from network news texts
- Enhanced Jaya optimization for improving multilayer perceptron neural network in urban air quality prediction
- Design of visual symbol-aided system based on wireless network sensor and embedded system
- Construction of a mental health risk model for college students with long and short-term memory networks and early warning indicators
- Personalized resource recommendation method of student online learning platform based on LSTM and collaborative filtering
- Employment management system for universities based on improved decision tree
- English grammar intelligent error correction technology based on the n-gram language model
- Speech recognition and intelligent translation under multimodal human–computer interaction system
- Enhancing data security using Laplacian of Gaussian and Chacha20 encryption algorithm
- Construction of GCNN-based intelligent recommendation model for answering teachers in online learning system
- Neural network big data fusion in remote sensing image processing technology
- Research on the construction and reform path of online and offline mixed English teaching model in the internet era
- Real-time semantic segmentation based on BiSeNetV2 for wild road
- Online English writing teaching method that enhances teacher–student interaction
- Construction of a painting image classification model based on AI stroke feature extraction
- Big data analysis technology in regional economic market planning and enterprise market value prediction
- Location strategy for logistics distribution centers utilizing improved whale optimization algorithm
- Research on agricultural environmental monitoring Internet of Things based on edge computing and deep learning
- The application of curriculum recommendation algorithm in the driving mechanism of industry–teaching integration in colleges and universities under the background of education reform
- Application of online teaching-based classroom behavior capture and analysis system in student management
- Evaluation of online teaching quality in colleges and universities based on digital monitoring technology
- Face detection method based on improved YOLO-v4 network and attention mechanism
- Study on the current situation and influencing factors of corn import trade in China – based on the trade gravity model
- Research on business English grammar detection system based on LSTM model
- Multi-source auxiliary information tourist attraction and route recommendation algorithm based on graph attention network
- Multi-attribute perceptual fuzzy information decision-making technology in investment risk assessment of green finance Projects
- Research on image compression technology based on improved SPIHT compression algorithm for power grid data
- Optimal design of linear and nonlinear PID controllers for speed control of an electric vehicle
- Traditional landscape painting and art image restoration methods based on structural information guidance
- Traceability and analysis method for measurement laboratory testing data based on intelligent Internet of Things and deep belief network
- A speech-based convolutional neural network for human body posture classification
- The role of the O2O blended teaching model in improving the teaching effectiveness of physical education classes
- Genetic algorithm-assisted fuzzy clustering framework to solve resource-constrained project problems
- Behavior recognition algorithm based on a dual-stream residual convolutional neural network
- Ensemble learning and deep learning-based defect detection in power generation plants
- Optimal design of neural network-based fuzzy predictive control model for recommending educational resources in the context of information technology
- An artificial intelligence-enabled consumables tracking system for medical laboratories
- Utilization of deep learning in ideological and political education
- Detection of abnormal tourist behavior in scenic spots based on optimized Gaussian model for background modeling
- RGB-to-hyperspectral conversion for accessible melanoma detection: A CNN-based approach
- Optimization of the road bump and pothole detection technology using convolutional neural network
- Comparative analysis of impact of classification algorithms on security and performance bug reports
- Cross-dataset micro-expression identification based on facial ROIs contribution quantification
- Demystifying multiple sclerosis diagnosis using interpretable and understandable artificial intelligence
- Unifying optimization forces: Harnessing the fine-structure constant in an electromagnetic-gravity optimization framework
- E-commerce big data processing based on an improved RBF model
- Analysis of youth sports physical health data based on cloud computing and gait awareness
- CCLCap-AE-AVSS: Cycle consistency loss based capsule autoencoders for audio–visual speech synthesis
- An efficient node selection algorithm in the context of IoT-based vehicular ad hoc network for emergency service
- Computer aided diagnoses for detecting the severity of Keratoconus
- Improved rapidly exploring random tree using salp swarm algorithm
- Network security framework for Internet of medical things applications: A survey
- Predicting DoS and DDoS attacks in network security scenarios using a hybrid deep learning model
- Enhancing 5G communication in business networks with an innovative secured narrowband IoT framework
- Quokka swarm optimization: A new nature-inspired metaheuristic optimization algorithm
- Digital forensics architecture for real-time automated evidence collection and centralization: Leveraging security lake and modern data architecture
- Image modeling algorithm for environment design based on augmented and virtual reality technologies
- Enhancing IoT device security: CNN-SVM hybrid approach for real-time detection of DoS and DDoS attacks
- High-resolution image processing and entity recognition algorithm based on artificial intelligence
- Review Articles
- Transformative insights: Image-based breast cancer detection and severity assessment through advanced AI techniques
- Network and cybersecurity applications of defense in adversarial attacks: A state-of-the-art using machine learning and deep learning methods
- Applications of integrating artificial intelligence and big data: A comprehensive analysis
- A systematic review of symbiotic organisms search algorithm for data clustering and predictive analysis
- Modelling Bitcoin networks in terms of anonymity and privacy in the metaverse application within Industry 5.0: Comprehensive taxonomy, unsolved issues and suggested solution
- Systematic literature review on intrusion detection systems: Research trends, algorithms, methods, datasets, and limitations
