Abstract
The hydrazide 5, that was obtained from 1-(4-fluorophenyl)piperazine (1), was converted to the corresponding carbothioamides 6a–c by the reaction with alkyl(aryl) isothiocyanates. The synthesis of conazole analogs 10a–f was performed via the intermediary of triazoles 7a–c. The condensation of triazoles 7a–c with several heterocyclic amines in the presence of formaldehyde afforded the corresponding N-aminoalkylated triazoles 11–14. The effect of different catalysts and solvents on conventional and microwave (MW)-prompted reactions was examined. The synthesized compounds were screened for their antimicrobial activities.
Introduction
During the past few years, the excessive use of common antimicrobial drugs has caused the emergence of resistant bacteria leading to diminished efficiency of these drugs [1], [2], [3], [4], [5]. This rapid emergence of drug resistance has now become a serious public health problem [6], [7]. The increasing resistance problem has prompted the synthesis of new chemical entities in an effort to come up with new drugs with better therapeutic properties including better tolerability, less side effects and low tendency to resistance [8].
In recent years, the concept of hybrid molecules which contain two or more pharmacophore groups bound together covalently in one molecular framework has been introduced. It has been suggested that such compounds may inhibit two or more conventional targets simultaneously. This multiple target strategy has already resulted in the development of a number of bioactive hybrid molecules [9].
Multicomponent reactions with at least three components in the one-pot process to give a single product represent a unique strategy leading to the formation of various bioactive molecules, due to their convergence, low energy consumption, minimum waste production, facile execution, high selectivity and productivity [10], [11], [12]. On the other hand, microwave (MW) techniques are more dynamic and effective than the conventional methods [13], [14], [15], [16]. The success of combinatorial chemistry aiming at the discovery of new drug candidates depends on the advances in the one-pot multicomponent reactions with ecofriendly procedures. Solvent is one of the key factors when it is used in large quantities [11]. Most organic solvents are toxic, and they should be used in minimum quantities as far as possible or should be replaced with nontoxic alternatives, preferably with water [17], [18], [19], [20], [21], [22], [23].
A piperazine ring is a core structure of many marketed drugs including fluoroquinolone antibiotics such as norfloxacin, ciprofloxacin and levofloxacin [24], [25], [26], [27], [28], [29]. Substituted piperazines often show increased antimicrobial activity probably by enhancing lipophilicity of the molecule [30]. In biologically active products, piperazine is often present as a fused or oxidized form [31] or is substituted with an azole (1,2,4-triazole and/or imidazole) [32].
Results and discussion
Chemistry
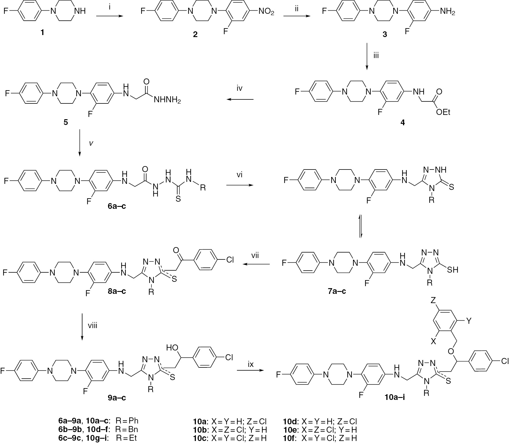
Synthesis of the target compounds was carried out as illustrated in Schemes 1 and 2. The key substrate 5 was prepared from 1-(4-fluorophenyl)piperazine (1) by conventional and also MW-assisted methods in four steps. The treatment of 5 with phenyl, benzyl or ethyl isothiocyanate generated the corresponding carbothioamide derivatives 6a–c. The reactions were conducted in dichloromethane at room temperature and under MW irradiation in the attempts to maximize the yields of the products and minimize the reaction times. The reaction time for complete consumption of starting materials was lowered from 24 h for a conventional heating to a remarkable 8 min using MW irradiation. The optimal MW power in terms of yield and product stability was assessed at 150 W at 125°C in a closed vessel without any solvent. Products 6a–c were obtained in yields of 91%–97%.

Synthetic route for compounds 2–10. (i): 3,4-difluoronitrobenzene, NaHCO3 ; (ii): H2NNH2, Pd-C; (iii): BrCH2COOEt, Et3N; (iv): H2NNH2, EtOH; (v): isothiocyanate, DCM; (vi): 2N NaOH, H2O+EtOH; (vii): 4-ClC6H4COCH2Br, Na, EtOH; (viii): NaBH4; (ix): NaH, THF, substituted benzyl chloride.

The treatment of compounds 6a–c with a base yielded 1,2,4-triazole derivatives 7a–c. The ring closure reactions leading to compounds 7a–c were identified with IR, 1H NMR, 13C NMR, mass spectral and elemental analyses. Our previous studies [5], [24], [30], [33], [34], [35] have demonstrated that the 3-mercapto-1,2,4-triazoles can exist in a thione or thiol tautomeric form and this conclusion is also true for compounds 7a–c. On the basis of analysis of the spectral data (see Experimental section), it can be suggested that 7a,b and 7c exist preferentially in the respective thione and thiol forms.
Alkylation of compounds 7a–c with 2-bromo-1-(4-chlorophenyl)ethanone in ethanol afforded the corresponding compounds 8a–c. Compared with a conventional heating, MW irradiation decreased the reaction time from 22 h to 25 min and increased the yields from 22%–35% to 52%–75%. The best yields were obtained at 150°C for 25 min at 150 W maximum power. Compounds 7a–c can, in principle, be alkylated at the sulfur or nitrogen atom. The structures of the resultant products 8a–c were suggested (see Experimental) based on the spectral data but additional work is needed to support this analysis. The reduction of carbonyl group with NaBH4 in 8a–c to alcohol gave compounds 9a–c which, again, was achieved using both classical heating and MW irradiation. For MW-prompted reactions leading to the formation of compounds 9a–c, the reduction of compound 9a was selected as model and the effects of various reaction parameters, including solvent, temperature, time and MW power were examined. The results showed that the best yield was obtained in ethanol with MW irradiation at 100 W and 100°C for 20 min. The synthesis of compounds 10a–f was achieved by treatment of compounds 9a–c with substituted benzyl chlorides, namely 4-chloro-, 2,4-dichloro- and 2,6-dichlorobenzyl chlorides in the presence of NaH under MW-mediated and conventional conditions. In order to improve the MW conditions, the reaction leading to the formation of 10a was selected as a model reaction and the effects of several parameters including time, power and solvent were examined. After optimization of the conditions for the preparation of 10a, the synthesis of the remaining compounds 10b–i was carried out. Again, it should be noted that the structural assignments for products 9a–c and 10a–i are tentative and additional work is needed to show the N- or S-alkylation site (Scheme 1).
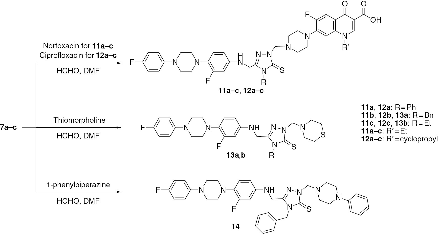
The aminoalkylation of compounds 7a–c with several secondary amines, namely norfloxacin (for 11a–c), ciprofloxacin (for 12a–c), thiomorpholine (for 13a,b) and phenylpiperazine (for 14) in the presence of formaldehyde was conducted under the MW-assisted Mannich reaction conditions (Scheme 2). Initially, to optimize the conditions for this one-pot three-component reaction, compound 11a was selected as a model product, and the model reactions were performed in polar solvents and without solvent in the presence of different Lewis and Bronsted acid catalysts such as p-TSA, FeCl3, InCl3 and HCl. The effects of various reaction parameters, including temperature, catalyst, solvent, MW power and time were examined. In all cases, completion of the reaction was monitored by the thin-layer chromatography (TLC) analysis. The solvent-free reaction with HCl as a catalyst constituted the optimal method yielding the desired product 11a within 20 min at 70 W with the yield of 83%. The spectral analysis of products 11–14 (see Experimental section) strongly suggested the N-alkylated thione structure in all cases as shown in Scheme 2.
Mannich bases have been used previously as potentially useful prodrug candidates for imides, amides, amines, hydantoin and urea derivatives. It is believed that the N-alkyl group in Mannich bases increases the lipophilicity of the parent amines at physiological pH values by decreasing their protonation that results in enhancement of absorption through biomembranes [33].
Biological activity
All compounds were tested for their antimicrobial activities, and the results for active derivatives are presented in Table 1. Compounds of low activity are not included. No clear structure-activity relationships can be detected, indicating that the antibacterial activity is significantly affected by the nature of the compound. It is evident from Table 1 that the aminoalkylation of triazoles 7a–c with fluoroquinolones namely norfloxacin and ciprofloxacin gives rise to the excellent activity of the resultant products 11a–c and 12a–c toward the test bacteria with the minimum inhibitory concentration (MIC) values between 0.24 and 1.9 μg/mL. It can be suggested that excellent activity of these compounds is due to the presence of a fluoroquinolone core in their structures. In fact, the MIC values of compounds 11a–c are similar to the MIC values of norfloxacine and ciprofloxacine. Among the aminoalkylated triazoles, especially the ones containing an aromatic substituent at the position 4 of a 1,2,4-triazole ring, compounds 11a,b and 12a,b are the most active. Compounds 2–9 except 8b and 10a did not exhibit noteworthy activity toward the test microorganisms.
Screening for antimicrobial activity.
| Comp. No | Ec | Yp | Pa | Sa | Ef | Bc | Ms |
|---|---|---|---|---|---|---|---|
| 8b | – | – | 500 | 125 | 125 | 125 | 3.91 |
| 10a | – | – | – | 15.6 | 15.6 | – | 500 |
| 11a | <0.24 | 0.49 | 1.95 | 0.49 | 0.98 | <0.24 | <0.24 |
| 11b | 0.24 | 0.49 | 1.95 | <0.24 | 0.98 | <0.24 | <0.24 |
| 11c | – | 1.9 | 1.9 | 1.9 | – | 1.9 | 3.9 |
| 12a | <0.24 | 0.49 | 1.95 | 0.49 | 0.98 | <0.24 | <0.24 |
| 12b | <0.24 | 0.49 | <0.24 | <0.24 | 0.98 | <0.24 | <0.24 |
| 12c | – | <1 | <1 | <1 | – | <1 | <1 |
| Amp. | 10 | 18 | >128 | 10 | 35 | 15 | – |
| Norf. | <0.24 | <0.24 | <0.24 | <0.24 | <0.24 | <0.24 | <0.24 |
| Cip. | <0.24 | <0.24 | <0.24 | <0.24 | <0.24 | <0.24 | <0.24 |
| Strep. | 4 |
Ec, Escherichia coli ATCC 25922; Yp, Yersinia pseudotuberculosis ATCC 911; Pa, Pseudomonas aeruginosa ATCC 43288; Sa, Staphylococcus aureus ATCC 25923; Ef, Enterococcus faecalis ATCC 29212; Bc, Bacillus cereus 702 Roma; Ms, M. smegmatis ATCC607; Amp., Ampicillin; Strep., streptomycin; Norf., Norloxacin; Cip., Ciprofloxacin; –, no activity.
Experimental
Chemistry
The chemicals were purchased from Fluka Chemie AG (Buchs, Switzerland) and used without purification. Melting points were determined in open capillaries on a Büchi B-540 melting point apparatus and are uncorrected. Reactions were monitored by TLC on silica gel 60 F254 aluminum sheets. The mobile phase was ethyl acetate/diethyl ether (1:1) and detection was made using UV light. Fourier transforminfrared(FT-IR) spectra were recorded using a Perkin Elmer 1600 series spectrometer. 1H NMR and 13C NMR spectra were registered in DMSO-d6 on a Bruker Avene II 400 NMR spectrometer (400 MHz for 1H and 100 MHz for 13C). The elemental analysis was performed on a Costech Elemental Combustion System CHNS-O elemental analyzer. The electron ionization (EI) mass spectra were obtained on a Quattro GC-MS (70 eV) instrument. MW-assisted reactions were performed in a CEM Discovery reactor.
1-(2-Fluoro-4-nitrophenyl)-4-(4-fluorophenyl)piperazine (2)
Method 1
A mixture of 1-(4-fluorophenyl)-piperazine (10 mmol), 3,4-difluoronitrobenzene (10 mmol) and NaHCO3 (30 mmol) in acetonitrile (50 mL) was heated under reflux for 8 h. Concentration under reduced pressure resulted in the formation of a yellow solid that was treated with water, filtered off and crystallized from ethyl acetate to give the target yellow compound in a 64% yield.
Method 2
A mixture of 1-(4-fluorophenyl)-piperazine (1 mmol), NaHCO3 (3 mmol) and 3,4-difluoronitrobenzene (1 mmol) was irradiated in a MW reactor with pressure control at 125°C, 150 W for 30 min. The yellow solid obtained was treated with water, filtered off and crystallized from ethyl acetate to give the target yellow compound in a 90% yield; mp 95–96°C; IR: νmax 3081 (aromatic CH), 2975 (aliphatic CH), 1503 and 1337 cm−1 (NO2); 1H NMR: δ 3.23 (brs, 4H, 2CH2), 3.42 (brs, 4H, 2CH2), 6.99–7.02 (m, 2H, ArH), 7.05–7.10 (m, 2H, ArH), 7.21 (t, 1H, ArH, J=8.8 Hz), 8.02 (d, 2H, ArH, J=11.2 Hz);13C NMR: δ 49.4 (2CH2), 49.5 (CH2), 49.5 (CH2), Aryl-C: [112.6 and 112.8 (d, CH, J=20 Hz), 115.7 and 115.9 (d, 2CH, J=20 Hz), 117.9 and 118.0 (d, 2CH, J=10 Hz), 118.5 and 118.6 (d, CH, J=10 Hz), 121.7 (CH), 139.9 and 140.0 (d, C, J=10 Hz), 145.5 and 145.6 (d, C, J=10 Hz), 148.0 (C), 151.3 and 153.8 (d, C, JC–F=250 Hz), 155.6 and 157.9 (d, C, JC−F =230 Hz)]; MS: m/z 360.57 ([M+2+K]+, 93), 321.45 ([M+2]+, 33), 193.14 (42), 150.94 (49), 135.03 (100), 117.04 (55%). Anal. Calcd for C16H15F2N3O2: C, 60.18; H, 4.73; N, 13.16. Found: C, 60.58; H, 4.65; N, 13.01.
3-Fluoro-4-[4-(4-fluorophenyl)piperazin-1-yl]aniline (3)
Method 1
Pd/C catalyst (5 mmol) and hydrazine hydrate (50 mmol) were added to the solution of compound 2 (10 mmol) in 1-butanol (50 mL) and the mixture was heated under reflux for 15 h and then the catalyst was removed by filtrating the hot mixture on celite. Concentration under reduced pressure resulted in the formation of an oily mass that was crystallized from ethanol to give the target white compound in a 53% yield.
Method 2
Pd/C (5 mmol) catalyst and hydrazine hydrate (5 mmol) were added to the solution of compound 2 (10 mmol) in 1-butanol and the mixture was irradiated in a MW reactor with pressure control at 150°C, 200 W for 50 min. Then, the catalyst was separated by filtration and the solvent was evaporated under reduced pressure. The white solid obtained was crystallized from ethanol to give the target compound in a 71% yield; mp 156–157°C; IR: νmax 3500 and 3407 (NH2), 3060 (aromatic CH), 2972 cm−1 (aliphatic CH); 1H NMR: δ 2.96 (brs, 4H, 2CH2), 3.17 (brs, 4H, 2CH2), 5.02 (s, 2H, NH2), 6.32–6.78 (m, 2H, ArH), 6.80 (t, 1H, ArH, J=9.2 Hz), 6.95–6.98 (m, 2H, ArH), 7.03–7.07 (m, 2H, ArH); 13C NMR: δ 49.8 (2CH2), 51.7 (2CH2), Aryl-C: [102.3 and 102.5 (d, CH, J=20 Hz), 110.05 (CH), 115.6 and 115.8 (d, 2CH, J=20 Hz), 117.7 and 117.8 (d, 2CH, J=10 Hz), 121.1 (CH), 129.4 and 129.5 (d, C, J=10 Hz), 145.9 and 146.0 (d, C, J= 10 Hz), 148.4 (C), 155.4 and 157.7 (d, C, JC−F =230 Hz), 155.6 and 158.0 (d, C, JC−F =240 Hz)]; MS: m/z 290.38 ([M+1]+, 21), 181.26 (100), 138.18 (79%). Anal. Calcd for C16H17F2N3: C, 66.42; H, 5.92; N, 14.52. Found: C, 66.58; H, 5.85; N, 14.31.
Ethyl 2-{3-fluoro-4-[4-(4-fluorophenyl)piperazin-1-yl]phenyl}amino)acetate (4)
Method 1
A mixture of compound 3 (10 mmol) and triethylamine (15 mmol) in dry tetrahydrofuran (50 mL) was treated dropwise at 0–5°C with ethyl bromoacetate (10 mmol). Then, the mixture was allowed to reach room temperature and was stirred for an additional 24 h. The precipitated triethylammonium salt was removed by filtration. Concentration under reduced pressure resulted in the formation of a brown solid that was crystallized from ethanol/water (1:3) to give the target compound in a 47% yield.
Method 2
Triethylamine (1.5 mmol) was added dropwise at 0–5°C to the mixture of compound 3 (1 mmol) and ethyl bromoacetate (1 mmol). Then, the mixture was irradiated in a MW reactor with pressure control at 70°C, 70 W for 8 min. Water was added and the resultant solid was filtered off and crystallized from ethanol/water (1:3) to give the target brown compound in a 88% yield; mp 131–132°C; IR: νmax 3384 (NH), 3084 (aromatic CH), 1721 cm−1 (C=O); 1H NMR: δ 1.19 (t, 3H, CH3, J=7.2 Hz), 2.95 (brs, 4H, 2CH2), 3.17 (brs, 4H, 2CH2), 3.86 (d, 2H, CH2, J=8.0 Hz), 4.11 (q, 2H, CH2, J=6.8 Hz), 5.03 (brs, 1H, NH), 6.31–6.39 (m, 2H, ArH), 6.81 (t, 1H, ArH, J=8.0 Hz), 6.96–6.99 (m, 2H, ArH), 7.03–7.08 (m, 2H, ArH); 13C NMR: δ 14.6 (CH3), 45.4 (CH2), 46.3 (CH2), 49.9 (CH2), 51.6 (CH2), 54.4 (CH2), 60.7 (CH2), Aryl-C: [100.9 and 101.2 (d, CH, J=20 Hz), 102.3 and 102.5 (d, CH, J=20 Hz), 115.6 and 115.8 (d, 2CH, J=20 Hz), 117.6 and 117.7 (d, CH, J=10 Hz), 117.7 and 117.8 (d, 2CH, J=10 Hz), 129.5 and 129.9 (d, C, J=40 Hz), 145.5 and 145.6 (d, C, J=10 Hz), 145.9 and 146.0 (d, C, J=10 Hz), 148.4 and 155.4 (d, C, JC−F =700 Hz), 155.6 and 158.0 (d, C, JC−F =240 Hz)], 171.6 (C=O); MS: m/z 376.36 ([M]+, 12), 188.22 (99), 160.19 (100%). Anal. Calcd for C20H23F2N3O2: C, 63.99; H, 6.18; N, 11.19. Found: C, 63.78; H, 6.15; N, 11.01.
2-{3-Fluoro-4-[4-(4-fluorophenyl)piperazin-1-yl]phenylamino}acetohydrazide (5)
Method 1
Hydrazine hydrate (25 mmol) was added to a solution of compound 4 (10 mmol) in ethanol and the mixture was heated under reflux for 10 h. Concentration under reduced pressure resulted in the formation of a white solid that was crystallized from ethyl acetate to give the target compound in a 72% yield.
Method 2
A mixture of hydrazine hydrate (2.5 mmol) and compound 4 (1 mmol) was irradiated in a MW reactor with pressure control at 150°C, 125 W for 30 min. The product was crystallized from ethyl acetate to give white compound in a 95% yield; mp 146–148°C; IR: νmax 3500 and 3406 (NH2), 3304 (2NH), 1631 cm−1 (C=O); 1H NMR: δ 2.97 (brs, 4H, 2CH2), 3.17 (brs, 4H, 2CH2), 3.59 (d, 2H, CH2, J=8.0 Hz), 5.02 (brs, 2H, NH2), 5.89 (s, 1H, NH), 6.33–6.42 (m, 2H, ArH), 6.80 (t, 1H, ArH, J=8.8 Hz), 6.83–7.08 (m, 4H, ArH), 9.11 (s, 1H, NH); 13C NMR: δ 45.4 (CH2), 46.5 (CH2), 49.8 (2CH2), 51.6 (CH2), Aryl-C: [100.9 and 101.2 (d, CH, J=20 Hz), 102.3 and 102.5 (d, CH, J=20 Hz), 115.6 and 115.8 (d, 2CH, J=20 Hz), 117.6 and 117.7 (d, CH, J=10 Hz), 117.7 and 117.8 (d, 2CH, J=10 Hz), 129.5 and 129.9 (d, C, J=40 Hz), 145.6 and 145.7 (d, C, J=10 Hz), 145.9 and 146.0 (d, C, J=10 Hz), 153.5 and 155.4 (d, C, JC−F =190 Hz), 155.6 and 158.0 (d, C, JC−F =240 Hz)], 159.6 (C=O); MS: m/z 362.35 ([M+1]+, 100), 290.33 (42), 174.27 (40), 155.19 (47%). Anal. Calcd for C18H21F2N5O: C, 59.82; H, 5.86; N, 19.38. Found: C, 60.00; H, 5.65; N, 19.01.
General method for synthesis of compounds 6a–c
Method 1
Alkyl(aryl) isothiocyanate (10 mmol) was added to a solution of compound 5 (10 mmol) in dichloromethane and the mixture was stirred at room temperature for 24 h. The resultant solid was collected by filtration and crystallized from acetone/diethyl ether (1:2).
Method 2
A mixture of compound 5 (1 mmol) and alkyl(aryl) isothiocyanate (1 mmol) was irradiated in a MW reactor with pressure control at 125°C, 150 W for 8 min without any solvent. The resultant solid product was crystallized from acetone/diethyl ether (1:2).
2-{2-[3-Fluoro-4-(4-[4-fluorophenyl]piperazin-1-yl)phenyl]amino)acetyl}-N-phenylhydrazinecarbothioamide (6a)
Yield 75%, method 1); 97%, method 2; mp 130–133°C; IR: νmax3341 (NH), 3295 (NH), 3229 (2NH), 3042 (aromatic CH), 1673 (C=O), 1243 cm−1 (C=S); 1H NMR: δ 2.98 (brs, 2H, CH2), 3.14 (brs, 2H, CH2), 3.19 (s, 2H, CH2), 3.35 (s, 2H, CH2), 3.79 (s, 2H, CH2), 6.99–7.16 (m, 7H, ArH), 7.15 (t, 1H, ArH, J=8.0 Hz), 7.32–7.35 (m, 2H, ArH), 7.42–7.48 (m, 2H, ArH), 9.67 (s, 1H, NH), 9.78 (s, 2H, 2NH), 10.10 (s, 1H, NH); 13C NMR: δ 45.8 (CH2), 49.7 (CH2), 49.9 (CH2), 50.7 (CH2), 51.6 (CH2), Aryl-C: [112.4 and 112.6 (d, CH, J=20 Hz), 115.6 and 115.7 (d, CH, J=10 Hz), 115.8 and 115.9 (d, 2CH, J=10 Hz), 117.36 and 117.7 (d, 2CH, J=40 Hz), 119.3 and 119.4 (d, CH, J=10 Hz), 128.6 (2CH), 128.8 (2CH), 128.9 (CH), 139.8 and 139.9 (d, C, J=10 Hz), 141.7 (2C), 145.8 (C), 148.3 and 153.9 (d, C, JC−F =560 Hz), 148.4 and 155.8 (d, C, JC−F =740 Hz)], 157.83 (C=O), 180.01 (C=S); MS: m/z 497.32 ([M+1]+, 12), 425.30 (18), 309.20 (48), 174.15 (100%). Anal. Calcd for C25H26F2N6OS: C, 60.47; H, 5.28; N, 16.92. Found: C, 60.16; H, 5.00; N, 16.61.
N-Benzyl-2-{2-[3-fluoro-4-(4-[4-fluorophenyl]piperazin-1-yl)phenyl]amino)acetyl}hydrazinecarbothioamide (6b)
Yield 70%, method 1, 96%, method 2; mp 160–161°C; IR: νmax 3399 (NH), 3251 (2NH), 3146 (NH), 1667 (C=O), 1220 cm−1 (C=S); 1H NMR: δ 2.99 (brs, 2H, CH2), 3.13 (brs, 2H, CH2), 3.20 (s, 2H, CH2), 3.34 (s, 2H, CH2), 3.74 (s, 2H, CH2), 4.74 (s, 2H, CH2), 7.04 (d, 2H, ArH, J=16.0 Hz), 7.67 (d, 3H, ArH, J=4.0 Hz), 7.29–7.34 (m, 7H, ArH), 8.16 (s, 1H, NH), 8.42 (s, 1H, NH), 9.42 (s, 1H, NH), 9.59 (s, 1H, NH); 13C NMR: δ 48.2 (CH2), 49.7 (CH2), 49.9 (CH2), 50.7 (CH2), 50.8 (CH2), 51.6 (CH2), Aryl-C: [115.6 and 115.7 (d, 2CH, J=10 Hz), 115.8 and 115.9 (d, CH, J=10 Hz), 117.6 (CH), 117.7 and 117.8 (d, 2CH, J=10 Hz), 117.8 and 117.9 (d, CH, J=10 Hz), 127.3 (CH), 127.4 (2CH), 128.0 (2CH), 134.4 (C), 139.4 and 139.7 (d, C, J=30 Hz), 145.6 and 145.7 (d, C, J=10 Hz), 145.6 and 145.7 (d, C, J=10 Hz), 148.3 and 153.5 (d, C, J=520 Hz), 148.4 and 155.4 (d, C, J=700 Hz), 158.0 (C=O), 181.3 (C=S); MS: m/z 511.28 ([M+1]+, 27), 402.40 (31), 332.32 (29), 323.38 (100), 267.19 (39), 193.29 (90%). Anal. Calcd for C26H28F2N6OS: C, 61.16; H, 5.53; N, 16.46. Found: C, 61.11; H, 5.19; N, 16.51.
N-Ethyl-2-{2-[3-fluoro-4-(4-[4-fluorophenyl]piperazin-1-yl)phenyl]amino)acetyl}hydrazinecarbothioamide (6c)
Yield 70%, method 1, 91%, method 2; mp 175–177°C; IR: νmax 3303 (2NH), 3272 (NH), 3156 (NH), 3002 (aromatic CH), 2880 (aliphatic CH), 1634 (C=O), 1240 cm−1 (C=S); 1H NMR: δ 1.05 (t, 3H, CH3, J=6.8 Hz), 2.97 (brs, 4H, 2CH2), 3.18 (brs, 4H, 2CH2), 3.36 (s, 2H, CH2), 3.59 (s, 2H, CH2), 4.51 (brs, 2H, 2NH), 5.89 (s, 1H, NH), 6.81–6.90 (m, 2H, ArH), 6.98–7.06 (m, 5H, ArH), 9.12 (s, 1H, NH); 13C NMR: δ 14.8 (CH3), 45.9 (CH2), 49.1 (CH2), 49.7 (CH2), 49.9 (CH2), 50.8 (CH2), 51.6 (CH2), Aryl-C: [100.9 and 101.2 (d, CH, J=20 Hz), 102.3 and 102.5 (d, CH, J=20 Hz), 108.3 (CH), 115.6 and 115.8 (d, 2CH, J=20 Hz), 117.7 and 117.8 (d, 2CH, J=10 Hz), 129.9 and 130.0 (d, C, J= 10 Hz), 142.9 (C), 145.7 and 145.8 (d, C, J=10 Hz), 148.4 and 151.5 (d, C, JC−F = 310 Hz), 155.4 and 158.0 (d, C, JC−F = 260 Hz)], 157.7 (C=O), 169.7 (C=S); MS: m/z 393.27 (18), 392.27 (96), 348.34 (100), 330.32 (40), 290.34 (67), 153.00 (76%). Anal. Calcd for C21H26F2N6OS: C, 56.23; H, 5.84; N, 18.74. Found: C, 56.16; H, 5.90; N, 18.61.
General method for synthesis of compounds 7a–c
Method 1
A solution of compound 6 (10 mmol) in water was heated under reflux in the presence of 2M NaOH (50 mL) for 6 h, then cooled to room temperature and acidified to pH 4 with 37% HCl. The resultant precipitate was filtered off, washed with water and crystallized from dimethyl sulfoxide/water (1:4).
Method 2
A solution of 6 (1 mmol) in 2N NaOH (5 mL) was irradiated in a MW reactor with pressure control at 150°C, 200 W for 15 min, then cooled to room temperature and acidified to pH 4 with 37% HCl. The resultant precipitate was filtered off, washed with water and crystallized from dimethyl sulfoxide/water (1:4).
5-[({3-Fluoro-4-[4-(4-fluorophenyl)piperazin-1-yl]phenyl}amino)methyl]-4-phenyl-2,4-dihydro-3H-1,2,4-triazole-3-thione (7a)
Yield 58%, method 1, 89%, method 2; mp 154–156°C; IR: νmax3367 (NH), 3044 (aromatic CH), 1507 (C=N), 1226 cm−1 (C=S); 1H NMR: δ 2.97 (brs, 2H, CH2), 3.23 (brs, 4H, 2CH2), 3.34 (s, 4H, 2CH2), 6.99–7.08 (m, 6H, ArH), 7.33 (t, 1H, ArH, J=8.0 Hz), 7.42–7.48 (m, 3H, ArH), 7.54 (t, 2H, ArH, J=7.6 Hz), 9.55 (brs, 2H, NH); 13C NMR: δ 49.7 (2CH2), 49.8 (CH2), 50.7 (CH2), 51.5 (CH2), Aryl-C: [101.1 and 101.3 (d, CH, J=20 Hz), 108.4 (CH), 115.8 and 115.9 (d, 2CH, J=10 Hz), 117.7 and 117.8 (d, CH, J=10 Hz), 117.8 and 117.9 (d, 2CH, J=10 Hz), 128.5 (CH), 128.9 (2CH), 129.8 (2CH), 139.8 (2C), 144.9 and 145.0 (d, C, J=10 Hz), 148.3 and 148.4 (d, C, J=10 Hz), 150.7 and 155.4 (d, C, JC−F =470 Hz), 153.4 and 157.8 (d, C, JC−F =440 Hz)], 168.6 (triazole C-3), 180.0 (triazole C-5); MS: m/z 479.43 ([M+1]+, 23), 447.52 (41), 391.45 (26), 360.61 (100), 332.39 (30), 288.27 (30), 195.29 (60%). Anal. Calcd for C25H24F2N6S: C, 62.74; H, 5.05; N, 17.56. Found: C, 62.67; H, 5.00; N, 17.60.
4-Benzyl-5-[({3-fluoro-4-[4-(4-fluorophenyl)piperazin-1-yl]phenyl}amino)methyl]-2,4-dihydro-3H-1,2,4-triazole-3-thione (7b)
Yield 68%, method 1, 85%, method 2; mp 171–173°C; IR: νmax 3251 (NH), 3087 (aromatic CH), 2953 (aliphatic CH), 1509 (C=N), 1245 cm−1 (C=S); 1H NMR: δ 2.97 (brs, 4H, 2CH2), 3.22 (brs, 4H, 2CH2), 4.15 (d, 2H, CH2, J=5.6 Hz), 5.33 (s, 2H, CH2), 6.37 (s, 1H, ArH), 6.83 (t, 1H, ArH, J=9.2 Hz), 6.96–7.07 (m, 5H, ArH), 7.28–7.34 (m, 5H, ArH), 9.66 (brs, 2H, NH); 13C NMR: δ 46.1 (CH2), 47.2 (CH2), 49.7 (CH2), 49.8 (CH2), 50.8 (CH2), 51.5 (CH2), Aryl-C: [101.1 and 101.3 (d, CH, J=20 Hz), 108.5 (CH), 115.6 and 115.7 (d, CH, J=10 Hz), 115.8 and 115.9 (d, 2CH, J=10 Hz), 117.7 and 117.8 (d, 2CH, J=10 Hz), 127.6 (2CH), 127.8 (CH), 128.7 (2CH), 130.3 and 130.4 (d, C, J=10 Hz), 136.2 (C), 139.5 (C), 144.8 and 144.9 (d, C, J=10 Hz), 150.6 and 155.4 (d, C, JC−F =480 Hz), 155.4 and 157.7 (d, C, JC−F =230 Hz)], 168.3 (triazole C-3), 181.4 (triazole C-5); MS: m/z 516.34 ([M+1+Na]+, 30), 515.34 ([M+Na]+, 91), 512.46 (100), 493.32 ([M+1]+ 11), 461.34 (70), 447.45 (31), 360.54 (52%). Anal. Calcd for C26H26F2N6S: C, 63.40; H, 5.32; N, 17.06. Found: C, 63.36; H, 5.09; N, 16.81.
4-Ethyl-5-[({3-fluoro-4-[4-(4-fluorophenyl)piperazin-1-yl]phenyl}amino)methyl]-4H-1,2,4-triazole-3-thiol (7c)
Yield 52%, method 1, 90%, method 2; mp 177–180°C; IR: νmax 3385 (NH), 3060 (aromatic CH), 2850 (SH), 2954 (aliphatic CH), 1506 cm−1 (C=N); 1H NMR: δ 1.10 (t, 3H, CH3, J=7.2 Hz), 3.18 (brs, 4H, 2CH2), 3.35 (brs, 4H, 2CH2), 4.01 (q, 2H, CH2, J=7.2 Hz), 4.34 (d, 2H, CH2, J=5.6 Hz), 6.99–7.09 (m, 7H, ArH), 13.63 (s, 1H, SH); 13C NMR: δ 14.63 (CH3), 49.73 (2CH2), 49.85 (CH2), 50.75 (CH2), 51.50 (2CH2), Aryl-C: [101.0 and 101.2 (d, CH, J=20 Hz), 108.6 (CH), 115.6 and 115.7 (d, 2CH, J=10 Hz), 115.8 and 115.9 (d, 2CH, J=10 Hz), 117.8 (CH), 134.8 and 136.4 (d, C, J=160 Hz), 144.9 and 145.0 (d, C, J=10 Hz), 148.3 (C), 150.4 and 155.5 (d, C, JC−F =510 Hz), 153.5 and 157.9 (d, C, JC−F=440 Hz)], 155.9 (triazole C-3), 180.0 (triazole C-5); MS: m/z 432.24 ([M+2]+, 26), 431.24 ([M+1]+, 100), 377.24 (26), 332.13 (24), 289.21 (36), 152.93 (24%). Anal. Calcd for C21H24F2N6S: C, 58.89; H, 5.62; N, 19.52. Found: C, 59.00; H, 5.70; N, 19.61.
General method for synthesis of compounds 8a–c
Method 1
A solution of compound 7 (10 mmol) and sodium ethoxide prepared from metallic sodium (10 mmol) and ethanol was heated under reflux for 2 h. Then, 2-bromo-1-(4-chlorophenyl)ethanone (10 mmol) was added and the mixture was heated under reflux for an additional 20 h and then concentrated and the residue was treated with water. The resultant solid was crystallized from acetone to give an orange product.
Method 2
A solution of compound 7 (1 mmol) in ethanol was irradiated at 125°C, 150 W for 5 min in the presence of sodium methoxide. Then, 2-bromo-1-(4-chlorophenyl)ethanone (1 mmol) was added and the mixture was irradiated in a MW reactor with pressure control at 150°C, 150 W for 20 min. Concentration under reduced pressure resulted in the formation of an orange solid that was treated with water, filtered off and crystallized from acetone.
1-(4-Chlorophenyl)-2-{3-[({3-fluoro-4-[4-(4-fluorophenyl)piperazin-1-yl]phenyl}amino)methyl]-4-phenyl-5-thioxo-4,5-dihydro-1H-1,2,4-triazol-1-yl}ethanone (8a)
Yield 35%, method 1, 75%, method 2; mp 140–142°C; IR: νmax 3285 (NH), 3067 (aromatic CH), 1698 (C=O), 1508 (C=N), 1225 cm−1 (C=S); 1H NMR: δ 2.95 (brs, 4H, 2CH2), 3.17 (brs, 4H, 2CH2), 4.17 (s, 2H, CH2), 4.86 (s, 2H, CH2), 5.91 (brs, 1H, NH), 6.98 (s, 5H, ArH), 7.46 (s, 8H, ArH), 8.01 (s, 3H, ArH); 13C NMR: δ 38.8 (CH2), 49.7 (CH2), 49.8 (2CH2), 50.9 (CH2), 51.5 (CH2), Aryl-C: [101.0 and 101.2 (d, CH, J=20 Hz), 108.5 (CH), 115.6 and 115.8 (d, 2CH, J=20 Hz), 117.7 and 117.8 (d, 2CH, J=10 Hz), 118.7 (CH), 127.5 (2CH), 129.4 (2CH), 130.0 (2CH), 130.3 (2CH), 130.4 (CH), 133.2 (C), 134.5 (2C), 139.1 (2C), 145.2 (C), 148.3 and 154.2 (d, C, JC−F =590 Hz), 150.6 and 155.4 (d, C, JC−F =480 Hz)], 157.8 (triazole C-3+triazole C-5), 192.7 (C=O); MS: m/z 655.30 ([M+1+Na]+, 32), 654.36 ([M+Na]+, 46), 484.43 (89), 447.71 (48), 431.45 (100%). Anal. Calcd for C33H29ClF2N6OS: C, 62.80; H, 4.63; N, 13.32. Found: C, 62.66; H, 4.40; N, 13.61.
4-Benzyl-3-[({3-fluoro-4-[4-(4-fluorophenyl)piperazin-1-yl]phenyl}amino)methyl]-5-thioxo-4,5-dihydro-1H-1,2,4-triazol-1-yl}-1-(4-chlorophenyl)ethanone (8b)
Yield: 32%, method 1), 52%, method 2; mp 190–192°C; IR: νmax 3377 (NH), 3000 (aromatic CH), 2955 (aliphatic CH), 1683 (C=O), 1506 (C=N), 1226 cm−1 (C=S); 1H NMR: δ 2.99 (brs, 4H, 2CH2), 3.22 (brs, 6H, 3CH2), 5.33 (s, 4H, 2CH2), 6.17 (s, 3H, ArH), 6.73 (t, 2H, ArH, J=8.0 Hz), 6.90–7.17 (m, 5H, ArH), 7.28–7.94 (m, 6H, ArH), NH was not observed; 13C NMR: δ 47.2 (CH2), 49.7 (CH2), 49.9 (2CH2), 51.5 (3CH2), Aryl-C: [108.5 (2CH), 115.6 and 115.7 (d, CH, J=10 Hz), 115.4 and 116.0 (d, 2CH, J=20 Hz), 117.7 and 117.8 (d, 2CH, J=10 Hz), 123.8 (2CH), 126.0 (CH), 127.6 (2CH), 127.8 (2CH), 129.0 (2CH), 130.3 and 130.4 (d, 2C, J=10 Hz), 136.2 (C), 139.5 (2C), 144.8 and 144.9 (d, C, J=10 Hz), 150.6 and 155.4 (d, C, JC−F =480 Hz), 155.5 and 157.7 (d, C, JC−F =200 Hz)], 158.3 (triazole C-3), 165.4 (triazole C-5), 185.3 (C=O); MS: m/z 646.89 ([M+1]+, 34), 458.00 (100), 234.09 (76%). Anal. Calcd for C34H31ClF2N6OS: C, 63.30; H, 4.84; N, 13.03. Found: C, 63.13; H, 5.00; N, 13.21.
1-(4-Chlorophenyl)-2-({4-ethyl-5-[({3-fluoro-4-[4-(4-fluorophenyl)piperazin-1-yl]phenyl} amino)methyl]-4H-1,2,4-triazol-3-yl}thio)ethanone (8c)
Yield 22%, method 1, 65%, method 2; mp 144–147°C; IR: νmax 3370 (NH), 3054 (aromatic CH), 2951 (aliphatic CH), 1692 (C=O), 1507 cm−1 (C=N); 1H NMR: δ 1.10 (t, 3H, CH3, J=6.4 Hz), 2.99 (brs, 2H, CH2), 3.19 (brs, 8H, 4CH2), 4.02 (d, 2H, CH2, J=6.8 Hz), 4.38 (s, 2H, CH2), 4.92 (s, 1H, NH), 7.00–7.08 (m, 7H, ArH), 7.53 (d, 2H, ArH, J=8.0 Hz), 7.61 (t, 1H, ArH, J=7.6 Hz), 8.02 (d, 1H, ArH, J=8.0 Hz); 13C NMR: δ 15.4 (CH3), 49.8 (2CH2), 49.9 (2CH2), 50.8 (2CH2), 51.6 (CH2), Aryl-C: [100.9 (CH), 108.7 (CH), 115.7 and 115.9 (d, 2CH, J=20 Hz), 117.8 and 117.9 (d, 2CH, J=10 Hz), 120.6 (CH), 129.4 (2CH), 130.8 (2CH), 134.5 (2C), 139.1 (2C), 148.2 (C), 149.5 and 153.8 (d, 2C, JC−F =430 Hz)], 155.5 (triazole C-3 and triazole C-5), 192.8 (C=O); MS: m/z 583.21 ([M]+, 71), 571.25 (47), 569.24 (100%). Anal. Calcd for C29H29ClF2N6OS: C, 59.73; H, 5.01; N, 14.41. Found: C, 60.00; H, 5.09; N, 14.31.
General method for synthesis of compounds 9a–c
Method 1
Compound 8 (10 mmol) was stirred in the presence of NaBH4 (30 mmol) in absolute ethanol (40 mL) at room temperature for 24 h (for 9a and 9c) or heated under reflux for 18 h (for 9b). Concentration under reduced pressure resulted in the formation of a white solid that was washed with water and crystallized from acetone.
Method 2
A solution of compound 8 (1 mmol) and NaBH4 (3 mmol) in ethanol was irradiated at 100°C, 100 W for 20 min. Concentration under reduced pressure resulted in the formation of a white solid that was washed with water and crystallized from acetone.
2-[2-(4-Chlorophenyl)-2-hydroxyethyl]-5-[({3-fluoro-4-[4-(4-fluorophenyl)piperazin-1-yl]phenyl}amino)methyl]-4-phenyl-2,4-dihydro-3H-1,2,4-triazole-3-thione (9a)
Yield 45%, method 1, 75%, method 2; mp 153–155°C; IR: νmax 3298 (OH), 3049 (aromatic CH), 2920 (aliphatic CH), 1508 (C=N), 1223 cm−1 (C=S); 1H NMR: δ 2.96 (brs, 4H, 2CH2), 3.16 (brs, 4H, 2CH2), 3.22 (s, 2H, CH2), 4.17 (d, 2H, CH2, J=8.0 Hz), 4.85 (q, 1H, CH, J=4.4 Hz), 5.89 (brs, 1H, OH), 6.96–7.08 (m, 7H, ArH), 7.29–7.45 (m, 6H, ArH), 7.56 (t, 3H, ArH, J=4.0 Hz), signal for NH was not observed; 13C NMR: δ 38.8 (CH2), 41.0 (CH2), 49.7 (CH2), 49.8 (CH2), 51.0 (CH2), 51.5 (CH2), 70.7 (CH), Aryl-C: [101.0 and 101.2 (d, CH, J=20 Hz), 106.9 and 107.2 (d, CH, J=30 Hz), 108.5 (CH), 115.8 and 115.9 (d, 2CH, J=10 Hz), 117.7 and 117.8 (d, 2CH, J=10 Hz), 127.6 (2CH), 128.3 (2CH), 128.5 (CH), 130.3 (2CH), 130.4 (2CH), 130.0 and 130.1 (d, C, J=10 Hz), 132.2 (C), 133.3 (C), 143.2 (C), 145.2 and 145.3 (d, C, J=10 Hz), 148.3 and 148.4 (d, C, J= 10 Hz), 151.6 and 155.4 (d, C, JC−F =380 Hz), 152.9 and 157.7 (d, C, JC−F =480 Hz)], 154.1 (triazole C-3), 155.4 (triazole C-5); MS: m/z 657.13 ([M+2+Na]+, 51), 655.18 ([M+Na]+, 100%). Anal. Calcd for C33H31ClF2N6OS: C, 62.60; H, 4.94; N, 13.27. Found: C, 62.50; H, 5.04; N, 13.31.
4-Benzyl-2-[2-(4-chlorophenyl)-2-hydroxyethyl]-5-[({3-fluoro-4-[4-(4-fluorophenyl)piperazin-1-yl]phenyl}amino)methyl]-2,4-dihydro-3H-1,2,4-triazole-3-thione (9b)
Yield 48%, method 1, 68%, method 2; mp 180–182°C; IR: νmax 3357 (OH), 3025 (aromatic CH), 3122 (NH), 2953 (aliphatic CH), 1505 (C=N), 1235 cm−1 (C=S); 1H NMR: δ 3.11 (s, 2H, CH2), 3.12 (brs, 4H, 2CH2), 3.18 (brs, 4H, 2CH2), 3.34 (s, 4H, 2CH2), 5.05 (s, 1H, CH), 6.35 (brs, 1H, OH), 6.75–6.78 (m, 2H, ArH), 6.99–7.09 (m, 5H, ArH), 7.19–7.37 (m, 7H, ArH), 7.41–7.51 (m, 2H, ArH), 9.07 (brs, 1H, NH); 13C NMR: δ 40.6 (2CH2), 44.1 (2CH2), 50.1 (3CH2), 70.1 (CH), Aryl-C: [106.2 (2CH), 108.2 (2CH), 110.2 (2CH), 116.8 and 116.9 (d, 2CH, J=10 Hz), 118.43 and 118.54 (d, 2CH, J=11 Hz), 120.2 (CH), 125.5 (CH), 127.8 (CH), 129.3 (2CH), 130.0 (CH), 132.4 (2C), 133.8 (2C), 135.2 and 135.4 (d, 2C, J=20 Hz), 151.6 and 154.4 (d, 2C, JC−F =280 Hz)], 155.2 (triazole C-3), 162.7 (triazole C-5); MS: m/z 671.31 ([M+1+K]+, 28), 605.17 (100), 555.21 (35%). Anal. Calcd for C34H33ClF2N6OS: C, 63.10; H, 5.14; N, 12.99. Found: C, 63.00; H, 5.34; N, 12.88.
1-(4-Chlorophenyl)-2-({4-ethyl-5-[({3-fluoro-4-[4-(4-fluorophenyl)piperazin-1-yl]phenyl}amino)methyl]-4H-1,2,4-triazol-3-yl}thio)ethanol (9c)
Yield 40%, method 1, 71%, method 2); mp 166–168°C; IR: νmax 3321 (OH), 3051 (aromatic CH), 2953 (aliphatic CH), 1507 cm−1 (C=N); 1H NMR: δ 1.23 (brs, 3H, CH3), 2.97 (brs, 2H, CH2), 3.12 (brs, 2H, CH2), 3.18 (s, 2H, CH2), 3.23 (s, 2H, CH2), 3.34 (s, 4H, 2CH2), 3.94 (s, 2H, CH2), 4.37 (s, 1H, CH), 4.88 (brs, 1H, OH), 6.26 (s, 1H, NH), 6.80 (d, 1H, ArH, J=8.0 Hz), 7.00–7.07 (m, 6H, ArH), 7.39–7.52 (m, 2H, ArH), 7.58 (d, 2H, ArH, J=7.6 Hz); 13C NMR: δ 15.4 (CH3), 49.7 (CH2), 49.8 (2CH2), 50.9 (2CH2), 51.5 (2CH2), 70.8 (CH), Aryl-C: [100.9 and 101.2 (d, CH, J=30 Hz), 108.6 (CH), 109.5 and 109.7 (d, CH, J=20 Hz), 115.6 and 115.8 (d, 2CH, J=20 Hz), 117.7 and 117.8 (d, 2CH, J=30 Hz), 128.4 (2CH), 128.5 (2CH), 130.5 (C), 132.2 (2C), 134.5 (C), 138.8 (C), 143.2 and 148.3 (d, C, JC−F =510 Hz), 150.4 and 153.6 (d, C, JC−F =320 Hz)], 153.4 (triazole C-3), 158.9 (triazole C-5); MS: m/z 609.20 ([M+1+Na]+, 56), 607.25 (100%). Anal. Calcd for C29H31ClF2N6OS: C, 59.53; H, 5.34; N, 14.36. Found: C, 59.67; H, 5.16; N, 14.01.
General method for synthesis of compounds 10a–i
Method 1
NaH (10 mmol) was added to a solution of compound 9 (10 mmol) in tetrahydrofuran and the mixture was heated under reflux for 6 h. Then, the corresponding benzyl chloride was added and the mixture was heated under reflux for an additional 8–12 h. After concentration under reduced pressure, the resultant oily mass was treated with K2CO3 (10 mmol) solution and the mixture was extracted with ethyl acetate (3×15 mL). The organic layer was dried with Na2SO4 and concentrated under reduced pressure. The residue was crystallized from acetone (10a–d, 10g) or purified by silica gel column chromatography eluting with ethyl acetate/n-hexane (3:7, 10e, 10f, 10h, 10i).
Method 2
NaH (1 mmol) was added to a solution of compound 9 (1 mmol) in THF (10 mL) and the mixture was irradiated at 80°C, 100 W for 10 min. Then, the corresponding benzyl chloride (3 mmol) was added, and heating was continued for 20 min at 100°C at 150 W. After concentration the crude product was treated with K2CO3 (10 mmol) solution and the mixture was extracted with ethyl acetate (3×15 mL). The extract was dried with Na2SO4,concentrated under a reduced pressure and the residue was crystallized from acetone (10a–d, 10g) or purified by silica gel column chromatography eluting with ethyl acetate/n-hexane, (3:7, 10e, 10f, 10h, 10i).
2-[2-(4-Chlorophenoxy)-2-(4-chlorophenyl)ethyl]-5-[({3-fluoro-4-[4-(4-fluorophenyl)piperazin-1-yl]phenyl}amino)methyl]-4-phenyl-2,4-dihydro-3H-1,2,4-triazole-3-thione (10a)
This compound was obtained from 9a and 4-chlorobenzyl chloride; yield 25%, method 1, 70%, method 2; mp 58–60°C; IR: νmax, cm−1): 3263 (NH), 3056 (aromatic CH), 2919 (aliphatic CH), 1507 (C=N), 1227 (C=S), 1089 cm−1 (C-O); 1H NMR: δ 3.04 (brs, 4H, 2CH2), 3.24 (brs, 6H, 3CH2), 3.46 (s, 2H, CH2), 4.19 (s, 2H, CH2), 4.76 (brs, 1H, CH), 6.87–6.94 (m, 1H, ArH), 7.09 (s, 5H, ArH), 7.38–7.56 (m, 11H, ArH), 7.57 (d, 3H, ArH, J=7.2 Hz), NH was not observed; 13C NMR: δ 40.6 (CH2), 41.0 (CH2), 45.6 (CH2), 50.1 (CH2), 50.8 (CH2), 51.5 (CH2), 62.6 (CH2), 70.7 (CH), Aryl-C: [100.9 and 101.2 (d, CH, J=20 Hz), 108.6 (CH), 115.8 and 116.0 (d, CH, J=20 Hz), 118.5 (2CH), 127.6 (CH), 128.3 (2CH), 128.4 (2CH), 128.5 (CH), 128.6 (CH), 128.8 (CH), 128.9 (CH), 129.1 (CH), 129.1 (CH), 129.2 (2CH), 130.3 (2CH), 130.4 (C), 131.2 (C), 132.2 (2C), 137.2 (C), 137.7 (C), 143.2 (2C), 151.8 and 153.4 (d, C, JC−F =160 Hz), 151.9 and 154.0 (d, C, JC−F =210 Hz)], 155.4 (triazole C-3), 157.8 (triazole C-5); MS: m/z 780.21 ([M+Na]+, 24), 612.09 (54), 555.90 (15), 498.00 (100%). Anal. Calcd for C40H36Cl2F2N6OS: C, 63.40; H, 4.79; N, 11.09. Found: C, 63.34; H, 4.99; N, 11.31.
2-[2-(4-Chlorophenyl)-2-(2,4-dichlorophenoxy)ethyl]-5-[({3-fluoro-4-[4-(4-fluorophenyl)piperazin-1-yl]phenyl}amino)methyl]-4-phenyl-2,4-dihydro-3H-1,2,4-triazole-3-thione (10b)
This compound was obtained from 9a and 2,4-chlorobenzyl chloride; yield 32%, method 1, 55%, method 2; mp 150–152°C; IR: νmax 3263 (NH), 3066 (aromatic CH), 2917 (aliphatic CH), 1507 (C=N), 1227 (C=S), 1144 cm−1 (C-O); 1H NMR: δ 2.50 (s, 2H, CH2), 2.97 (s, 2H, CH2), 3.18 (brs, 4H, 2CH2), 3.36 (brs, 4H, 2CH2), 4.17 (s, 2H, CH2), 4.85 (t, 1H, CH, J=7.2 Hz), 6.30 (d, 1H, ArH, J=8.4 Hz), 6.41 (s, 5H, ArH), 6.83 (t, 2H, ArH, J=8.8 Hz), 6.99–7.43 (m, 7H, ArH), 7.56 (s, 4H, ArH), 8.98 (brs, 1H, NH); 13C NMR: δ 40.6 (CH2), 40.9 (CH2), 44.8 (CH2), 49.9 (CH2), 50.2 (CH2), 51.5 (2CH2), 70.7 (CH), Aryl-C: [101.0 and 101.2 (d, CH, J=20 Hz), 108.5 (CH), 115.6 and 115.8 (d, 2CH, J=20 Hz), 117.8 and 117.9 (d, 2CH, J=20 Hz), 121.0 (2CH), 127.6 (2CH), 128.3 (2CH), 128.5 (2CH), 128.6 (CH), 130.3 (2CH), 130.4 (2CH), 132.2 (2C), 133.3 (2C), 141.3 (2C), 143.2 (2C), 145.5 (C), 154.1 and 157.7 (d, 2C, JC−F = 360 Hz)], 151.6 (triazole C-3), 157.9 (triazole C-5); MS: m/z 793.45 ([M+1]+, 56), 605.25 (68), 551.21 (20), 321.98 (100%). Anal. Calcd for C40H35Cl3F2N6OS: C, 60.65; H, 4.45; N, 10.61. Found: C, 60.69; H, 4.31; N, 10.31.
2-[2-(4-Chlorophenyl)-2-(2,6-dichlorophenoxy)ethyl]-5-[({3-fluoro-4-[4-(4-fluorophenyl)piperazin-1-yl]phenyl}amino)methyl]-4-phenyl-2,4-dihydro-3H-1,2,4-triazole-3-thione (10c)
This compound was obtained from 9a and 2,6-chlorobenzyl chloride; yield 24%, method 1, 58%, method 2; mp 126–127°C; IR: νmax 3083 (aromatic CH), 2956 (aliphatic CH), 1508 (C=N), 1226 (C=S), 1091 cm−1 (C-O); 1H NMR: δ 3.17 (brs, 4H, 2CH2), 3.28 (brs, 4H, 2CH2), 4.84 (s, 7H, 3CH2+CH), 7.09 (brs, 4H, ArH), 7.27–7.34 (m, 6H, ArH), 7.34–7.54 (m, 9H, ArH), 8.98 (brs, 1H, NH); 13C NMR: δ 41.3 (2CH2), 58.8 (2CH2), 60.2 (3CH2), 70.3 (CH), Aryl-C: [108.2 and 108.4 (d, CH, J=20 Hz), 116.2 (2CH), 117.2 and 117.4 (d, 2CH, J=20 Hz), 118.3 and 118.4 (d, 2CH, J=10 Hz), 128.4 (CH), 128.5 (CH), 128.8 (CH), 128.9 (CH), 129.1 (CH), 129.6 (CH), 129.7 (2CH), 130.3 (2CH), 131.6 (2CH), 133.2 (2C), 135.6 (2C), 136.0 (2C), 136.5 (2C), 136.7 (C), 152.1 and 155.2 (d, 2C, JC−F =31.0 Hz)], 157.6 (triazole C-2), 161.1 (triazole C-5); MS: m/z 810.90 ([M+H2O]+, 12), 456.90 (100%). Anal. Calcd for C40H35Cl3F2N6OS: C, 60.65; H, 4.45; N, 10.61. Found: C, 60.78; H, 4.36; N, 10.50.
4-Benzyl-2-[2-[(4-chlorobenzyl)oxy]-2-(4-chlorophenyl)ethyl]-5-[({3-fluoro-4-[4-(4-fluorophenyl)piperazin-1-yl]phenyl}amino)methyl]-2,4-dihydro-3H-1,2,4-triazole-3-thione (10d)
This compound was obtained from 9b and 4-chlorobenzyl chloride; yield 31%, method 1, 55%, method 2; mp 42–44°C; IR: νmax 3120 (NH), 3092 (aromatic CH), 2918 (aliphatic CH), 1588 (C=N), 1237 cm−1 (C=S); 1H NMR: δ 3.11 (brs, 4H, 2CH2), 3.21 (brs, 4H, 2CH2), 3.40 (s, 6H, 3CH2), 4.40 (brs, 1H, CH), 5.05 (s, 2H, CH2), 6.37 (s, 1H, ArH), 6.75–6.78 (m, 2H, ArH), 7.06–7.09 (m, 8H, ArH), 7.21–7.29 (m, 5H, ArH), 7.34 (d, 2H, ArH, J=8.0 Hz), 7.47 (d, 2H, ArH, J=8.0 Hz), 11.10 (s, 1H, NH); 13C NMR: δ 48.2 (2CH2), 49.7 (3CH2), 51.0 (3CH2), 90.9 (CH), Aryl-C: [109.4 and 109.5 (d, CH, J= 10 Hz), 111.2 (CH), 115.7 and 115.8 (d, 2CH, J=10 Hz), 117.2 and 117.3 (d, 2CH, J=10 Hz), 117.8 and 117.9 (d, CH, J=10 Hz), 119.2 (2CH), 126.9 (2CH), 127.5 (2CH), 128.5 (2CH), 128.9 (CH), 129.2 (2CH), 130.2 (C), 130.9 (2CH), 134.5 (2C), 136.8 (2C), 137.6 (2C), 138.8 (C), 139.9 (C), 140.1 (C)], 148.3 (triazole C-3), 159.6 (triazole C-5); MS: m/z 732.19 (9), 461.27 (100), 177.90 (52%). Anal. Calcd for C41H38Cl2F2N6OS: C, 63.81; H, 4.96; N, 10.89. Found: C, 63.69; H, 4.78; N, 10.99.
4-Benzyl-2-{2-(4-chlorophenyl)-2-[(2,4-dichlorobenzyl)oxy]ethyl}-5-[({3-fluoro-4-[4-(4-fluorophenyl)piperazin-1-yl]phenyl}amino)methyl]-2,4-dihydro-3H-1,2,4-triazole-3-thione (10e)
This compound was obtained from 9b and 2,4-dichlorobenzyl chloride; yield 30%, method 1, 55%, method 2; yellow oil; IR: νmax 3092 (aromatic CH), 2963 (aliphatic CH), 1588 (C=N), 1508 (C=N), 1228 cm−1 (C=S); 1H NMR: δ 2.50 (brs, 4H, 2CH2), 3.04 (s, 2H, CH2), 3.24 (brs, 4H, 2CH2), 3.43 (s, 4H, 2CH2), 4.81 (brs, 3H, CH+CH2), 7.08 (brs, 3H, ArH), 7.31–7.37 (m, 5H, ArH), 7.46–7.48 (m, 5H, ArH), 7.64–7.68 (m, 6H, ArH), 9.12 (brs, 1H, NH); 13C NMR: δ 40.6 (3CH2), 43.3 (3CH2), 49.9 (2CH2), 60.2 (CH), Aryl-C: [116.5 (2CH), 126.9 (2CH), 127.1 (2CH), 127.6 (CH), 128.2 and 128.3 (d, CH, J=10 Hz), 128.5 (CH), 128.6 (CH), 129.1 (2CH), 129.2 (2CH), 129.4 (2CH), 129.7 (2CH), 129.8 (CH), 131.9 (C), 132.2 (2C), 132.3 (C), 133.3 (C), 134.5 and 134.9 (d, 2C, J=40 Hz), 136.7 (C), 139.3 (C), 150.4 and 154.2 (d, 2C, JC−F =380 Hz)], 153.6 (triazole C-3), 158.9 (triazole C-5); MS: m/z 807.13 ([M+1]+, 56), 775.54 (100), 665.00 (21%).
4-Benzyl-2-{2-(4-chlorophenyl)-2-[(2,6-dichlorobenzyl)oxy]ethyl}-5-[({3-fluoro-4-[4-(4-fluorophenyl)piperazin-1-yl]phenyl}amino)methyl]-2,4-dihydro-3H-1,2,4-triazole-3-thione (10f)
This compound was obtained from 9b and 2,6-chlorobenzyl chloride; yield 42%, method 1, 67%, method 2, yellow oil; IR: νmax 3063 (aromatic CH), 2924 (aliphatic CH), 1508 (C=N), 1226 cm−1 (C=S); 1H NMR: δ 3.03 (brs, 4H, 2CH2), 3.13 (brs, 4H, 2CH2), 3.22 (s, 4H, 2CH2), 3.39–3.45 (m, 2H, CH2), 4.90 (s, 3H, CH+CH2), 7.03–7.08 (m, 5H, ArH), 7.27–7.42 (m, 7H, ArH), 7.50–7.55 (m, 7H, ArH), 9.24 (brs, 1H, NH); 13C NMR: δ 40.4 (3CH2), 41.4 (3CH2), 50.1 (2CH2), 58.7 (CH), Aryl-C: [116.3 (CH), 126.9 (2CH), 127.0 (2CH), 127.4 (CH), 128.2 and 128.4 (d, 2CH, J=20 Hz), 128.5 (CH), 128.9 (CH), 128.9 (CH), 129.9 (CH), 129.1 (2CH), 129.2 (2CH), 129.3 (2CH), 130.6 (CH), 131.6 (C), 131.9 (C), 133.3 (2C), 135.6 (2C), 135.9 (2C), 136.7 (C), 152.2 and 156.2 (d, 2C, JC−F =400 Hz)], 155.2 (triazole C-3), 162.7 (triazole C-5); MS: m/z 824.56 ([M+H2O]+, 34), 778.09 (100%).
N-[(5-{[2-(4-Chlorophenoxy)-2-(4-chlorophenyl)ethyl]thio}-4-ethyl-4H-1,2,4-triazol-3-yl)methyl]-3-fluoro-4-[4-(4-fluorophenyl)piperazin-1-yl]aniline (10g)
This compound was obtained from 9c and 4-chlorobenzyl chloride; yield 33%, method 1, 66%, method 2; mp 94–95°C; IR: νmax 3407 (NH), 3056 (aromatic CH), 2955 (aliphatic CH), 1507 cm−1 (C=N); 1H NMR: δ 1.18 (brs, 3H, CH3), 2.98 (s, 2H, CH2), 3.05 (brs, 4H, 2CH2), 3.13–3.19 (m, 4H, 2CH2), 3.20 (brs, 4H, 2CH2), 3.98 (q, 2H, CH2, J=6.8 Hz), 4.79 (s, 1H, CH), 6.59–6.99 (m, 3H, ArH), 7.00–7.07 (m, 5H, ArH), 7.08 (d, 4H, ArH, J=5.2 Hz), 7.38 (d, 3H, ArH, J=9.6 Hz), 10.42 (brs, 1H, NH); 13C NMR: δ 14.0 (CH3), 34.4 (CH2), 49.7 (2CH2), 49.8 (CH2), 49.9 (CH2), 50.8 (CH2), 51.2 (CH2), 63.9 (CH2), 70.8 (CH), Aryl-C: [105.6 and 105.8 (d, CH, J=20 Hz), 109.1 (CH), 113.6 (CH), 115.7 and 115.9 (d, 2CH, J=20 Hz), 117.8 and 117.9 (d, 2CH, J=10 Hz), 119.7 (2CH), 120.9 (CH), 128.4 (CH), 128.5 (CH), 128.7 (CH), 128.9 (CH), 129.5 (CH), 130.1 (C), 133.8 (2C), 136.9 (2C), 148.2 (2C), 154.9 and 157.8 (d, C, JC−F ==290 Hz), 155.5 and 157.3 (d, C, JC−F=180 Hz)], 161.6 (triazole C-3), 164.7 (triazole C-5); MS: m/z 710.65 ([M+1]+, 56), 651.20 (43), 600.21 (100), 554.32 (13%). Anal. Calcd for C36H36Cl2F2N6OS: C, 60.93; H, 5.11; N, 11.84. Found: C, 60.88; H, 5.31; N, 11.91.
N-[(5-{[2-(4-Chlorophenyl)-2-(2,4-dichlorophenoxy)ethyl]thio}-4-ethyl-4H-1,2,4-triazol-3-yl)methyl]-3-fluoro-4-[4-(4-fluorophenyl)piperazin-1-yl]aniline (10h)
This compound was obtained from 9c and 2,4-chlorobenzyl chloride; yield 39%, method 1, 51%, method 2; brown oil; IR: νmax3063 (aromatic CH), 2925 (aliphatic CH), 1508 (C=N), 1098 cm−1 (C-O); 1H NMR: δ 1.06 (brs, 3H, CH3), 3.10 (brs, 4H, 2CH2), 3.26 (brs, 4H, 2CH2), 4.77 (s, 9H, 4CH2+CH), 7.08 (s, 4H, ArH), 7.39–7.41 (m, 5H, ArH), 7.59 (t, 5H, ArH, J=8.4 Hz), 9.65 (brs, 1H, NH); 13C NMR: δ 18.9 (CH3), 43.3 (CH2), 49.9 (CH2), 52.3 (2CH2), 56.5 (2CH2), 60.2 (2CH2), 70.7 (CH), Aryl-C: [116.2 and 116.4 (d, CH, J=20 Hz), 127.5 (2CH), 128.2 (2CH), 128.5 and 128.6 (d, CH, J=10 Hz), 128.9 (2CH), 129.6 and 129.7 (d, 2CH, J=10 Hz), 131.3 (CH), 131.5 (CH), 132.2 (C), 132.3 (C), 133.2 (2CH), 134.6 (2C), 134.7 (C), 134.8 (2C), 139.3 (C), 154.3 and 157.2 (d, C, JC−F =290 Hz), 156.2 and 157.8 (d, C, JC−F=160 Hz)], 160.2 (triazole C-3), 165.0 (triazole C-5); MS: m/z 744.90 ([M]+, 23), 701.26 (100), 556.09 (67), 501.21 (43%).
N-[(5-{[2-(4-Chlorophenyl)-2-(2,6-dichlorophenoxy)ethyl]thio}-4-ethyl-4H-1,2,4-triazol-3-yl)methyl]-3-fluoro-4-[4-(4-fluorophenyl)piperazin-1-yl]aniline (10i)
This compound was obtained from 9c and 2,6-chlorobenzyl chloride; yield 44%, method 1), 62%, method 2; brown oil; IR: νmax3056 (aromatic CH), 2924 (aliphatic CH), 1508 (C=N), 1091 cm−1 (C-O); 1H NMR: δ 1.04–1.06 (m, 3H, CH3), 3.27 (brs, 8H, 4CH2), 4.36 (brs, 6H, 3CH2), 4.85 (brs, 3H, CH2+CH), 7.37–7.53 (m, 14H, ArH), 9.02 (brs, 1H, NH); 13C NMR: δ 15.9 (CH3), 43.7 (2CH2), 49.9 (2CH2), 50.2 (CH2), 51.8 (CH2), 58.7 (2CH2), 101.0 (CH), Aryl-C: [108.5 (CH), 116.1 (CH), 116.2 (CH), 116.3 (2CH), 119.9 (CH), 128.9 (2CH), 129.1 (2CH), 129.2 (2CH), 129.3 (2CH), 130.6 (2C), 130.8 (C), 131.9 (2C), 133.3 (C), 135.6 (C), 136.1 (C), 153.6 and 155.5 (d, 2C, JC−F= 190 Hz)], 157.9 (triazole C-3), 164.7 (triazole C-5); MS: m/z 767.23 ([M+Na]+, 24), 420.00 (100), 389.92 (75%).
General method for synthesis of compounds 11–14
Method 1
To a solution of corresponding compound 7 (10 mmol) in DMF containing HCl (50% mmol), norfloxacin (for 11a–c), ciprofloxacin (for 12a–c), thiomorpholine (for 13a,b) or phenylpiperazine (for 14) (10 mmol) was added and the mixture was stirred at room temperature in the presence of formaldehyde (50 mmol) for 24 h. The solid obtained was collected by filtration, washed with water and crystallized from DMSO/water (1:3).
Method 2
A solution of 7 (1 mmol), norfloxacin (for 11a–c), ciprofloxacin (for 12a–c), thiomorpholine (for 13a,b) or phenylpiperazine (for 14) (1 mmol), HCl (50% mmol) and formaldehyde (5 mmol) was irradiated in a MW reactor with pressure control at 50°C, 70 W for 20 min. The resultant solid was washed with water and crystallized from DMSO/water (1:3).
1-Ethyl-6-fluoro-7-[4-({3-[({3-fluoro-4-[4-(4-fluorophenyl)piperazin-1-yl]phenyl}amino)methyl]-4-phenyl-5-thioxo-4,5-dihydro-1H-1,2,4-triazol-1-yl}methyl)piperazin-1-yl]-4-oxo-1,4-dihydroquinoline-3-carboxylic acid (11a)
This compound was obtained from 7a and norfloxacin; yield 56%, method 1, 83%, method 2; mp 103–105°C; IR: νmax 3359 (OH), 3060 (aromatic CH), 2920 (aliphatic CH), 1710 (C=O), 1659 (C=O), 1508 (C=N), 1226 cm−1 (C=S); 1H NMR: δ 1.41 (brs, 3H, CH3), 2.50 (s, 2H, CH2), 2.73 (s, 2H, CH2), 2.89 (s, 2H, CH2), 3.00 (brs, 4H, 2CH2), 3.37 (brs, 8H, 4CH2), 4.14 (s, 2H, CH2), 4.58 (s, 2H, CH2), 6.99–7.03 (m, 7H, ArH), 7.20 (brs, 2H, ArH), 7.32 (s, 1H, ArH), 7.44 (s, 2H, ArH), 7.56 (s, 2H, ArH), 7.95 (s, 1H, ArH), 8.95 (s, 1H, quinolone CH), 15.36 (s, 1H, OH); 13C NMR: δ 14.8 (CH3), 31.2 (CH2), 47.9 (CH2), 49.4 (CH2), 49.6 (CH2), 49.7 (CH2), 49.8 (CH2), 50.7 (CH2), 51.1 (CH2), 51.3 (CH2), 51.5 (2CH2), 107.5 (C), Aryl-C: [106.2 (CH), 111.6 and 111.8 (d, CH, J=20 Hz), 115.6 and 115.9 (d, CH, J=30 Hz), 117.4 and 117.5 (d, 2CH, J=10 Hz), 117.8 and 117.9 (d, 2CH, J=10 Hz), 118.9 (CH), 119.7 (C), 121.9 (CH), 128.5 (CH), 129.3 (2CH), 129.9 (2CH), 134.4 (C), 134.7 (C), 136.2 (C), 136.3 (2C), 137.6 (C), 141.4 (C), 147.1 (C), 149.3 (C)], 149.0 (CH), 162.8 (triazole C-3), 166.6 (triazole C-5), 176.6 and 181.7 2(C=O); MS: m/z 680.45 (26), 386.38 (25), 288.27 (100%). Anal. Calcd for C42H42F3N9O3S: C, 62.29; H, 5.23; N, 15.56. Found: C, 62.49; H, 5.31; N, 15.31.
7-[4-({4-Benzyl-3-[({3-fluoro-4-[4-(4-fluorophenyl)piperazin-1-yl]phenyl}amino)methyl]-5-thioxo-4,5-dihydro-1H-1,2,4-triazol-1-yl}methyl)piperazin-1-yl]-1-ethyl-6-fluoro-4-oxo-1,4-dihydroquinoline-3-carboxylic acid (11b)
This compound was obtained from 7b and norfloxacin; yield 45%, method 1), 82%, method 2; mp 204–206°C; IR: νmax 3307 (OH), 3065 (aromatic CH), 2920 (aliphatic CH), 1723 (C=O), 1668 (C=O), 1507 (C=N), 1226 cm−1 (C=S); 1H NMR: δ 1.37 (t, 3H, CH3, J=6.8 Hz), 2.50 (s, 2H, CH2), 2.70 (s, 2H, CH2), 2.81 (brs, 4H, 2CH2), 3.13 (brs, 2H, CH2), 3.18 (brs, 2H, CH2), 3.22 (s, 2H, CH2), 3.26 (s, 2H, CH2), 3.35 (s, 2H, CH2), 4.56 (s, 2H, CH2), 5.20 (s, 2H, CH2), 5.39 (s, 2H, CH2), 6.28 (brs, 1H, NH), 6.67–6.76 (m, 2H, ArH), 6.92–7.07 (m, 5H, ArH), 7.27–7.33 (m, 6H, ArH), 7.91 (s, 1H, ArH), 8.90 (s, 1H, quinolone CH), 15.31 (brs, 1H, OH); 13C NMR: δ 14.8 (CH3), 47.2 (CH2), 48.4 (CH2), 49.5 (CH2), 49.7 (2CH2), 50.0 (2CH2), 50.7 (2CH2), 51.2 (2CH2), 68.8 (CH2), 107.6 (C), Aryl-C: [106.3 (CH), 108.7 (CH), 111.5 and 111.7 (d, CH, J=20 Hz), 115.4 and 115.6 (d, CH, J=20 Hz), 115.9 (CH), 117.3 and 117.4 (d, 2CH, J=10 Hz), 117.8 and 117.9 (d, 2CH, J=10 Hz), 119.5 and 119.7 (d, C, J=20 Hz), 127.9 (CH), 128.7 (2CH), 129.01 (2CH), 130.4 (C), 135.9 (C), 137.6 (C), 139.4 (C), 144.3 (C), 148.1 and 148.3 (d, C, J=20 Hz), 146.1 and 154.6 (d, C, JC−F =850 Hz), 149.3 and 155.3 (d, C, JC−F =600 Hz), 152.2 and 157.6 (d, C, JC−F =540 Hz)], 148.8 (CH), 166.5 (triazole C-3), 169.3 (triazole C-5), 176.6 (C=O), 181.3 (C=O); MS: m/z 824.48 ([M+1]+, 10), 798.39 (15), 776.62 (19), 749.40 (25), 739.51 (28), 724.50 (53), 723.49 (100), 718.64 (65%). Anal. Calcd for C43H44F3N9O3S: C, 62.68; H, 5.38; N, 15.30. Found: C, 62.59; H, 5.39; N, 15.61.
1-Ethyl-7-[4-({4-ethyl-3-[({3-fluoro-4-[4-(4-fluorophenyl)piperazin-1-yl]phenyl}amino)methyl]-5-thioxo-4,5-dihydro-1H-1,2,4- triazol-1-yl}methyl)piperazin-1-yl]-6-fluoro-4-oxo-1,4-dihydroquinoline-3-carboxylic acid (11c)
This compound was obtained from 7c and norfloxacin; yield 47%, method 1, 77%, method 2); mp 152–154°C; IR: νmax 3500 (OH), 3060 (aromatic CH), 2944 (aliphatic CH), 1724 (C=O), 1666 (C=O), 1508 (C=N), 1235 cm−1 (C=S); 1H NMR: δ 1.22 (brs, 3H, CH3), 1.39 (brs, 3H, CH3), 2.73 (brs, 6H, 3CH2), 3.01 (brs, 6H, 3CH2), 3.19 (brs, 8H, 4CH2), 4.06 (s, 2H, CH2), 4.58 (s, 2H, CH2), 5.14 (brs, 1H, NH), 7.05 (brs, 8H, ArH), 7.95 (s, 1H, ArH), 8.96 (s, 1H, quinolone CH), 15.33 (s, 1H, OH); 13C NMR: δ 13.5 (CH3), 14.8 (CH3), 36.2 (CH2), 39.3 (CH2), 48.4 (CH2), 49.5 (CH2), 49.7 (CH2), 49.8 (CH2), 50.0 (CH2), 50.8 (CH2), 51.1 (CH2), 51.2 (2CH2), 79.9 (CH2), 107.6 (C), Aryl-C: [106.4 (CH), 111.5 and 111.7 (d, CH, J=20 Hz), 113.5 (CH), 115.5 (CH), 115.6 and 115.8 (d, 2CH, J=20 Hz), 117.3 and 117.4 (d, 2CH, J=10 Hz), 117.8 and 117.9 (d, C, J=10 Hz), 120.2 (CH), 129.4 (C), 133.1 (C), 136.4 (C), 137.6 (C), 144.8 (C), 149.1 and 155.4 (d, C, JC−F =630 Hz), 153.4 and 157.2 (d, C, JC−F =380 Hz), 154.7 and 157.77(d, 2C, JC−F =300 Hz)], 148.9 (CH), 162.1 (triazole C-3), 166.5 (C=O), 166.6 (C=O), 168.2 (triazole C-5); MS: m/z 785.25 ([M+1+Na]+, 56), 784.25 ([M+Na]+, 84), 763.16 ([M+2]+, 42), 762.35 ([M+1]+, 85), 750.46 (43), 749.21 (100%). Anal. Calcd for C38H42F3N9O3S: C, 59.91; H, 5.56; N, 16.55. Found: C, 59.60; H, 5.67; N, 16.61.
1-Cyclopropyl-6-fluoro-7-[4-({3-[({3-fluoro-4-[4-(4-fluorophenyl)piperazin-1-yl]phenyl} amino)methyl]-4-phenyl-5-thioxo-4,5-dihydro-1H-1,2,4-triazol-1-yl}methyl)piperazin-1-yl]-4-oxo-1,4-dihydroquinoline-3-carboxylic acid (12a)
This compound was obtained from 7a and ciprofloxacin; yield 56%, method 1), 89%, method 2; mp 115–117°C; IR: νmax 3356 (OH), 3065 (aromatic CH), 2949 (aliphatic CH), 1714 (C=O), 1659 (C=O), 1507 (C=N), 1224 cm−1 (C=S); 1H NMR: δ 1.18 (s, 2H, CH2), 1.32 (s, 2H, CH2), 2.73 (brs, 4H, 2CH2), 3.00 (brs, 6H, 3CH2), 3.14 (s, 2H, CH2), 3.17 (brs, 4H, 2CH2), 3.80 (brs, 1H, CH), 4.16 (s, 2H, CH2), 5.21 (s, 2H, CH2), 5.81 (brs, 1H, NH), 6.77 (brs, 1H, ArH), 7.01–7.07 (m, 6H, ArH), 7.33 (s, 1H, ArH), 7.46 (s, 3H, ArH), 7.56 (s, 2H, ArH), 7.90 (s, 1H, ArH), 8.65 (s, 1H, quinolone CH), 15.22 (s, 1H, OH); 13C NMR: δ 8.1 (2CH2), 36.2 (CH), 47.9 (CH2), 49.2 (CH2), 49.6 (CH2), 49.7 (CH2), 49.8 (CH2), 49.9 (CH2), 50.7 (CH2), 51.1 (CH2), 51.3 (CH2), 51.5 (CH2), 107.2 (C), Aryl-C: [106.6 and 106.8 (d, CH, J=20 Hz), 111.4 and 111.6 (d, CH, J=20 Hz), 115.6 and 115.7 (d, CH, J=10 Hz), 115.8 and 115.9 (d, 2CH, J=10 Hz), 117.7 and 117.8 (d, 2CH, J=10 Hz), 121.9 (CH), 125.7 (CH), 128.9 (2CH), 129.4 (2CH), 129.9 (CH), 134.4 (C), 136.6 and 136.9 (d, C, J=30 Hz), 139.6 and 139.7 (d, C, J=10 Hz), 141.4 (C), 144.5 (C), 145.1 and 145.7 (d, C, J=60 Hz), 148.1 and 148.3 (d, C, J=20 Hz), 151.9 and 154.8 (d, C, JC−F =290 Hz), 152.3 and 155.5 (d, C, JC−F =320 Hz), 154.5 and 157.8 (d, C, JC−F =330 Hz)], 148.5 (CH), 162.8 (triazole C-3), 169.6 (triazole C-5), 176.8 and 181.8 2(C=O); MS: m/z 844.31 ([M+Na]+, 79), 840.62 (56), 830.36 (79), 828.61 (55), 821.98 ([M]+, 100), 815.85 (49), 811.40 (60), 804.15 (43), 794.38 (48%). Anal. Calcd for C43H42F3N9O3S: C, 62.84; H, 5.15; N, 15.34. Found: C, 62.60; H, 5.55; N, 15.61.
7-[4-({4-Benzyl-3-[({3-fluoro-4-[4-(4-fluorophenyl)piperazin-1-yl]phenyl}amino)methyl]-5-thioxo-4,5-dihydro-1H-1,2,4-triazol-1-yl}methyl)piperazin-1-yl]-1-cyclopropyl-6-fluoro-4-oxo-1,4-dihydroquinoline-3-carboxylic acid (12b)
This compound was obtained from 7b and ciprofloxacin; yield 50%, method 1, 90%, method 2; mp 170–172°C; IR: νmax3297 (OH), 3065 (aromatic CH), 2919 (aliphatic CH), 1721 (C=O) and 1667 (C=O), 1508 (C=N), 1225 cm−1 (C=S); 1H NMR: δ 1.08 (s, 2H, CH2), 1.18 (s, 2H, CH2), 2.73 (brs, 4H, 2CH2), 2.89 (brs, 4H, 2CH2), 3.22 (brs, 4H, 2CH2), 3.34 (brs, 6H, 3CH2), 3.79 (brs, 1H, CH), 5.20 (s, 2H, CH2), 5.39 (s, 2H, CH2), 6.73–6.77 (m, 1H, ArH), 6.94–7.07 (m, 5H, ArH), 7.34 (brs, 7H, ArH), 7.93 (s, 1H, ArH), 8.65 (s, 1H, quinolone CH), 9.26 (brs, 1H, NH), 15.15 (s, 1H, OH); 13C NMR: δ 8.0 (2CH2), 36.2 (CH), 47.2 (CH2), 48.4 (CH2), 49.5 (CH2), 49.7 (CH2), 49.8 (CH2), 49.9 (CH2), 50.7 (CH2), 51.1 (CH2), 51.3 (2CH2), 68.7 (CH2), 107.3 (C), Aryl-C: [106.8 (CH), 108.7 (CH), 111.3 and 111.5 (d, CH, J=20 Hz), 115.5 and 115.7 (d, CH, J=20 Hz), 117.3 and 117.4 (d, 2CH, J= 10 Hz), 117.8 and 117.9 (d, 2CH, J=10 Hz), 119.1 (C), 120.6 (CH), 127.9 (2CH), 128.7 (2CH), 129.1 (CH), 130.4 (C), 135.9 (2C), 139.4 and 139.5 (d, C, J=10 Hz), 144.4 (C), 145.8 and 149.4 (d, C, JC−F =360 Hz), 148.0 and 148.2 (d, C, J=20 Hz), 152.0 and 155.3 (d, C, JC−F =330 Hz), 154.8 and 157.7 (d, C, JC−F =290 Hz)], 148.3 (CH), 166.2 (triazole C-3), 169.4 (triazole C-5), 176.7 and 181.3 2(C=O); MS: m/z 868.34 (52), 858.39 ([M+Na]+, 35), 850.63 (32), 849.63 (28), 837.43 ([M+2]+, 50), 836.31 ([M+1]+,100), 827.42 (31%). Anal. Calcd for C44H44F3N9O3S: C, 63.22; H, 5.31; N, 15.08. Found: C, 63.60; H, 5.07; N, 15.01.
1-Cyclopropyl-7-[4-({4-ethyl-3-[({3-fluoro-4-[4-(4-fluorophenyl)piperazin-1-yl]phenyl} amino)methyl]-5-thioxo-4,5-dihydro-1H- 1,2,4-triazol-1-yl}methyl)piperazin-1-yl]-6-fluoro-4-oxo-1,4-dihydroquinoline-3-carboxylic acid (12c)
This compound was obtained from 7c and ciprofloxacin; yield 78%, method 1, 94%, method 2); mp 192–194°C; IR: νmax 3400 (OH), 3061 (aromatic CH), 2925 (aliphatic CH), 1628 (2C=O), 1507 (C=N), 1217 cm−1 (C=S); 1H NMR: δ 1.17 (brs, 5H, CH3+CH2), 1.31 (s, 2H, CH2), 2.25 (s, 2H, CH2), 2.50 (brs, 4H, 2CH2), 2.73 (brs, 4H, 2CH2), 3.16 (brs, 6H, 3CH2), 3.32 (brs, 4H, 2CH2), 3.45 (s, 1H, CH), 5.12 (s, 2H, CH2), 6.63 (s, 1H, ArH), 6.99 (s, 6H, ArH), 7.56 (brs, 1H, ArH), 7.94 (s, 1H, ArH), 8.65 (brs, 1H, quinolone CH), 9.09 (brs, 1H, NH), 15.20 (brs, 1H, OH); 13C NMR: δ 8.0 (2CH2), 31.2 (CH3), 36.2 (CH), 48.4 (CH2), 49.7 (CH2), 49.8 (2CH2), 50.8 (CH2), 51.1 (CH2), 68.0 (CH2), 79.9 (CH2), 81.7 (CH2), 82.4 (CH2), 82.5 (CH2), 107.2 (C), Aryl-C: [104.0 and 104.2 (d, CH, J=20 Hz), 106.2 (CH), 111.4 (CH), 113.5 (CH), 115.5 and 115.6 (d, 2CH, J=10 Hz), 117.7 and 117.8 (d, 2CH, J=10 Hz), 119.5 and 119.9 (d, CH, J=40 Hz), 131.7 (C), 132.5 (C), 133.1 (C), 139.6 (C), 141.3 (2C), 144.7 and 148.3 (d, C, JC−F =360 Hz), 154.5 and 156.1 (d, C, JC−F =160 Hz), 155.4 and 157.4 (d, C, JC−F =200 Hz)], 140.6 (CH), 154.7 (triazole C-3), 157.8 (triazole C-5), 166.4 (2C=O); MS: m/z 774.17 ([M+1]+, 17), 398.26 (100%). Anal. Calcd for C39H42F3N9O3S: C, 60.53; H, 5.47; N, 16.29. Found: C, 60.60; H, 5.67; N, 16.51.
4-Benzyl-5-[({3-fluoro-4-[4-(4-fluorophenyl)piperazin-1-yl]phenyl}amino)methyl]-2-(thiomorpholin-4-ylmethyl)-2,4-dihydro-3H-1,2,4-triazole-3-thione (13a)
This compound was obtained from 7b and thiomorpholine; yield 67%, method 1, 88%, method 2; mp 133–135ºC; IR: νmax 3229 (NH), 3061 (aromatic CH), 2912 (aliphatic CH), 1503 (C=N), 1223 cm−1 (C=S); 1H NMR: δ 2.50 (brs, 4H, 2CH2), 2.73 (brs, 4H, 2CH2), 2.89 (brs, 4H, 2CH2), 3.18 (brs, 4H, 2CH2), 3.33 (brs, 4H, 2CH2), 4.73 (s, 2H, CH2), 7.10–7.09 (m, 6H, ArH), 7.26–7.41 (m, 6H, ArH), 9.58 (brs, 1H, NH); 13C NMR: δ 27.6 (CH2), 47.6 (2CH2), 49.7 (2CH2), 49.8 (2CH2), 50.7 (CH2), 50.8 (CH2), 52.7 (2CH2), Aryl-C: [115.7 and 115.9 (d, 2CH, J=20 Hz), 117.7 and 117.8 (d, 2CH, J=10 Hz), 119.51and 119.6 (d, CH, J=10 Hz), 120.2 (CH), 127.3 and 127.4 (d, CH, J=10 Hz), 128.7 (2CH), 128.8 (CH), 129.1 (2CH), 134.4 and 134.5 (d, C, J= 10 Hz), 135.9 (C), 136.7 and 136.8 (d, C, J= 10 Hz), 148.3 and 148.4 (d, C, J=10 Hz), 149.5 and 153.5 (d, C, JC−F =400 Hz), 155.5 and 157.8 (d, C, JC−F =230 Hz)], 155.9 (triazole C-3), 181.2 (triazole C-5); MS: m/z 607.88 ([M]+, 45), 532.21 (65), 448.90 (31), 321.56 (76), 201.35 (100%). Anal. Calcd for C31H35F2N7S2: C, 61.26; H, 5.80; N, 16.13. Found: C, 61.60; H, 5.77; N, 16.00.
4-Ethyl-5-[({3-fluoro-4-[4-(4-fluorophenyl)piperazin-1-yl]phenyl}amino)methyl]-2-(thiomorpholin-4-ylmethyl)-2,4-dihydro-3H-1,2,4-triazole-3-thione (13b)
This compound was obtained from 7c and thiomorpholine; yield 61% (Method 1), 86% (Method 2); mp. 180–181°C; IR: νmax 3059 (aromatic CH), 2915 (aliphatic CH), 1507 (C=N), 1225 cm−1 (C=S); 1H NMR: δ 1.10 (brs, 3H, CH3), 2.57 (brs, 4H, 2CH2), 3.02 (brs, 6H, 3CH2), 3.19 (brs, 6H, 3CH2), 3.35 (brs, 4H, 2CH2), 4.80 (s, 2H, CH2), 6.98 (s, 3H, ArH), 7.05 (s, 4H, ArH), 9.42 (s, 1H, NH); 13C NMR: δ 13.5 (CH3), 27.5 (CH2), 49.7 (2CH2), 50.7 (CH2), 51.1 (2CH2), 51.6 (CH2), 52.2 (CH2), 53.4 (CH2), 68.0 (2CH2), Aryl-C:[106.2 and 106.4 (d, CH, J=20 Hz), 111.4 (CH), 113.5 (CH), 115.6 and 115.8 (d, 2CH, J= 20 Hz), 117.8 and 117.8 (d, 2CH, J=10 Hz), 133.0 and 133.1 (d, C, J=10 Hz), 144.7 and 144.8 (d, C, J=10 Hz), 148.3 (2C), 155.4 and 157.2 (d, C, JC−F = 180 Hz)], 154.8 (triazole C-3), 157.8 (triazole C-5); MS: m/z 545.90 ([M]+, 56), 321.09 (100), 225.89 (57), 201.78 (98), 126.55 (45%). Anal. Calcd for C26H33F2N7S2: C, 57.22; H, 6.10; N, 17.97. Found: C, 57.60; H, 6.23; N, 17.90.
4-Benzyl-5-[({3-fluoro-4-[4-(4-fluorophenyl)piperazin-1-yl]phenyl}amino)methyl]-2-[(4-phenylpiperazin-1-yl)methyl]-2,4-dihydro-3H-1,2,4-triazole-3-thione (14)
This compound was obtained from 7b and 1-phenylpiperazine; yield 60%, method 1, 83%, method 2; mp 145–147°C; IR: νmax 3262 (NH), 3059 (aromatic CH), 2912 (aliphatic CH), 1506 (C=N), 1224 cm−1 (C=S); 1H NMR: δ 2.50 (s, 2H, CH2), 2.73 (s, 2H, CH2), 2.88 (s, 2H, CH2), 3.13 (brs, 6H, 3CH2), 3.22 (brs, 4H, 2CH2), 3.35 (brs, 4H, 2CH2), 4.74 (s, 2H, CH2), 6.92 (d, 1H, ArH, J=4.0 Hz), 7.02–7.09 (m, 7H, ArH), 7.20–7.38 (m, 9H, ArH), 9.87 (brs, 1H, NH); 13C NMR: δ 47.7 (CH2), 48.1 (CH2), 48.2 (CH2), 48.4 (CH2), 48.7 (CH2), 49.7 (2CH2), 50.3 (CH2), 50.7 (CH2), 50.8 (CH2), 55.0 (CH2), Aryl-C: [115.7 and 115.8 (d, 2CH, J=10 Hz), 115.9 and 116.0 (d, CH, J=10 Hz), 116.1 (CH), 117.8 and 117.9 (d, 2CH, J =10 Hz), 119.5 (CH), 127.3 (2CH), 127.4 (2CH), 127.9 (2CH), 128.7 (2CH), 129.4 (2CH), 134.4 and 134.5 (d, C, J=10 Hz), 136.7 and 136.7 (d, C, J=10 Hz), 139.4 (C), 148.3 (2C), 151.6 and 155.5 (d, C, JC−F =390 Hz), 153.5 and 157.8 (d, C, JC−F =430 Hz)], 155.9 (triazole C-3), 181.3 (triazole C-5); MS: m/z 667.89 ([M+1]+, 67), 600.21 (38), 556.90 (100), 431.21 (31%). Anal. Calcd for C37H40F2N8S: C, 66.64; H, 6.05; N, 16.80. Found: C, 66.60; H, 6.33; N, 16.61.
Antimicrobial activity assessment
The test microorganisms were obtained from the Hifzissihha Institute of Refik Saydam (Ankara, Turkey) and were as follows: E. coli ATCC35218, Y. pseudotuberculosis ATCC911, P. aeruginosa ATCC43288, E. faecalis ATCC29212, S. aureus ATCC25923, B. cereus 709 Roma, M. smegmatis ATCC607, C. albicans ATCC60193 and S. cerevisia RSKK 251. All compounds were weighed and dissolved in dimethyl sulfoxide to prepare a stock solution of 20.0 μg/mL. The antimicrobial effects of the compounds were tested quantitatively in respective broth media by using double microdilution and the MIC values (μg/mL) were determined. The antibacterial and antifungal assays were performed in Mueller-Hinton broth (MH) (Difco, Detroit, MI, USA) at pH 7.3 and buffered Yeast Nitrogen Base (Difco, Detroit, MI, USA) at pH 7.0, respectively. The microdilution test plates were incubated for 18–24 h at 35°C. Brain Heart Infusion broth (BHI) (Difco, Detriot, MI, USA) was used for M. smegmatis and incubated for 48–72 h at 35°C [36]. Ampicillin (10 μg) and fluconazole (5 μg) were used as the standard antibacterial and antifungal drugs, respectively. DMSO with a dilution of 1:10 was used as a solvent control.
Acknowledgments
The support provided by Scientific and Technological Research Council of Turkey (TUBITAK, Project no: 113Z181) and Karadeniz Technical University, BAP, Turkey (Ref. No. 8623) is gratefully acknowledged.
References
[1] Woodford, N. Biological counterstrike: antibiotic resistance mechanisms of Gram-positive cocci. Clin. Microbiol. Infect.2005, 23, 2–21.10.1111/j.1469-0691.2005.01140.xSearch in Google Scholar PubMed
[2] Deng, X.; Qiu, Q.; Yang, B.; Wang, X.; Huang, W.; Qian, H. Design, synthesis and biological evaluation of novel peptides with anti-cancer and drug resistance-reversing activities. Eur. J. Med. Chem.2015, 89, 540–548.10.1016/j.ejmech.2014.10.072Search in Google Scholar PubMed
[3] Maruyama, T.; Kano, Y.; Yamamoto, Y.; Kurazono, M.; Iwamatsu, K.; Atsumi, K.; Shitara, E. Synthesis and SAR study of novel 7-(pyridinium-3-yl)-carbonyl imidazo[5,1-b]thiazol-2-yl carbapenems. Bioorg. Med. Chem.2007, 15, 392–402.10.1016/j.bmc.2006.09.049Search in Google Scholar PubMed
[4] Barbuceanu, S. F.; Saramet, G.; Almajan, L. G.; Draghici, C.; Barbuceanu, F.; Bancescu, G. New heterocyclic compounds from 1,2,4-triazole and 1,3,4-thiadiazole class bearing diphenylsulfone moieties. Synthesis, characterization and antimicrobial activity evaluation. Eur. J. Med. Chem.2012, 49, 417–423.10.1016/j.ejmech.2012.01.031Search in Google Scholar PubMed
[5] Demirbas, A.; Sahin, D.; Demirbas, N.; Karaoglu, S. A. Synthesis of some new 1,3,4-thiadiazol-2-ylmethyl-1,2,4-triazole derivatives and investigation of their antimicrobial activities. Eur. J. Med. Chem.2009, 44, 2896–2903.10.1016/j.ejmech.2008.12.005Search in Google Scholar PubMed
[6] Sunduru, N.; Gupta, L.; Chauhan, K.; Mishra, N. N.; Shukla, P. K.; Chauhan, P. M. S. Synthesis and antibacterial evaluation of novel 8-fluoro Norfloxacin derivatives as potential probes for methicillin and vancomycin-resistant Staphylococcus aureus. Eur. J. Med. Chem. 2011, 46, 1232–1244.10.1016/j.ejmech.2011.01.044Search in Google Scholar PubMed
[7] World Health Organization, Global Tuberculosis Report2013, 18.Search in Google Scholar
[8] Borate, H. B.; Maujan, S. R.; Sawargave, S. P.; Chandavarkar, M. A.; Vaiude, S. R.; Joshi, V. A.; Wakharkara, R. D.; Iyer, R.; Kelkar, R. G.; Chavan, S. P.; Kunte, S. S. Fluconazole analogues containing 2H-1,4-benzothiazin-3(4H)-one or 2H-1,4-benzoxazin-3(4H)-one moieties, a novel class of anti-Candida agents. Bioorg. Med. Chem. Lett.2010, 20, 722–725.10.1016/j.bmcl.2009.11.071Search in Google Scholar PubMed
[9] Siva, S. P.; Liaqat, S.; Girgis, S. A.; Samir, A.; Hall, C. D.;. Katritzky, A. R. Novel antibacterial active quinolone–fluoroquinolone conjugates and 2D-QSAR studies. Bioorg. Med. Chem. Lett.2015, 25, 3816–3821.10.1016/j.bmcl.2015.07.077Search in Google Scholar PubMed
[10] Alizadeh, A.; Ghanbaripour, R.; Zhu, L. G. Piperidine–iodine a dual system catalyst for synthesis of coumarin bearing pyrrolo [1, 2-a] quinoxaline derivatives via a one-pot three-component reaction. Tetrahedron2014, 70, 2048–2053.10.1016/j.tet.2014.01.038Search in Google Scholar
[11] Azizi, N.; Hasani, M.; Khajeh, M.; Edrisi, M. A straightforward and sustainable one-pot, four-component synthesis of rhodanine derivatives. Tetrahedron Lett.2015, 56, 1189–1192.10.1016/j.tetlet.2015.01.102Search in Google Scholar
[12] Majumder, S.; Borah, P.; Bhuyan, P. J. An efficient and regioselective one-pot multi-component synthesis of pyrimido[4,5-d]pyrimidine derivatives in water. Tetrahedron Lett. 2014, 55(6), 1168–1170.10.1016/j.tetlet.2013.12.095Search in Google Scholar
[13] Genovese, S.; Fiorito, S.; Specchiulli, M. C.; Taddeo, V. A.; Epifano, F. Microwave-assited synthesis of xanthones promoted by ytterbium triflate. Tetrahedron Lett. 2015, 56, 847–850.10.1016/j.tetlet.2014.12.123Search in Google Scholar
[14] Fiorito, S.; Genovese, S.; Taddeo, V. A.; Epifano, F. Microwave-assited Synthesis of Coumarin-3-carboxylic Acid under Ytterbium Triflate Catalysis. Tetrahedron Lett. 2015, 56 2434–2436.10.1016/j.tetlet.2015.03.079Search in Google Scholar
[15] Rao, K. P.; Basak, K. A.; Deb, K. P.; Sharma, L. S.; Reddy, K. Microwave assisted palladium-catalyzed synthesis of phthalazinones and pyridopyridazinones. Tetrahedron Lett.2013, 54, 3694–3696.10.1016/j.tetlet.2013.05.006Search in Google Scholar
[16] Bakhtiari, G.; Moradi, S.; Soltanali, S. A novel method for the synthesis of coumarin laser dyes derived from 3-(1H-benzoimidazol-2-yl) coumarin-2-one under microwave irradiation. Arabian J. Chem. 2014, 7, 972–975.10.1016/j.arabjc.2010.12.012Search in Google Scholar
[17] Sheldon, R. A. Selective catalytic synthesis of fine chemicals: opportunities and trends. J. Mol. Catal. A: Chem. 1996, 107, 75–83.10.1016/1381-1169(95)00229-4Search in Google Scholar
[18] Dongare, B. S.; Chavan, V. H.; Bhale, S. P.; Mule, B. Y.; Kotmale, S. A.; Bandgar, P. B. Indium trichloride (InCl3) catalyzed synthesis of fused 7-azaindole derivatives using domino knoevenagel-michael reaction. Chin. Chem. Lett.2016, 27, 99–103.10.1016/j.cclet.2015.07.029Search in Google Scholar
[19] Bhat, R. A.; Shalla, H. A.; Dongare, S. R. Microwave assisted one-pot catalyst free green synthesis of new methyl-7-amino-4-oxo-5-phenyl-2-thioxo-2, 3, 4, 5-tetrahydro-1H-pyrano [2, 3-d] pyrimidine-6-carboxylates as potent in vitro antibacterial and antifungal activity. J. Adv. Res.2015, 6, 941–948.10.1016/j.jare.2014.10.007Search in Google Scholar PubMed PubMed Central
[20] Yamuna, E.; Zeller, M.; Jayarampillai, K.; Prasad, R. InCl3-catalyzed four-component reaction: a novel synthesis of N-carbazolyl dihydropyridines. Tetrahedron Lett. 2011, 52, 6805–6808.10.1016/j.tetlet.2011.10.044Search in Google Scholar
[21] Shaabani, A.; Sepahvand, H.; Nejad, M. K. A re-engineering approach: synthesis of pyrazolo[1,2-a]pyrazoles and pyrano[2,3-c]pyrazoles via an isocyanide-based four-component reaction under solvent-free conditions. Tetrahedron Lett.2016, 57, 1435–1437.10.1016/j.tetlet.2016.02.051Search in Google Scholar
[22] Sarı, S.; Durmus, M.; Bulut, M. Microwave assisted synthesis of novel zinc(II) phthalocyanines bearing 1,3-diazido-2-propanoxy functional groups and investigation of their photochemical properties. Tetrahedron Lett. 2016, 57, 1124–1128.10.1016/j.tetlet.2016.01.100Search in Google Scholar
[23] Tala, R. S.; Schnell, M. S.; Haskell, L. C. Microwave-assisted solid-phase synthesis of side-chain to side-chain lactam-bridge cyclic peptides. Bioorg. Med. Chem. Lett.2015, 25, 5708–5711.10.1016/j.bmcl.2015.10.095Search in Google Scholar PubMed PubMed Central
[24] Mentese, M. Y.; Bayrak, H.; Uygun, Y.; Mermer, A.; Ulker, S.; Karaoglu, S. A.; Demirbas, N. Microwave assisted synthesis of some hybrid molecules derived from norfloxacin and investigation of their biological activities. Eur. J. Med. Chem.2013, 67, 230–242.10.1016/j.ejmech.2013.06.045Search in Google Scholar PubMed
[25] Liu, H.; Huang, J.; Wang, J.; Wang, I.; Liu, M.; Wang, B.; Guo, H.; Lu, Y. Synthesis, antimycobacterial and antibacterial evaluation of l-[(1R, 2S)-2-fluorocyclopropyl]fluoroquinolone derivatives containing an oxime functional moiety. Eur. J. Med. Chem.2014, 86, 628–638.10.1016/j.ejmech.2014.09.029Search in Google Scholar PubMed
[26] Yolal, M.; Basoglu, S.; Bektas, H.; Demirci, S.; Karaoglu, S. A.; Demirbas, A. Synthesis of eperezolid-like molecules and evaluation of their antimicrobial activities. Russ. J. Bioorg. Chem.2012, 5, 539–549.10.1134/S106816201205010XSearch in Google Scholar
[27] Wang, X.; Wei, W.; Wang, P.; Tang, Y. T.; Deng, R. C.; Li, B.; Zhou, S. S.; Zhang, J. W.; Zhang, L.; Xiao, Z. P.; Ouyang, H.; Zhu, H.L. Novel 3-arylfuran-2(5H)-one-fluoroquinolone hybrid: design, synthesis and evaluation as antibacterial agent. Bioorg. Med. Chem. Lett.2014, 22, 3620–3628.10.1016/j.bmc.2014.05.018Search in Google Scholar PubMed
[28] Zhou, F. W.; Lei, H. S.; Fan, L.; Jiang, L.; Liu, J.; Peng, X. M.; Xu, X. R.; Chen, L.; Zhou, C. H.; Zou, Y. Y.; Liu, C. P.; He, Z. Q.; Yang, D. C. Design, synthesis, and biological evaluation of dihydroartemisinin-fluoroquinolone conjugates as a novel type of potential antitubercular agents. Bioorg. Med. Chem. Lett.2014, 24, 1912–1917.10.1016/j.bmcl.2014.03.010Search in Google Scholar PubMed
[29] Jida, M.; Soueidan, M.; Willand, N.; Niedercorn, F. A.; Pelinski, L.; Laconde, G.; Poulain, R. D.; Deprez, B. A facile and rapid synthesis of N-benzyl-2-substituted piperazines. Tetrahedron Lett.2011, 52, 1705–1708.10.1016/j.tetlet.2011.02.011Search in Google Scholar
[30] Basoglu, S.; Ulker, S.; Alpay-Karaoglu, S.; Demirbas, N. Microwave-assisted synthesis of some hybrid molecules containing penicillanic acid or cephalosporanic acid moieties and investigation of their biological activities. Med. Chem. Res.2014, 23, 3128–3143.10.1007/s00044-013-0898-4Search in Google Scholar PubMed PubMed Central
[31] Carter, D. S.; Cai, H. Y.; Lee, E. K.; Iyer, P. S.; Lucas, M. C.; Roetz, R.; Schoenfeld, R. C.; Weikert, R. J. 2-Substituted N-aryl piperazines as novel triple reuptake inhibitors for the treatment of depression. Bioorg. Med. Chem. Lett.2010, 20, 3941–3945.10.1016/j.bmcl.2010.05.008Search in Google Scholar PubMed
[32] Wei, Q. L.; Zhang, S. S.; Gao, J.; Li, W. H.; Xu, L. Z.; Yu, Z. G. Synthesis and QSAR studies of novel triazole compounds containing thioamide as potential antifungal agents. Bioorg. Med. Chem. Lett.2006, 14, 7146–7153.10.1016/j.bmc.2006.06.065Search in Google Scholar PubMed
[33] Ceylan, S.; Bektas, H.; Bayrak, H.; Demirbas, N.; Alpay-Karaoglu, S.; Ulker, S. Syntheses and biological activities of new hybrid molecules containing different heterocyclic moieties. Aryl-Ch. Pharm. Chem. Life Sci.2013, 346, 743–756.10.1002/ardp.201300161Search in Google Scholar PubMed
[34] Demirbas, N.; Demirbas, A.; Alpay Karaoglu, S.; Çelik, E. Synthesis and antimicrobial activities of some new [1,2,4]triazolo[3,4-b][1,3,4]thiadiazoles and [1,2,4]triazolo[3,4-b] [1,3,4]thiadiazines. Arkıvoc2005, (i), 75–91.10.3998/ark.5550190.0006.108Search in Google Scholar
[35] Demirci, S.; Mermer, A.; Ak, G.; Aksakal, F.; Çolak, N.; Demirbas, A.; Ayaz, F.A.; Demirbas, N. Conventional and microwave-assisted total synthesis, antioxidant capacity, biological activity, and molecular docking studies of new hybrid compounds. J. Heterocycl. Chem.2016, in press, DOI 10.1002/jhet.2760.10.1002/jhet.2760Search in Google Scholar
[36] Willanova, P. A. National Committee for Clinical Laboratory Standard, NCCLS Document M7-A3, 1993, 13.Search in Google Scholar
©2017 Walter de Gruyter GmbH, Berlin/Boston
This article is distributed under the terms of the Creative Commons Attribution Non-Commercial License, which permits unrestricted non-commercial use, distribution, and reproduction in any medium, provided the original work is properly cited.
Articles in the same Issue
- Frontmatter
- Preliminary Communications
- Tandem hetero-Diels–Alder-hemiacetal reaction in the synthesis of new chromeno[4′,3′:4,5]thiopyrano[2,3-d]thiazoles
- A new method for the reaction of cross-coupling: preparation of 5,5′-bi(1,10-phenanthroline)
- Design and synthesis of 4,5-diaryl/heteroarylthiophene-2-carboxylic acid derivatives and evaluation of their biological activities
- Research Articles
- Synthesis and properties of dicarbazolyltriphenylethylene-substituted fluorene derivatives exhibiting aggregation-induced emission enhancement
- Synthesis of a new polycyclic heterocyclic ring system. Part III. Benzo[b]imidazo[1,5-d][1,4]oxazepine-1,4(2H,5H)-diones
- Br2- or HBr-catalyzed synthesis of asymmetric 3,3-di(indolyl)indolin-2-ones
- Mono- and bis-dipicolinic acid heterocyclic derivatives – thiosemicarbazides, triazoles, oxadiazoles and thiazolidinones as antifungal and antioxidant agents
- Synthesis and antimicrobial activity of new piperazine-based heterocyclic compounds
- Synthesis and evaluation of chromene-based compounds containing pyrazole moiety as antimicrobial agents
- Ultrasonic synthesis, characterization, and antibacterial evaluation of novel heterocycles containing hexahydroquinoline and pyrrole moieties
Articles in the same Issue
- Frontmatter
- Preliminary Communications
- Tandem hetero-Diels–Alder-hemiacetal reaction in the synthesis of new chromeno[4′,3′:4,5]thiopyrano[2,3-d]thiazoles
- A new method for the reaction of cross-coupling: preparation of 5,5′-bi(1,10-phenanthroline)
- Design and synthesis of 4,5-diaryl/heteroarylthiophene-2-carboxylic acid derivatives and evaluation of their biological activities
- Research Articles
- Synthesis and properties of dicarbazolyltriphenylethylene-substituted fluorene derivatives exhibiting aggregation-induced emission enhancement
- Synthesis of a new polycyclic heterocyclic ring system. Part III. Benzo[b]imidazo[1,5-d][1,4]oxazepine-1,4(2H,5H)-diones
- Br2- or HBr-catalyzed synthesis of asymmetric 3,3-di(indolyl)indolin-2-ones
- Mono- and bis-dipicolinic acid heterocyclic derivatives – thiosemicarbazides, triazoles, oxadiazoles and thiazolidinones as antifungal and antioxidant agents
- Synthesis and antimicrobial activity of new piperazine-based heterocyclic compounds
- Synthesis and evaluation of chromene-based compounds containing pyrazole moiety as antimicrobial agents
- Ultrasonic synthesis, characterization, and antibacterial evaluation of novel heterocycles containing hexahydroquinoline and pyrrole moieties