Startseite Green processing of thermosensitive nanocurcumin-encapsulated chitosan hydrogel towards biomedical application
Artikel Öffentlich zugänglich

Green processing of thermosensitive nanocurcumin-encapsulated chitosan hydrogel towards biomedical application

  • Thi Bich Tram Nguyen

    Thi Bich Tram Nguyen obtained her MSc degree in 2007. She is currently a teacher and researcher in the Department of Natural Science, Thu Dau Mot University, Binh Duong Province, Vietnam and a PhD candidate at the Institute of Chemical Technology, Vietnam Academy of Science and Technology, Ho Chi Minh City, Vietnam. Her teaching and study area is organic chemistry.

    , Le Hang Dang

    Le Hang Dang got her BSc degree from International University, Viet Nam National University, Ho Chi Minh City in 2015. She is currently a researcher at the Institute of Applied Materials Science, Vietnam Academy of Science, Vietnam. Her study focusses on biomedicinal science.

    , Thi Thanh Thuy Nguyen

    Thi Thanh Thuy Nguyen got her PhD in France (2014). She is currently a researcher at Institute of Applied Materials Science, Vietnam Academy of Science and Technology. She is also an invited lecturer in TraVinh University and Lac Hong University. Her teaching and study areas are pharmaceutical chemistry and biomaterials for biomedical applications.

    , Dai Lam Tran

    Dai Lam Tran graduated from Belorussian State University (in the former USSR) with a Master’s degree in Solid State Chemistry (1994). He received his PhD in Physical Chemistry (Surface-Interface) from the University of Paris VII, Paris, France, in 2003. He was a lecturer at Hanoi University of Technology from 1998 to 2008. He has been an associate professor at IMS since 2009. His research focusses on nanofabrications, characterizations and applications of nanobiomaterials in drug delivery systems and biosensors.

    , Dai Hai Nguyen

    Dai Hai Nguyen obtained his PhD degree at Ajou University, Republic of Korea in 2013. Currently, he works as a researcher at the Institute of Applied Materials Science, Vietnam Academy of Science and Technology. He is also an invited lecturer at TraVinh University and Ho Chi Minh City University of Natural Sciences.

    , Van Toan Nguyen

    Van Toan Nguyen got a chemical engineering degree from Ha Noi University of Technology (2006). He is currently a lecturer at Ba Ria-Vung Tau University. His teaching and study areas are chemical engineering and biomaterials for biomedical applications.

    , Cuu Khoa Nguyen

    Cuu Khoa Nguyen obtained his PhD degree in Russia. Currently, he is the director of the Institute of Applied Materials Science (VAST). He is also an invited lecturer at TraVinh University, Can Tho University and Lac Hong University. His teaching and study areas are pharmaceutical chemistry and biomaterials for biomedical applications.

    , Thi Hiep Nguyen

    Thi Hiep Nguyen got her PhD from the Department of Biomedical Engineering and Materials, SoonChunHyang University, Korea. Currently, she is a lecturer at Department of Biomedical Engineering, International University, Vietnam National University, Ho Chi Minh City. Her teaching and study areas are biomaterials for biomedical applications.

    , Van Thu Le

    Van Thu Le worked as a researcher at the Institute of Chemistry-Biology and Professional Documents, Ministry of Public Security. He received his PhD in Physiochemical-Theoretical Chemistry from VietNam Academy of Science and Technology. Nearly 60 of his articles and reports related to polymer composite and nanocomposites have been published in national and international journals. His present research concerns nanocomposites and polymer composite materials.

    und Ngoc Quyen Tran

    Ngoc Quyen Tran got his PhD in Republic of Korea in 2011. He is currently a researcher at the Institute of Applied Materials Science, Vietnam Academy of Science and Technology and Institute of Research and Development, Duy Tan University, Da Nang City, Vietnam. He is also an invited lecturer at TraVinh University and Lac Hong University. His teaching and study areas are biochemistry and biomaterials for biomedical applications.

    EMAIL logo
Veröffentlicht/Copyright: 1. November 2016
Veröffentlichen auch Sie bei De Gruyter Brill

Abstract

In this study, in order to enhance the aqueous solubility and to overcome the limitation of curcumin (Cur) in free form, as well as to develop a carrier for transdermal delivery of hydrophobic pharmaceutical agents such as Cur, a sonicated synthetic process of nanocurcumin (nCur) in thermally responsive Chitosan-g-Pluronic (CP) copolymer is disclosed herein. The use of CP copolymer solution as a dispersant medium is a very attractive method to avoid the use of toxic organic solvent and non-biocompatible surfactant. The obtained Cur nanoparticles had a fairly narrow distribution of 8–23 nm. nCur-dispersed CP solution showed good stability with no change in color characteristic and no phase separation after 1 month of storage. Rheological characterization of CP hydrogels had indicated sol-gel transition at the same temperature (35°C). Interestingly, the rate of Cur release for this system can be conveniently modulated as transdermal drug delivery.

1 Introduction

Curcumin (Cur; 1,7-bis (4-hydroxy-3-methoxyphenyl)-1,6-hepadiene-3,5-dione) is a yellow lipid-soluble natural pigment extracted from the rhizome of turmeric. The molecule has exhibited several pharmacological activities such as antioxidant, antiinflammatory [1], [2], [3], antiseptic [4], anti-Alzheimer’s disease [5], anti-cystic fibrosis [6], and wound-healing effects [7]. In addition, clinical trial studies in animals and humans have not shown any toxicity or side effects of Cur [8], [9]. Paradoxically, the therapeutic efficacy of Cur is still limited due to its poor solubility resulting in a low bioavailability. Another problem is that Cur undergoes pH-dependent degradation, or quickly decomposes under alkaline solution resulting in the formation of 6-(4’-hydroxy-3’-methoxyphenyl)-2,4-dioxo-5-hexenal, anillin, and ferulic acid [10], which can lead to various health problems [11]. The poor water solubility and stability of Cur thus offer more attempts to enhance its clinical relevance.

A numerous formulation of Cur nanoparticles based on nanosized delivery systems such as liposomes [12], polymeric nanoparticles [13], phospholipid complexes, or micelles [14] have demonstrated high sustained and efficient Cur delivery. In order to increase the effectiveness, co-solvents or anionic/non-anionic surfactants are also added [15]. These used in previous studies, however, required several complicated purification steps during production to remove the side effect caused by the remains of these surfactants [16], [17]. Colloidal solutions of surfactants that form micelles or vesicles are currently being developed, which can solve the remaining problem of these aforementioned methods.

Pluronic F127 (F127), an amphiphilic block copolymer, is known to form spherical micelles in solution, so F127 has been well-utilized as a nanoplatform for drug delivery. These micelles have high solubilizing capacity and rather low critical micelles concentration value that makes them stable in vivo, resulting in a good ability carrier for hydrophobic and sparingly soluble pharmaceuticals [18]. However, F127 shares some biological disadvantages, including low cell adhesion [19] and inability to be enzymatically degraded [20]. To overcome the drawbacks of F127 gels, F127 was grafted onto other biological polymers [21], [22]. In this study, the thermosensitive grafted Chitosan-g-Pluronic (CP) copolymer was prepared and used as a dispersant for synthesizing Cur nanoparticles. Incorporation of the released Cur and the copolymer could perform potential of the injectable composite hydrogel for biomedical administration.

2 Materials and methods

2.1 Materials

Chitosan (CS; 100–300 kD, 95% deacetylation), Cur, p-nitrophenyl chloroformate (NPC) and amino-1-propanol Pluronic F127 were purchased from Acros Organics (Geel, Belgium) and diethyl ether was purchased from Sigma (St. Louis, USA). Dialysis membrane (MWCO: 14 kD) was supplied from Spectrum Labs (California, USA). Other solvents were used without further purification.

2.2 Synthesis of the CP copolymer

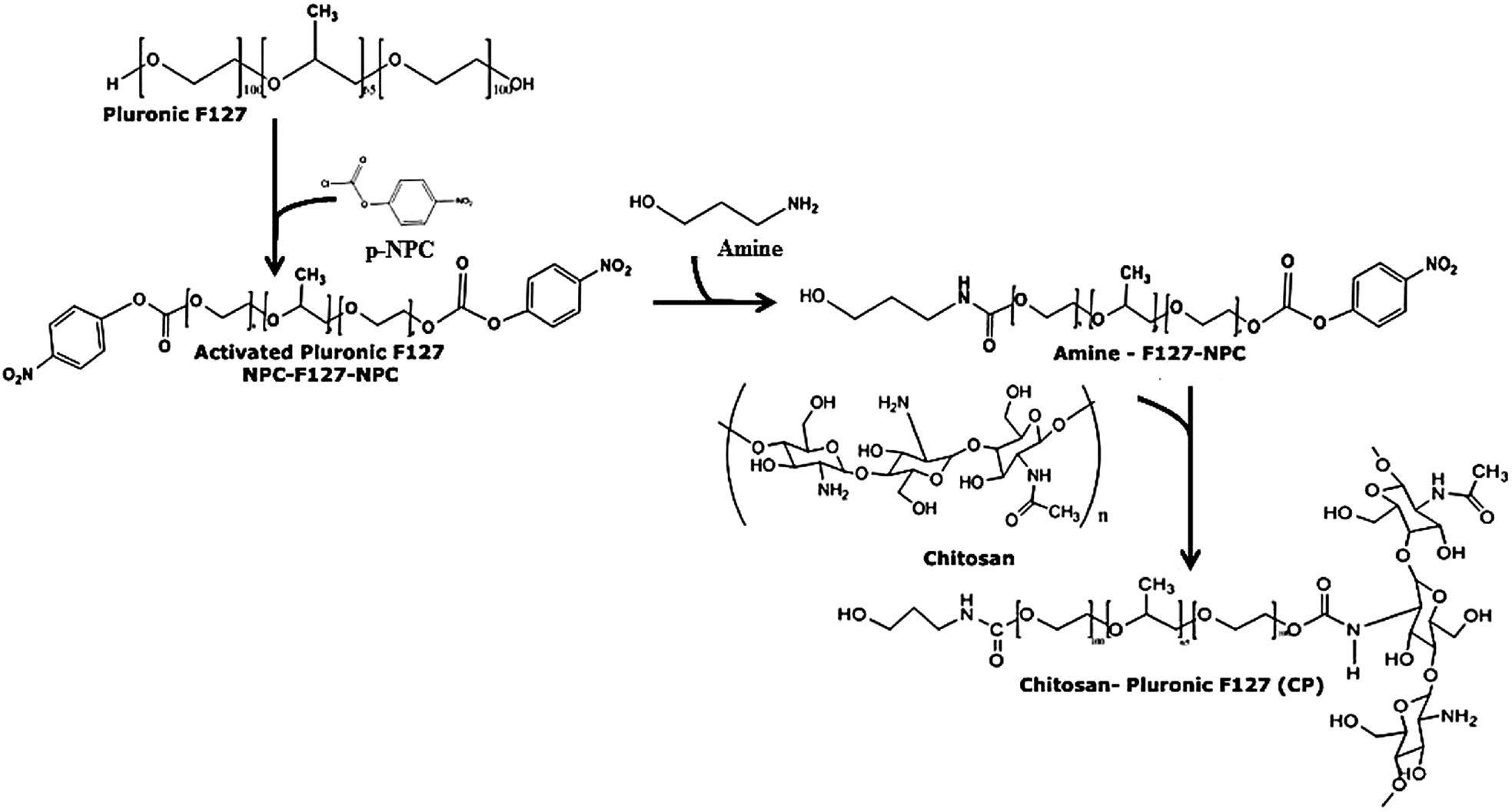
The synthesis of CP copolymers is presented in Scheme 1. Briefly, F127 (1 mmol) was firstly activated at two hydroxyl terminals at 70°C with a coupling agent (p-nitrophenyl chloroformate) in a free solvent reactor. After 6 h, the mixture was cooled to room temperature. Ethanol was added to the mixture and the solution was dialyzed in diethyl ether following precipitation to obtain NPC-activated F127. A diluted aqueous solution of 3-amino-1-propanol (1.2 mmol) was slowly added into an ethanol solution of the activated F127 in order to obtain an NPC-F127-OH product. CS was initially dissolved in HCl solution at pH ~ 3.0 and then adjusted to pH~5.0. The NPC-F127-OH solution was added dropwise into the prepared CS solution under stirring. In this study, the concentration of CS was fixed while the concentration of F127 was varied from 1% wt/v to 20% wt/v. The resultant solution was dialyzed against DI water with dialysis membrane (MWCO: 14 kD) for 1 week before freeze drying to obtain a CP copolymer (as Scheme 1). The products were stored in the refrigerator for further study. All products of each step were determined by proton nuclear magnetic resonance (1H-NMR) (Varian 400 spectrometer; Varian, USA) and Fourier transform infrared (FTIR) spectroscopy (Nicolet 5700; Thermo Electron Corporation, MA, USA).

Scheme 1: A synthetic process of thermosensitive CP copolymer.
Scheme 1:

A synthetic process of thermosensitive CP copolymer.

2.3 Thermal behavior of CP hydrogel

The thermosensitive property of copolymer was obtained by the tube inversion method, which was used previously by several groups to determine the gel boundary of gel-sol behavior [23]. In the tube inversion method, 3 ml vials with different amount of copolymer (5% wt/ml, 8% wt/ml, 10% wt/ml, 12% wt/ml, 15% wt/ml, and 20% wt/ml) were dissolved in DI water and kept at 4°C in 24 h before the examination. All vials were then tested at different temperature points (4°C, 25°C, 30°C, 37°C, 45°C and 50°C) and inverted to observe sol/gel behavior.

2.4 Rheological study

The rheology study was conducted on a rheometer (HAAKE RheoStress 6000; Thermo Scientific, MA, USA) which followed Pham Trong et al. [24]. Briefly, a 2–3 ml sample which was used in the tube inversion method was used for measurement. The oscillatory temperature program was set up for determining the characterization of CP hydrogel at a temperature range of 4–60°C within the constant rates of ± 0.1°C/min.

2.5 Preparation of nanocurcumin-loaded CP hydrogel

The Cur in absolute ethanol was added drop-wise into the CP solution under an ultrasonication process. Further ethanol solvent was evaporated by the rotary evaporator to obtain a homogeneous nanocurcumin (nCur)-loaded CP solution. Morphology of Cur nanoparticles was observed by transmission electron microscopy (JEM-1400 JEOL) at 25°C. Spectral analysis was observed by UV-visible spectroscopy (Agilent 8453 UV-visible spectrophotometer) at 420 nm wavelength [25]. The pure Cur was prepared in absolute ethanol in the concentration range 1–10 µg/ml so as to set up a standard curve.

2.6 In vitro release kinetics of nCur

An in vitro release study, a diffusion method with a dialysis membrane, was used to investigate the in vitro release of Cur from the nCur-loaded composite hydrogel. The dialysis bag (MWCO 14 kDa) containing a 2 ml sample was suspended in 10 ml phosphate-buffered saline (PBS) which had been maintained over a period of 24 h at 37°C±0.5°C in a water bath. At selected time intervals (0 h, 0.25 h, 0.5 h, 1–6 h), 1.5 ml of sample was collected and replaced by an equal volume of fresh medium. The Cur content was quantified by the aforementioned Agilent 8453 UV-visible spectrophotometer. The release experiments were performed in triplicate with 95% confidence intervals. The cumulative release of drug was performed from Eq. 1 [26]:

(1)Q=CnVs+Vti =1n 1Cn  1

where: Q=cumulative release (mg/ml), Cn=concentration at time t, Vs=volume of PBS medium, Vt=volume of sample, and n 1Cn  1=Sum of concentrations of Cur i=1 (µg/ml) determined at sampling intervals 1 through n–1.

3 Results and discussion

3.1 Characterization of CP copolymer

FTIR spectroscopy (Figure 1) and 1H NMR (Figure 2) show that the thermosensitive copolymer was successfully prepared using an activated Pluronic F127 to graft onto CS via the formation of covalent carbamate linkages. The FTIR spectrum of CS shows two peaks at 1642 cm−1 and 1664 cm−1 as a result of the strong N-H bending in the primary amine (-NH2) groups and the amide I (C=O stretching) and amide II (weaker N-H bending than that in the primary amine in the residual (5%) acetylated amine (-NH-(C=O)-CH3) groups of CS [27], [28], [29]. In the spectrum of CP, however, the amide II peak at 1642 cm−1 is barely identifiable, while the amide I peak at 1664 cm−1 is apparent. The diminished amide II peak is presumably due to the loss of primary amine (-NH2) groups to the secondary (-NH-) ones when CS is linked with the activated F127, which at the same time strengthens the amide I peak as a result of the formation of more amide bonds. The formation of NPC-F127-NPC by activation both terminal hydroxyl groups with p-NPC is confirmed throughout 1H-NMR spectra (the spectra are not shown). 1H NMR spectrum of the activated F127 shows a prominent resonance peak at δ=4.42 ppm that is characteristic of the terminal methylene protons (-CH2-CH2-) in the activated F127, along with the major resonance peaks of F127 at δ=1.08 ppm and δ=3.2–3.8 ppm. In addition, the resonance peaks at δ=7.38 ppm and 8.22 ppm corresponded to protons on the aromatic group of NPC. By integrating the proton resonance peaks of NPC (δ=7.38 ppm) and F127 (δ=1.08 ppm), the yield of NPC-F127-NPC was 93.27% (1H NMR).

Figure 1: Fourier transform infrared (FTIR) spectra of the activated F127 (NPC-F127-NPC and NPC-F127-OH) and CP copolymer.
Figure 1:

Fourier transform infrared (FTIR) spectra of the activated F127 (NPC-F127-NPC and NPC-F127-OH) and CP copolymer.

Figure 2: Proton nuclear magnetic resonance (1H-NMR) spectra of CP copolymer in D2O.
Figure 2:

Proton nuclear magnetic resonance (1H-NMR) spectra of CP copolymer in D2O.

The 1H-NMR spectra of OH-F127-NPC is almost identical with that of NPC-F127-NPC. The spectrum of OH-F127-NPC had a presentation of peaks (δ ~ 1.75–2.35 ppm) corresponding to protons of CH2 groups on the grafted alkyl moiety. Also, only 59.58% activated Pluronic with NPC remained, providing evidence of the formation of NPC-F127-OH.

In Figure 2, the remaining terminal NPC group on NPC-F127-OH reacted with primary amine groups in CS to form urethane linkage in the CP copolymer. As shown in Figure 2, comparison with 1H-NMR of NPC-F127-NPC, beside the complete disappearance of the two resonance peaks at δ=7.38 ppm and 8.22 ppm which is presented for NPC groups and the major peaks of F127, the 1H-NMR spectrum also showed the appearance of resonance peaks at δ~2.0 ppm (peak d) and 2.7 ppm (peak c) (methyl proton and proton H2, respectively) of CS interrelated to the attendance of CS in the sample.

3.2 Thermoreversible behavior

In the inverted tube method, CP hydrogel demonstrated thermo-responsive behavior via the transition of the sol-gel process following the change of temperature (Figure 3A and Table 1). At lower temperatures (T<25°C), CP hydrogel showed liquid-like behavior; interestingly, almost all samples, except sample F1 (ratio CS:F127=1:1), became opaque and solid-like on raising the temperature (T≥25°C). Table 1 shows the preparations in order to get the critical concentrations. It is believed that as the content of F127 in the sample increased, the gelation temperature was down. In other words, a thermo-responsive behavior of CP hydrogel originated from the thermal property of F127. In this study, F127 was grafted on the CS backbone in order to reduce the lower critical solution temperature of F127 itself at the same concentration, thus the required concentration of F127 for gel formation is reduced (<20 wt%). CP copolymer solution containing less than 10% by weight did not form gels over the test temperature range, while a CP copolymer concentration higher than 20% by weight led to gel formed in short time (approximately 25°C) and difficulty in administration. At lower temperatures, CP copolymer persists in the monomer state or solution phase. When the temperature is raised, hydrophobic interactions take place between PPO groups on F127, leading to CP aggregates, and the gelation stages of CP copolymer are formed by packing of these aggregates in the aqueous solution. The hydrophobic interactions of PPO groups and dehydrated CS are suggested to be the main force driving the formation of CP hydrogel. In this study, approximately 15% of CP copolymer in the ratio 1:15 was required to obtain CP hydrogel formulation with the transition temperature of approximately 37°C.

Figure 3: Phage diagram showed thermal behavior of sample with various temperatures (4°C, 25°C, 30°C, 37°C, 45°C and 50°C). F1-F8:CP hydrogel with various amounts (wt/wt) of F127 and constant amount of chitosan (CS).
Figure 3:

Phage diagram showed thermal behavior of sample with various temperatures (4°C, 25°C, 30°C, 37°C, 45°C and 50°C). F1-F8:CP hydrogel with various amounts (wt/wt) of F127 and constant amount of chitosan (CS).

Table 1:

The sol-gel behavior of numerous CP copolymers in various test temperature range and their gel temperature.

SampleCS (g)F127 (g)4°C25°C33°C37°C40°C50°CSol-gel transitionGelation temperature
F111N/A
F212++YesN/A
F313+++YesN/A
F414+++YesN/A
F515+++++++YesN/A
F6110+++++++++Yes>37°C
F7115++++++++++++Yes35°C
F8120++++++++++++++Yes25°C

–, No phenomenon.

+, Copolymer solution become high viscosity, slow to flow in the vial.

++, Weak gel, hard to flow in the vial.

+++, Solid-like behavior, non-free flowing in the vial.

N/A, Unidentified.

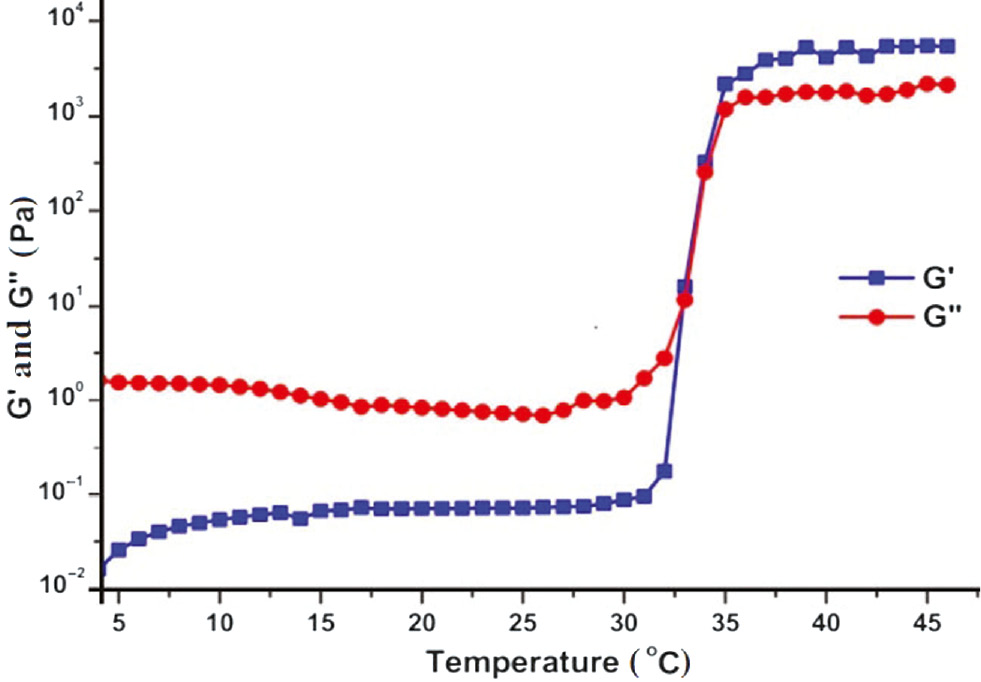
To confirm the thermo-responsive behavior of CP copolymer, rheological experiments including oscillation temperature sweep, were used to investigate exactly the temperature that the sol-gel transition occurs (Figure 4A and B). Rheology analysis presented the change of storage modulus, G’, loss modulus, G’’ during a temperature ramp from 4°C to 45°C under control shear. At low temperature, G’’>>G, the angle 45°<δ<90° and the phase angle between G’ and G’’ (tan δ)>>1; the sample, therefore, remained as viscoelastic liquid in behavior. At a concentration of 15% wt, both lines of G’ and G’’ raised up instantaneously in the range 30.5–35°C, but G’ increased faster than G’’ while tan δ fell down. At 35°C, G’~G’’ (G’=501.992 Pa and G’’=502.125) and tan δ~1 indicated the point of sol-gel transition (Figure 4A). However, at a concentration 20% wt, the sol-gel transition occurred in a narrow range of temperature (20–24.5°C) resulting in greater difficulty in medical application (Figure 4B). In the plot of the loss tangent against temperature (Figure 5), both concentrations under study exhibited the transition from predominant elastic component to the viscous one, with loss tangent values between 0.5 and 110.

Figure 4: Rheology of sample (F7, CS:F127=1:15) at 15% (A) and 20% (B), providing the evident for thermoreversible property of CP hydrogel.
Figure 4:

Rheology of sample (F7, CS:F127=1:15) at 15% (A) and 20% (B), providing the evident for thermoreversible property of CP hydrogel.

Figure 5: Loss tangent of sample F7 at 15 wt % and 20 wt % gel with temperature sweeps.
Figure 5:

Loss tangent of sample F7 at 15 wt % and 20 wt % gel with temperature sweeps.

3.3 Characterization of nCur in thermosensitive hydrogel

nCur was prepared by the wet method in absolute ethanol instead of using dichloromethane conventionally. Cur ethanol solution was added dropwise into CP copolymer solution. In this work, 1:15 of the CS:F127 copolymer weight ratio in feed was chosen for future application and characterized in detail. The optimized ultrasonication was found at 15 min with energy 40% and duty cycle 35%. Prolonged ultrasonication or increased energy did not improve this result as noted previously [30].

Transmission electron microscopy (Figure 6) analysis of the resulting particles showed that nCur-loaded was spherical in shape and existed in the size range of ~8–23 nm. The appearance of blank CP solution (left), and nCur-loaded CP solution (right) and their sol-gel behaviors are presented in Figure 7. The vial containing nCur-loaded CP solution is a transparent yellow, implying good dispersion in aqueous solution. Interestingly, there was no difference between the blank CP hydrogel and CP hydrogel with nanocurmin about the gel temperature (Figure 8). After loading, the hydrogel composite system also presents Tgel at near 35°C and the nCur could be stable in this system. Consequently, the synthesis of nCur using CP copolymer could result in a homogenous and stable dosage form in aqueous media for Cur transdermal delivery.

Figure 6: Transmission electron microscopy (TEM) of nanocurcumin (nCur) at scale 50 nm.
Figure 6:

Transmission electron microscopy (TEM) of nanocurcumin (nCur) at scale 50 nm.

Figure 7: Appearance of blank CP copolymer and nanocurcumin (nCur)-loaded thermosensitive copolymer at 20°C (top) and 37°C (bottom), respectively.
Figure 7:

Appearance of blank CP copolymer and nanocurcumin (nCur)-loaded thermosensitive copolymer at 20°C (top) and 37°C (bottom), respectively.

Figure 8: Rheology of nanocurcumin (nCur)-loaded CP hydrogel (CS:F127=1:15) shows Tgel at 34.9°C.
Figure 8:

Rheology of nanocurcumin (nCur)-loaded CP hydrogel (CS:F127=1:15) shows Tgel at 34.9°C.

3.4 In vitro release study

In order to prove the ability of CP of Cur released from the hydrogel, an in vitro release study was performed using a diffusion method with a dialysis membrane. Figure 9 demonstrates that the sample was able to slightly release its loaded drug over a period of time. After 2 h interval, 56.98±0.001% nCur was released from this system. From 2 to 6 h interval, nCur was released at a constant rate. According to several reports, CS based hydrogels exhibited their great swelling behavior in the physiological medium; thus, allows the diffusion of the drug through hydrogel matrices [31], [32]. Thus, this controlled release of Cur from the Cur-loaded CP copolymer revealed that the system could be good for application of topical administration in order to treat skin diseases such as wound healing.

Figure 9: In vitro release behavior of nanocurcumin (nCur) incorporated in CP hydrogel (F127:CS=15:1) using a diffusion method with dialysis membrane method in phosphate-buffered saline (PBS) (pH=7.4) at 37±0.5°C as medium.
Figure 9:

In vitro release behavior of nanocurcumin (nCur) incorporated in CP hydrogel (F127:CS=15:1) using a diffusion method with dialysis membrane method in phosphate-buffered saline (PBS) (pH=7.4) at 37±0.5°C as medium.

4 Conclusion

In this study, the preparation of Cur nanoparticles in thermosensitive grafted CP copolymer solution had a suitable size distribution and stability against aggregation, which can be employed in numerous drugs and therapeutic applications. Interestingly, this work is the first one to present the synthesis of nCur in thermosensitive grafted copolymer prepared by a simple method and critically susceptible with water. This system would reduce the remaining organic solvent in the sample, which causes a great deal of health problems to humans. Moreover, the thermosensitive nCur-loaded CP hydrogel could be a potential dressing material for topical administration, such as wound healing material.

About the authors

Thi Bich Tram Nguyen

Thi Bich Tram Nguyen obtained her MSc degree in 2007. She is currently a teacher and researcher in the Department of Natural Science, Thu Dau Mot University, Binh Duong Province, Vietnam and a PhD candidate at the Institute of Chemical Technology, Vietnam Academy of Science and Technology, Ho Chi Minh City, Vietnam. Her teaching and study area is organic chemistry.

Le Hang Dang

Le Hang Dang got her BSc degree from International University, Viet Nam National University, Ho Chi Minh City in 2015. She is currently a researcher at the Institute of Applied Materials Science, Vietnam Academy of Science, Vietnam. Her study focusses on biomedicinal science.

Thi Thanh Thuy Nguyen

Thi Thanh Thuy Nguyen got her PhD in France (2014). She is currently a researcher at Institute of Applied Materials Science, Vietnam Academy of Science and Technology. She is also an invited lecturer in TraVinh University and Lac Hong University. Her teaching and study areas are pharmaceutical chemistry and biomaterials for biomedical applications.

Dai Lam Tran

Dai Lam Tran graduated from Belorussian State University (in the former USSR) with a Master’s degree in Solid State Chemistry (1994). He received his PhD in Physical Chemistry (Surface-Interface) from the University of Paris VII, Paris, France, in 2003. He was a lecturer at Hanoi University of Technology from 1998 to 2008. He has been an associate professor at IMS since 2009. His research focusses on nanofabrications, characterizations and applications of nanobiomaterials in drug delivery systems and biosensors.

Dai Hai Nguyen

Dai Hai Nguyen obtained his PhD degree at Ajou University, Republic of Korea in 2013. Currently, he works as a researcher at the Institute of Applied Materials Science, Vietnam Academy of Science and Technology. He is also an invited lecturer at TraVinh University and Ho Chi Minh City University of Natural Sciences.

Van Toan Nguyen

Van Toan Nguyen got a chemical engineering degree from Ha Noi University of Technology (2006). He is currently a lecturer at Ba Ria-Vung Tau University. His teaching and study areas are chemical engineering and biomaterials for biomedical applications.

Cuu Khoa Nguyen

Cuu Khoa Nguyen obtained his PhD degree in Russia. Currently, he is the director of the Institute of Applied Materials Science (VAST). He is also an invited lecturer at TraVinh University, Can Tho University and Lac Hong University. His teaching and study areas are pharmaceutical chemistry and biomaterials for biomedical applications.

Thi Hiep Nguyen

Thi Hiep Nguyen got her PhD from the Department of Biomedical Engineering and Materials, SoonChunHyang University, Korea. Currently, she is a lecturer at Department of Biomedical Engineering, International University, Vietnam National University, Ho Chi Minh City. Her teaching and study areas are biomaterials for biomedical applications.

Van Thu Le

Van Thu Le worked as a researcher at the Institute of Chemistry-Biology and Professional Documents, Ministry of Public Security. He received his PhD in Physiochemical-Theoretical Chemistry from VietNam Academy of Science and Technology. Nearly 60 of his articles and reports related to polymer composite and nanocomposites have been published in national and international journals. His present research concerns nanocomposites and polymer composite materials.

Ngoc Quyen Tran

Ngoc Quyen Tran got his PhD in Republic of Korea in 2011. He is currently a researcher at the Institute of Applied Materials Science, Vietnam Academy of Science and Technology and Institute of Research and Development, Duy Tan University, Da Nang City, Vietnam. He is also an invited lecturer at TraVinh University and Lac Hong University. His teaching and study areas are biochemistry and biomaterials for biomedical applications.

Acknowledgments

This work was financially supported by Viet Nam Accademy of Science and Technology: Materials Science -VAST03, and Thu Dau Mot University No:236/HD-NCKHPTCN.

References

[1] Meng B, Li J, Cao H. Curr. Pharm. Des. 2013, 19, 2101–2113.Suche in Google Scholar

[2] Liang G, Yang S, Zhou H, Shao L, Huang K, Xiao J. Eur. J. Med. Chem. 2009, 44, 915–919.10.1016/j.ejmech.2008.01.031Suche in Google Scholar

[3] Merrell JG, Laughlin SW, Tie L, Laurencin CT, Chen AF, Nair LS. Clin. Exp. Pharmacol. Physiol. 2009, 36, 1149–1156.10.1111/j.1440-1681.2009.05216.xSuche in Google Scholar

[4] Ronita D, Parag K, Snehasikta S, Ramamurthy T, Abhijit C, Balakrish NG, Asish KM. Agents Chemother. 2009, 53, 1592−1597.10.1128/AAC.01242-08Suche in Google Scholar

[5] Shrikant M, Kalpana P. Ann. Indian Acad. Neurol. 2008, 11, 13–19.10.4103/0972-2327.40220Suche in Google Scholar

[6] Egan ME, Pearson M, Weiner SA, Rajendran V, Rubin D, Glöckner-Pagel J, Canny S, Du K, Lukacs GL, Caplan MJ. Science. 2004, 304, 600–660.10.1126/science.1093941Suche in Google Scholar

[7] Sidhu GS, Singh AK, Thaloor D, Banaudha KK, Patnaik GK, Srimal RC. Wound Repair Regen. 2009, 6, 167–177.10.1046/j.1524-475X.1998.60211.xSuche in Google Scholar

[8] Anand P, Kunnumakkara AB, Newman RA, Aggarwal BB. Mol. Pharm. 2007, 4, 807–818.10.1021/mp700113rSuche in Google Scholar

[9] Lao CD, Ruffin MT 4th, Normolle D, Heath DD, Murray SI, Bailey JM, Boggs ME, Crowell J, Rock CL, Brenner DE. BMC Complement Altern. Med. 2006, 6, 10.10.1186/1472-6882-6-10Suche in Google Scholar

[10] Ying-Jan W, Min-Hsiung P, Ann-Lii C, Liang-In L, Yuan-Soon H, Chang-Yao H, Jen-Kun L. J. Pharm. Biomed. Anal. 1997, 15, 1867–1876.10.1016/S0731-7085(96)02024-9Suche in Google Scholar

[11] Shen L, Ji HF. Trends Mol. Med. 2012, 18, 138–144.10.1016/j.molmed.2012.01.004Suche in Google Scholar PubMed

[12] Naksuriya O, Okonogi S, Schiffelers RM, Hennink WE. Biomaterials 2014, 35, 3365–3383.10.1016/j.biomaterials.2013.12.090Suche in Google Scholar

[13] Safavy A, Raisch KP, Mantena S, Sanford LL, Sham SW, Krishna NR, Bonner JA. J. Med. Chem. 2007, 50, 6284–6288.10.1021/jm700988fSuche in Google Scholar

[14] Gong C, Wang C, Wang Y, Wu Q, Zhang D, Luo F, Qian Z. Nanoscale 2012, 4, 3095–3104.10.1039/c2nr30278kSuche in Google Scholar

[15] Sarthak M, Chiranjib B, Surajit G, Jagannath K, Nilmoni S. J. Phys. Chem. B. 2013, 117, 6957–6968.10.1021/jp403724gSuche in Google Scholar

[16] Beeson WM, Perry TW, Reynolds PJ. J. Animal Sci.1953, 12, 619–622.10.2527/jas1953.123619xSuche in Google Scholar

[17] Riviere JE, Brooks JD, Yeatts JL, Koivisto EL. J. Toxicol. Environ. Health. A. 2010, 73, 725–737.10.1080/15287391003614026Suche in Google Scholar

[18] Tong NAN, Nguyen TP, Nguyen CK, Tran NQ. J. Biomater. Sci. Polym. Ed. 2016, 27, 709–720.10.1080/09205063.2016.1154239Suche in Google Scholar

[19] Ruel-Gariepy E, Leroux JC. Eur. J. Pharm. Biopharm. 2004, 58, 409–426.10.1016/j.ejpb.2004.03.019Suche in Google Scholar

[20] Tomihata K, Ikada Y. J. Biomed. Mater. Res. 1997, 37, 243–251.10.1002/(SICI)1097-4636(199711)37:2<243::AID-JBM14>3.0.CO;2-FSuche in Google Scholar

[21] Nguyen DH, Lee JS, Choi JH, Lee YK, Son JY, Bae JW, Lee KW, Park KD. Macromol. Res. 2015, 23, 765–769.10.1007/s13233-015-3093-2Suche in Google Scholar

[22] Choi JH, Joung YK, Bae JW, Choi JW, Tran NQ, Park KD. Macromol. Res. 2011, 19, 180–188.10.1007/s13233-011-0214-4Suche in Google Scholar

[23] Lee YH, Yang MC. Polym. Adv. Technol. 2009, 20, 703–705.10.1002/pat.1331Suche in Google Scholar

[24] Pham Trong LC, Djabourov M, Ponton A. J. Colloid Interf. Sci. 2008, 328, 278–287.10.1016/j.jcis.2008.09.029Suche in Google Scholar PubMed

[25] Zhendong H, Yong C. US20110196044 A1, 2010.Suche in Google Scholar

[26] Kailas DT, Wendy HC. Dissolution Technol. 2003, 10, 10–15.10.14227/DT100203P10Suche in Google Scholar

[27] Nguyen DH, Tran NQ, Nguyen CK. J. Biomater. Sci. Polym. Ed. 2013, 24, 1636–1648.10.1080/09205063.2013.789356Suche in Google Scholar PubMed

[28] Cu TS, Cao VD, Nguyen CK, Tran NQ. Macromol. Res. 2014, 22, 418–423.10.1007/s13233-014-2054-5Suche in Google Scholar

[29] Hoven VP, Tangpasuthadol V, Angkitpaiboon Y, Vallapa N, Kiatkamjornwong S. Carbohydr. Polym. 2007, 68, 44–53.10.1016/j.carbpol.2006.07.008Suche in Google Scholar

[30] Findley WN, Lai JS, Onaran K. Creep and Relaxation of Nonlinear Viscoelastic Materials. New York: Dover Publ, 1989.Suche in Google Scholar

[31] Judy G, Manikandan M, Se-Chul C. RSC Adv. 2015, 5, 48391–48398.10.1039/C5RA06002HSuche in Google Scholar

[32] Cho JH, Kim SH, Park KD, Jung MC, Yang WI, Han SW, Noh JY, Lee JW. Biomaterials 2004, 25, 5743–5751.10.1016/j.biomaterials.2004.01.051Suche in Google Scholar PubMed

Received: 2016-5-23
Accepted: 2016-8-30
Published Online: 2016-11-1
Published in Print: 2016-12-1

©2016 Walter de Gruyter GmbH, Berlin/Boston

Heruntergeladen am 2.11.2025 von https://www.degruyterbrill.com/document/doi/10.1515/gps-2016-0062/html?lang=de
Button zum nach oben scrollen