Home Physical Sciences Preparation of TiC by carbothermal reduction in vacuum and acid leaching using blast furnace slag bearing titania
Article Open Access

Preparation of TiC by carbothermal reduction in vacuum and acid leaching using blast furnace slag bearing titania

  • Meilong Hu

    Meilong Hu received her PhD from the College of Materials Science and Engineering, Chongqing University, China in 2009. Currently, she serves as an Associate Professor at the College of Materials Science and Engineering, Chongqing University. Her current interests are focused on the preparation of TiO2 with metallurgical slag.

    EMAIL logo
    , Ruirui Wei

    Ruirui Wei is a PhD student at the College of Materials Science and Engineering, Chongqing University. Currently, he is engaged in dealing with industrial waste slag and studying new process of sintering.

    , Zhengfeng Qu

    Zhengfeng Qu is a master student at the College of Materials Science and Engineering, Chongqing University. He is paying attention to the electrolysis process of BF slag bearing titania.

    , Fangqing Yin

    Fangqing Yin is a master student at the College of Materials Science and Engineering, Chongqing University. He is currently engaged in dealing with BF slag.

    , Yuzhou Xu

    Yuzhou Xu obtained his Master’s degree from the College of Materials Science and Engineering, Chongqing University. Now, he is working at his own company.

    and Qingyu Deng

    Qingyu Deng is a master student graduated from the College of Materials Science and Engineering, Chongqing University, China. Now, he is an intermediate engineer, and he is engaged in the manufacture of metallurgical equipment.

Published/Copyright: March 16, 2016
Become an author with De Gruyter Brill

Abstract

A combined process of carbothermal reduction in vacuum and acid leaching is proposed to produce TiC from titanium bearing blast furnace (BF) slag from Pan Steel in Panzhihua city in China. Thermodynamics calculation shows that TiC can be obtained in the appropriate temperature and pressure range. Moreover, the results of the experiment indicate that TiC can be prepared by the combined process. The optimized parameters include particle size of original slag ideally below 200 mesh, reduction temperature of 1400°C, pressure of 1~10 Pa and mass ratio of slag and reduction (carbon powder) of 100/38. The x value in TiCx increases with increase of reduction degree while the maximum is 0.981. The final x is 0.957 in the pure TiC prepared by the combined process. Silicon and magnesium in the slag can be removed by evaporating, which makes silicon and titanium in the slag separate completely.

1 Introduction

TiC is extensively used in various branches of machine construction due to its high strength and hardness. It is useful for manufacturing the cutting tools, grinding wheels, coated cutting tips and coated steel press tools. There are a number of processes to synthesize TiC powder. TiC powder is commercially produced primarily by the reduction of TiO2 with carbon, especially with carbon black, in the temperature range 1700–2100°C [1]. For such a process, reaction time is typically very long (10–20 h) and powders produced generally have undesirable inhomogeneity due to diffusion gradients established during the reduction process [2].

The direct carburization method exploits the reaction between titanium and carbon. Due to the difficulty in preparing metal titanium, this process cannot be used widely. Moreover, it is difficult to make submicron Ti metal particles. Once such particles are produced, they are pyrophoric and difficult to handle [3]. In addition, high cost of the titanium preparation process leads to a relatively expensive TiC powder. Another method is based on the chemical reaction between TiCl4, H2, and C [4]. The reaction is driven in contact with an incandescent tungsten or carbon element. Either single crystal or polycrystalline TiC is grown directly on the filament. The reaction rate is the limiting step and the quality of the prepared powder is sometimes not good. In addition, special precautions have to be taken because TiCl4 and the product HCl are very corrosive. Self-propagating high temperature synthesis can also be used to produce TiC through exothermic reactions [5]. The reaction between titanium and carbon is a highly exothermic process. After ignition, a combustive wave propagates throughout the reactants converting them into TiC. This reaction is extremely rapid and completes in less than a second. The limitation of the process is that very fine and pure titanium is needed and it cannot handle a large quantity of production. An economical process to produce TiC powder is necessary.

Panzhihua, which is located in the southwest of China, owns more than 10 thousand million tons of vanadium titanium magnetite bearing titania. In the blast furnace (BF) process, about 54% titanium enters the slag bearing titania, which cannot be used and piles in Pan Steel. Since the 1970s, amounts of BF slag and titania in the slag have accumulated to 70 million tons and 14 million tons, respectively. Furthermore, the amount of the slag continues to increase at the rate of 3.5 million tons per year. Titania remaining in the BF slag results in difficulty to use the slag for cement industry. Two additional problems of using such BF slag in cement industry compared to the normal BF slag are the waste of titanium and the environmental pollution. Since the 1970s, most researchers have been engaged in recovering titanium from the slag. Many processes have been proposed, such as alloys preparation [6, 7], preparation of Ti(C,N) [8, 9], acid leaching [10], alkali leaching [11], enriching in CaTiO3 and TiC (TiN or TiCN) preparation [12, 13]. However, there is no one industrial process that can recover the titanium resource from the BF slag in an economical and environmentally friendly manner due to several problems, such as difficulty in separating titanium and silicon, heavy second pollution, complicated deoxidation process of the titanium oxides, and so on.

Here, a combined process of carbothermal reduction in vacuum and acid leaching is proposed to prepare TiCxO1-x or TiC using titanium bearing BF slag.

2 Thermodynamics calculation

In order to obtain the suitable experimental conditions of the carbothermal reduction in vacuum, thermodynamics conditions were firstly calculated using FactSage 6.2 (Thermfact and GTT-Technologies, Herzogenrath, Germany). In the experiment, the industry titanium bearing BF slag was used to prepare TiC and TiCxO1-x. Here, the carbothermal reduction of oxides and chemical compounds contained in the slag and the optimized area of the TiC formed at different pressures and different temperatures were considered.

The slag is treated as the mixture of the main oxides (CaO, SiO2, TiO2, MgO, Al2O3) in the calculation and the changes of the Gibbs free energy with temperature were obtained. Figures 1 and 2 show that Gibbs free energy changes with temperature increases at atmospheric pressure and 100 Pa of the reduction system, respectively. It can be seen that TiC, Ti2O3 and TiO can be produced when the temperature is lower than 1427°C at atmospheric pressure, while the other oxides almost cannot be reduced at atmospheric pressure. However, when the pressure decreases to 100 Pa, TiC can be obtained at about 934°C. At the same time, low valence titanium oxides also appear. SiO2 is reduced to SiC prior to Si and SiO under these conditions. CaO and MgO are relatively difficult to be reduced when the temperature is lower than 1427°C at 100 Pa. It can be inferred that vacuum is helpful in decreasing the reduction temperature of these oxides. SiO and Mg, which have higher vapor pressure, can be produced at a suitable temperature and pressure. TiC can be obtained easily during the carbothermal reduction.

Figure 1: Changes of Gibbs free energy with different temperature at 105 Pa.
Figure 1:

Changes of Gibbs free energy with different temperature at 105 Pa.

Figure 2: Changes of Gibbs free energy with different temperature at 100 Pa.
Figure 2:

Changes of Gibbs free energy with different temperature at 100 Pa.

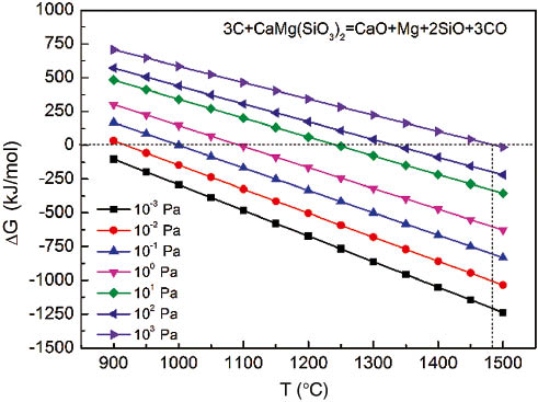
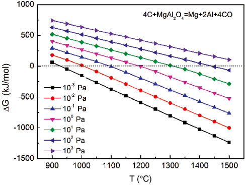
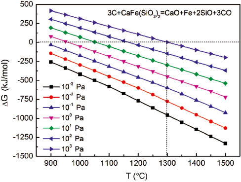
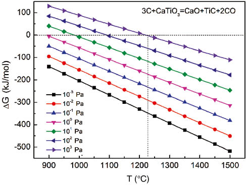
Actually, the main phases in the titanium bearing BF slag are chemical compounds instead of oxides, such as CaTiO3, MgAl2O4, CaMg(SiO3)2 and CaFe(SiO3)2. If the slag is treated as the actual phases, the relationships between temperature and Gibbs free energy of the carbon reduction at different pressures are shown in Figures 36. According to the results of the thermodynamics calculation mentioned above, the oxides containing Si, Mg, Ca, Al, Fe and Ti are considered to be reduced to SiO, Mg, CaO, Al, Fe, and TiC, respectively. As shown in Figure 3, CaTiO3 can be reduced at 900°C below 100 Pa. When the temperature reaches 1100°C, the total Gibbs free energy of reduction reaction is <0 at 10-3~102 Pa, which means that TiC can be obtained from CaTiO3 when the pressure is below 102 Pa. In Figure 4, it can be seen that MgAl2O4 is reduced to Mg and Al at 1350°C below 102 Pa. It can be inferred from Figures 5 and 6 that CaMg(SiO3)2 and CaFe(SiO3)2 can be reduced to Mg, SiO and stable oxides of CaO and FeO at 1350°C and 1450°C, respectively. It can be concluded that with a decrease of pressure, the reduction temperature is lower to reduce the BF slag, and TiC is easier to obtain. Therefore, the thermodynamics calculation shows that TiC can be obtained. Titanium and silicon in the slag can be separated under appropriate vacuum conditions below 1350°C.

Figure 3: Changes of ΔG with P and T for CaTiO3.
Figure 3:

Changes of ΔG with P and T for CaTiO3.

Figure 4: Changes of ΔG with T and P for MgAl2O4.
Figure 4:

Changes of ΔG with T and P for MgAl2O4.

Figure 5: Changes of ΔG with T and P for CaMg(SiO3)2.
Figure 5:

Changes of ΔG with T and P for CaMg(SiO3)2.

Figure 6: Changes of ΔG with T and for CaFe(SiO3)2.
Figure 6:

Changes of ΔG with T and for CaFe(SiO3)2.

According to the thermodynamics results with the composition listed in Table 1, Figure 7 shows the effects of several system pressures on oxygen potential. It can be seen that the trends of all curves are consistent. With increases in the system pressures, the logarithmic oxygen partial pressures increased from -26.3 to -15.6. These curves indicate that the oxygen partial pressure can be achieved in a vacuum furnace for different pressures and temperatures. The regions above the curve mean that the related partial pressure can be generated at certain conditions, and below the curves the partial pressure cannot be reached.

Table 1:

Chemical composition of blast furnace (BF) slag, mass%.

TiO2Al2O3MgOCaOSiO2Fe2O3FeOMnO
20.7814.618.5726.1726.48<0.5>1.610.73
Figure 7: Effect of system pressure on oxygen partial pressure.
Figure 7:

Effect of system pressure on oxygen partial pressure.

From the above results we can see that in a certain range of temperatures and system pressures, silicon and titanium in slag can be separated completely due to SiO being removed from the slag sample. The second pollution caused by the following acid leaching can be decreased because of silicon and magnesium oxides leaving the slag. TiC can be prepared by the union process of carbothermal reduction and acid leaching. However, it is difficult and complicated to get the optimized conditions to prepare TiC. To get the optimized conditions for TiC preparation, in theory, a phase diagram at 100 Pa has been built, as shown in Figure 8. The chemical composition of slag calculated in the phase diagram is shown in Table 1. The change of the partial pressure with temperature at 100 Pa has been superimposed in Figure 8.

Figure 8: Different production regions in phase diagram.
Figure 8:

Different production regions in phase diagram.

To clear the main phase zones, some phase zones which are not related with the production are deleted in the phase diagram, shown in Figure 8. There are four main phase regions in the diagram. The first one includes Zone 1, Zone 2, Zone 3 and Zone 4. In these zones, the main phases are chemical compounds in titanium bearing BF slag. The second part is Zone 5, which contains TiO. The third part is the phase TiC presents which is the critical zone in the research. The last part below the red line is the zone seeing TiC and SiC. Zone 6 is the region of pure TiC, in which the amount of the pure TiC can be changed by adjusting the system pressure when the reduction temperature is fixed. Namely, the system pressure increases when the TiC content decreases in Zone 6. When the system pressure is higher or lower than the pressure in Zone 6, it has no effect on the amount of the TiC.

From Figure 8 it can be seen that Zone 6 is the ideal zone in the research. To clear the effects of the pressure on TiC production, the regions relating to TiC region are separated, as shown in Figure 9. Figure 9 shows the generating regions of TiC at different pressures. With decrease of the pressure, the region shifts to the lower temperature and TiC can be produced at lower temperatures. Therefore, suitable oxygen partial pressure is crucial to get the pure TiC from the titanium bearing BF slag.

Figure 9: Regions of TiC in phase diagram at different pressure.
Figure 9:

Regions of TiC in phase diagram at different pressure.

3 Materials and methods

3.1 Carbothermic reduction in vacuum

Titanium bearing BF slag was first crushed. A 10 g amount of milled slag with particle size of 80 mesh was mixed with suitable carbon powder and pressed into the balls. The reduction experiment was carried out in the vacuum furnace (JZTG2000-380, Jiugong Electric Inc., Shanghai, China) at the target temperature for a predetermined time. The graphite crucible containing the slag was covered by an Al2O3 cover. The system pressure was controlled by the mechanical pump of the vacuum furnace.

3.2 Acid leaching

Impurities in the samples after carbothermal reduction in the vacuum needed to be removed. Silicon had left the sample, so alkaline oxides were the main substances to be considered. In order to obtain TiC, acid leaching was used. Firstly, the sample was ground and added into HCl solution with a concentration of 7 mol·l-1. The beaker containing the solution was then put into a water bath, heated to 80°C and maintained for 2 h. The alkaline chloride was then separated from the solution. Finally, the sample was characterized with X-ray diffraction (XRD).

4 Results and discussion

4.1 Effect of the slag size

Figure 10 shows the XRD pattern of the sample collected from the Al2O3 cover. The main phases are oxides of silicon and magnesium. The main reason may be that SiO and Mg leave the slag following the carbothermal reduction in vacuum and these oxides are oxidized during collection in air.

Figure 10: X-ray diffraction (XRD) pattern of the sample collected from the crucible cover.
Figure 10:

X-ray diffraction (XRD) pattern of the sample collected from the crucible cover.

Figure 11 shows the effect of the particle size of slag on the samples produced by carbothermal reduction in vacuum at 1400°C for 2 h and acid leaching when the mass ratio of the slag and carbon is 100:40. It can be seen that the reduction in order to obtain TiC is the best when the size is about 200 mesh. When the original slag size is larger than 200 mesh, the reduction needs more time due to the poor reduction dynamic condition. By contrast, with the smaller original slag size, the specific surface area of the slag contacting with reductant increases, but the reduction efficiency is low. The main reason may be the decrease of the sample porosity which prevents the produced gases from leaving the sample. In the later investigation, slag size of 200 mesh is used.

Figure 11: X-ray diffraction (XRD) pattern of the samples after reduction and acid leaching with different slag sizes at 1400°C.
Figure 11:

X-ray diffraction (XRD) pattern of the samples after reduction and acid leaching with different slag sizes at 1400°C.

4.2 Effect of the reduction temperature

Figure 12 shows the effect of the reduction temperature on the reduction when the mass ratio of the slag and carbon is 100:40 at 100 Pa for 2 h. To clear the effect of the reduction temperature on the TiC produced, the amplified diagram is extracted from Figure 12A, shown as Figure 12B. When the temperature is below 1100°C, there is no TiC produced. While the temperature is 1200°C, TiC appears under the same reduction conditions. The results are consistent with the results of the thermodynamic calculation. When the carbothermal reduction temperature increases, more and more TiC is produced. As the temperature reaches 1350°C, the sample mostly TiC, except for the excess carbon after acid leaching. A higher temperature is beneficial for increasing the reaction rate and getting a high purity of TiC. In this research, when the vacuum degree of the carbothermal reduction system is 100 Pa, 1400°C is chosen as the optimized experimental temperature.

Figure 12: Phases of the samples after reduction and acid leaching with different temperature.
Figure 12:

Phases of the samples after reduction and acid leaching with different temperature.

4.3 Effects of the reduction time

Reduction time is another important factor for the carbothermal reduction of the titanium bearing BF slag. Figure 13 shows the effect of the reduction time on purity of TiC at 1400°C and 100 Pa with the mix ratio of 100:38 for slag/carbon in mass. With the increase of the reduction time, the impurities in the slag become less and less, because a longer reduction time provides more time for the reduction of other oxides and carbonization of titanium. When the reduction time exceeds 180 min, TiC is the unique phase in the slag, while a longer reduction time is unnecessary. Therefore, it is proposed that the appropriate reduction time is 180 min for preparing TiC in this study.

Figure 13: Phases of the samples after reduction and acid leaching at different reduction time.
Figure 13:

Phases of the samples after reduction and acid leaching at different reduction time.

4.4 Effect of the reductant

Suppose the slag consists of only oxides and TiO2, SiO2, MgO and Al2O3 are totally reduced to TiC, SiO, Mg and Al during carbothermal reduction. The optimized mass ratio of the slag and carbon is 100:29. Here, to ensure enough reductant so that oxides can be reduced entirely, the mass ratio is set as 100:40. However, the XRD analysis detected excess carbon in the final product, implying such addition of high carbon is unnecessary. The effects of the mass ratios of the slag and carbon on the purity of the TiC are thus studied to get the suitable reductant amount in the process. Figure 14 is the results while the reaction temperature and pressure were set as 1400°C and 100 Pa, respectively. It shows that the calculated carbon amount (100:29) is not enough to get pure TiC due to the incomplete reduction. When the mass ratio reaches 100:38, pure TiC can be obtained. However, referring to the XRD pattern in Figure 15, carbon will remain in the final product of TiC when the mass ratio exceeds 100:40.

Figure 14: Phase diagram of titanium and carbon [14].
Figure 14:

Phase diagram of titanium and carbon [14].

Figure 15: Phases of the samples after reduction and acid leaching with different mass ratios of slag and carbon.
Figure 15:

Phases of the samples after reduction and acid leaching with different mass ratios of slag and carbon.

It is well known that TiC has a wide nonstoichiometric range (0.55<C/Ti<1.0) [14]. The physical and chemical properties of TiC largely depend on the compositions. For instance, the hardness and chemical inertness increase with increase in C/Ti mole ratio. By contrast, according to the phase diagram of titanium and carbon, the maximum of the nC/nTi is about 0.96, shown in Figure 14. This shows that high carbon content leads to residual carbon and insufficient carbon content will produce unsaturated TiC. Namely, TiC0.96 is the final product synthesized using titanium and carbon as precursors no matter what method is used. Carbon oxygen solid solution (TiCxO1-x) will be produced if aerobic conditions, oxides or oxygen exist.

Here, TiC prepared by the combined process is supposed to contain a certain amount of oxygen (TiCxO1-x) due to using TiO2 as the precursor. To confirm the value of nC/nTi in TiC prepared by the combined process, the x value in TiCxO1-x is calculated by the total peak fitting method in GSAS software (Los Alamos National Laboratory, CA, USA), listed in Table 2. This shows that the x value increases with increase in the reductant. When the reductant is insufficient and slag is not reduced completely, the x in TiCxO1-x is 0.875, TiC0.875O0.125. While the mass ratio of slag and reductant is 100/38, x is 0.957, which is very close to pure TiC. However, as the mass ratio continues to increase, residual carbon appears. Therefore, TiC prepared in this research contains 4.3 mass% oxygen. Namely, TiC0.957O0.043 is the final product by the combined process from titanium bearing BF slag as mass ratio of slag and reductant is 100/38.

Table 2:

Mass fraction and X value of TiC in different ratios of slag and reductant.

Ratio of slag and reductantMain phasesTiCxO1-x content, %X value
100:35CaTiO3,Ti8C590.970.875
100:38TiC0.9571000.957
100:40TiC0.981,C94.500.981

Figure 16 shows scanning electron microscopy images of the slag sample after carbothermal reduction in vacuum. Lots of grey ball product, which is TiC, can be seen. Some grey ball product is surrounded by white zones, which are Fe reduced from FexOy in slag. After acid leaching Fe and alkaline oxides removed from the reduced sample, pure TiC (including 4.3 mass% O) with certain size and morphology can be obtained.

Figure 16: Scanning electron microscopy (SEM) images of the slag sample after carbothermal reduction in vacuum: (A) 2000×; and (B) 5000×.
Figure 16:

Scanning electron microscopy (SEM) images of the slag sample after carbothermal reduction in vacuum: (A) 2000×; and (B) 5000×.

5 Conclusion

Based on the thermodynamic analysis, it is easier to prepare pure TiC by carbothermal reduction in vacuum. With decrease of pressure in the reduction system, the reduction temperature of TiC decreases. TiC can be obtained at 1260°C when the pressure is 100 Pa.

The optimum conditions for the preparation of titanium carbide from titanium bearing BF slag include a particle size of slag smaller than 200 mesh (80%), a mass ratio of slag and reductant of 100/38, reduction temperature at 100 Pa more than 1400°C and the reduction time is 180 min.

The final production of TiC produced in this research contains a certain amount of oxygen. Namely, the product is TiC0.957O0.043.


Corresponding author: Meilong Hu, College of Materials Science and Engineering, Chongqing University, Chongqing 400044, China, e-mail:

About the authors

Meilong Hu

Meilong Hu received her PhD from the College of Materials Science and Engineering, Chongqing University, China in 2009. Currently, she serves as an Associate Professor at the College of Materials Science and Engineering, Chongqing University. Her current interests are focused on the preparation of TiO2 with metallurgical slag.

Ruirui Wei

Ruirui Wei is a PhD student at the College of Materials Science and Engineering, Chongqing University. Currently, he is engaged in dealing with industrial waste slag and studying new process of sintering.

Zhengfeng Qu

Zhengfeng Qu is a master student at the College of Materials Science and Engineering, Chongqing University. He is paying attention to the electrolysis process of BF slag bearing titania.

Fangqing Yin

Fangqing Yin is a master student at the College of Materials Science and Engineering, Chongqing University. He is currently engaged in dealing with BF slag.

Yuzhou Xu

Yuzhou Xu obtained his Master’s degree from the College of Materials Science and Engineering, Chongqing University. Now, he is working at his own company.

Qingyu Deng

Qingyu Deng is a master student graduated from the College of Materials Science and Engineering, Chongqing University, China. Now, he is an intermediate engineer, and he is engaged in the manufacture of metallurgical equipment.

Acknowledgments:

The authors are especially grateful to project no. 51404044 supported by National Natural Science Foundation of China and project no. 106112015CDJZR135502 supported by the Fundamental Research Funds for the Central Universities.

References

[1] Thorne K, Tingand S, Chu CJ. J. Mater. Sci. 1992, 27, 4406–4414.10.1007/BF00541573Search in Google Scholar

[2] Pampuch R, Lis J, Stobierski L. J. Eur. Ceram. Soc. 1989, 5, 283–287.10.1016/0955-2219(89)90022-8Search in Google Scholar

[3] Mihailescu IN, Degiorge ML, Boulmer CH, Urdea S. J. Appl. Phys. 1994, 75, 5286–5294.10.1063/1.355729Search in Google Scholar

[4] Dunmead SD, Moore W, Weimer A. US Patent. 1993, No. 53380688.Search in Google Scholar

[5] Dunmead SD, Munir ZA, Holt JB. J. Mater. Sci. 1991, 26, 2410–2416.10.1007/BF01130188Search in Google Scholar

[6] Xu C, Liu T. J. Chongqing Univ. 1996, 11, 82–86.Search in Google Scholar

[7] Zou X, Lu X. Trans. Nonferrous Met. Soc. China 2010, 20, 1829–1835.10.1016/S1003-6326(09)60381-2Search in Google Scholar

[8] Li H, Qiu Y, Yang Z. Chi. J. Eng. 1996, 18, 232–236.Search in Google Scholar

[9] Li C, Li Y, Gao Y, Yang D, Li Y, Nie J. Iron. Stel. Van. Tita. 2006, 2, 5–9.Search in Google Scholar

[10] Xiong Y, Liang B, Li C. Chin. J. Process Eng. 2008, 8, 1092–1097.Search in Google Scholar

[11] Zhou Z, Zhang B, Zhu Z. Iron. Stel. Van. Titan. 1999, 20, 35–38.Search in Google Scholar

[12] Tong Q, Qi T, Liu Y. Chin. J. Process Eng. 2007, 7, 85–89.Search in Google Scholar

[13] Zhang L, Zhang L, Wang MY, Li GQ, Sui ZT. Miner. Eng. 2007, 20, 684–693.10.1016/j.mineng.2007.01.003Search in Google Scholar

[14] Otani S, Honma S, T. Tanaka, Y. Ishizawa. J.Cryst. Growth 1983, 61, 1–7.10.1016/0022-0248(83)90272-5Search in Google Scholar

Received: 2015-9-25
Accepted: 2016-1-18
Published Online: 2016-3-16
Published in Print: 2016-4-1

©2016 by De Gruyter

This article is distributed under the terms of the Creative Commons Attribution Non-Commercial License, which permits unrestricted non-commercial use, distribution, and reproduction in any medium, provided the original work is properly cited.

Articles in the same Issue

  1. Frontmatter
  2. In this issue
  3. Editorial
  4. Science needs passion – science is passion – science gives passion
  5. Original articles
  6. Performance evaluation of various bioreactors for methane fermentation of pretreated wheat straw with cattle manure
  7. Recyclable graphene-supported palladium nanocomposites for Suzuki coupling reaction
  8. Optimization of the asymmetric synthesis of chiral aromatic alcohol using freeze-dried carrots as whole-cell biocatalysts
  9. Green synthesis of 2-aryl benzothiazole heterogenous catalyzed by MoO3 nanorods
  10. Factorial design study to access the “green” iodocyclization reaction of 2-allylphenols
  11. Stereoselective synthesis of (1S,2S)-1-phenylpropane-1,2-diol by cell-free extract of Lactobacillus brevis
  12. Ultrasound-assisted preparation of ZnO nanostructures: understanding the effect of operating parameters
  13. Study of anti-cancer properties of green silver nanoparticles against MCF-7 breast cancer cell lines
  14. Syntheses of ultra-fine barium carbonate powders by homogeneous precipitation method
  15. Green synthesis of novel antioxidant luminescent silica nanoparticle embedded carbon nanocomposites from a blue-green alga
  16. Preparation of TiC by carbothermal reduction in vacuum and acid leaching using blast furnace slag bearing titania
  17. Ultrasound assisted three phase partitioning of peroxidase from waste orange peels
  18. Isotherms and kinetic studies on adsorption of Hg(II) ions onto Ziziphus spina-christi L. from aqueous solutions
  19. Conference announcement
  20. Conferences 2016–2017
  21. Book reviews
  22. Ionic liquids in the biorefinery concept: challenges and perspectives
  23. Sustainable catalysis
Downloaded on 20.12.2025 from https://www.degruyterbrill.com/document/doi/10.1515/gps-2015-0092/html
Scroll to top button