Abstract
The sediment sources in the southern Okinawa trough (SOT) are still controversial and few studies have focused on the effects of transport processes on the elemental composition of initial terrigenous materials. Here we present rare earth element (REE) and trace element data on siliciclastic sediments from 14C age-dated Core S3, which was collected from the SOT, to provide reliable evidence for illustrating the modified effects of marine environments on terrigenous sediments deposited at different stages and exposing changes in sediment source over the past 3 ka. Compared with bulk sediments, the siliciclastic sediments in S3 have more variable REE fractionation parameters and lower middle REE (MREE) contents. Our REE data indicate that during river-sea processes, MREE-enriched fractions such as Fe–Mn oxides and carbonate were added to the original terrigenous sediments before deposition, weakening the degree of REE fractionation in the initial sediments; thus, care should be taken when using REE data from bulk samples to decipher source changes. The temporal changes in sediment source in S3 can be broadly identified based on the REE fractionation parameters of the residual fractions, and the results are largely consistent with the findings obtained by heavy mineral examinations. Units 1 and 3 are dominated by reworked shelf sediments of Changjiang origin,while the proportion of Taiwan-derived sediment is notably higher in Units 2 and 4. The sediment flux of Taiwan origin in the SOT was much smaller than previously thought. Huanghe-derived sediments and volcanic materials did not contribute significantly to the late Holocene sedimentation in the SOT. The large variations in sediment sources in S3 were possibly caused by changes in transport patterns driven by time-dependent changes in oceanic currents.
1 Introduction
The Okinawa Trough (OT) is a newborn intracontinental basin located between the southeastern side of the continental shelf of the East China Sea (CSECS) and the northwest side of the Ryukyu Island Arc (Figure 1) [1, 2]. This region is covered by a thick layer of sediment [3, 4] and accompanied by frequent hydrothermal [5, 6, 7, 8] and magmatic activity [9, 10, 11, 12, 13]. The OT represents an ideal area for studying land-ocean interactions and paleoceanography because of its unique geographic location, complicated ocean current systems and sustained sedimentation since the late Quaternary [3, 4, 14, 15, 16]. Notably, the sedimentation rates in the southern OT (SOT) (usually > 0.1 cm/a) are much higher than those reported in the central and northern OT, which generally fall in the range of 0.01-0.03 cm/a [17, 18, 19, 20, 21, 22]. Therefore, the SOT, as an important sink for terrigenous sediments with high sedimentation rates, can provide an important archive for identifying the sources of terrigenous sediments.
Terrigenous sediments deposited in the OT are characterized by multiple sources, including sediment transported by the main rivers flowing through mainland China (Changjiang and Huanghe) and Taiwan [3, 4, 23, 24, 25, 26] and volcanic materials originating from volcanic eruptions in the Japanese islands [27, 28, 29]. Terrigenous sediments can be transported to the sedimentation area directly from rivers when the sea level is quite low, and the driving forces caused by ocean currents, earthquakes, hydrothermal activity, volcanic activity and wind can also contribute to the accumulation of siliciclastic sediments in the OT [30, 31]. The climate in the study area is mainly controlled by the East Asian monsoon system, which is characterized by significant seasonal fluctuations in temperature, humidity, and atmospheric circulation [4, 32]. The seasonal fluctuations of the monsoon regime generally lead to significant changes in the hydrogeological conditions of the OT and v and direction of the Kuroshio Current (KC) [4, 32].
![Figure 1 Schematic map of the Okinawa Trough and sampling location of Core S3.Notes: Oceanic circulation paths have been modified after Dou et al. [4]. TWC=TaiwanWarm Current; KC=Kuroshio Current; ZFCC=Zhejiang and Fujian Coastal Current; CDW=Changjiang Diluted Water; YSCC=Yellow Sea Coastal Current; YSWC=Yellow Sea Warm Current.](/document/doi/10.1515/geo-2019-0072/asset/graphic/j_geo-2019-0072_fig_001.jpg)
Schematic map of the Okinawa Trough and sampling location of Core S3.
Notes: Oceanic circulation paths have been modified after Dou et al. [4]. TWC=TaiwanWarm Current; KC=Kuroshio Current; ZFCC=Zhejiang and Fujian Coastal Current; CDW=Changjiang Diluted Water; YSCC=Yellow Sea Coastal Current; YSWC=Yellow Sea Warm Current.
In recent years, many efforts have focused on using mineralogical and geochemical methods [3, 4, 25, 26, 32, 33, 34, 35] to identify the source of sediment collected from the OT. However, the source of the sediment in the OT is still unclear. In the SOT, for example, evidence from clay mineralogy and Sr-Nd-Pb isotopes of the sediment from the Ocean Drilling Program(ODP)Hole 1202B suggests that the detrital sediment in the SOT since the Holocene has been dominated by Taiwan-derived sediments [4, 32]; a calculation in an earlier study simulated the sediment from Core RC14-91 in the SOT and indicated that it is a mixture of approximately 60% from Taiwan, 30% from Chinese Loess Plateau and 10% from Changjiang [35]. These studies were performed at a single sampling location and cannot represent the entire research area. The SOT is the deepest ‘sink’ in the OT and presents a complex geological setting, which may lead to the accumulation of sediments with distinctive sources and transport patterns at different sites. Therefore, more detailed analyses based on reliable tracers with high-resolutions are urgently needed for core sediments collected from other sites in the SOT.
Rare earth elements (REEs) are trustworthy tracers that have become powerful geochemical tools for sediment source studies because of their highly conservative behavior during Earth surface processes [25, 36, 37, 38, 39, 40, 41, 42]. The REE geochemical characteristics of sediment in the OT have been well documented by previous studies on surface sediments [43, 44] and core sediments [25, 26, 34, 44]. However, these studies have mainly focused on the middle and northern parts of the OT, and source studies that use REE composition in the SOT remain to be performed.
In general, the bulk REE composition of the original weathered products can be altered by multiple complex geochemical and physicochemical conditions during the transport processes of the sediment from the source area to the sink site [36, 45, 46, 47, 48, 49, 50]. Additionally, the elemental compositions of the initial sediments may be modified or changed while the acid-leachable fractions (e.g., authigenic and bioclastic minerals) or terrigenous sediments from multiple sources are added and deposited at the same time [42, 51]. However, few studies have focused on the effects of transport and deposition processes on the elemental composition of initial terrigenous materials in the study area.
Therefore, the main objectives of this study are to (1) characterize the REE composition of siliciclastic sediments in Core S3 collected from the SOT; (2) evaluate the impacts of river-sea processes and depositional environments on the REE contents of sediments in the SOT from a chronologic perspective via comparisons with bulk sediments; and (3) constrain the changes in the sources of the siliciclastic sediments in the SOT over the past 3000 years.
2 Materials and methods
Core HOBAB4-S3 was collected at a water depth of 1351 m from the continental slope of the SOT (122∘37.98′E, 24∘49.42′N) using a piston corer from R/V SCIENCE during the HOBAB4 cruise in 2016 (Figure 1). This 420 cm long core is mainly composed of steel-gray clayey silt. No distinct volcanic ash interlayer is found in this core, but two small turbidite layers with extremely high contents of sand are observed at depths of 313-316 cm and 388-390 cm.
A high-resolution age model for Core S3 was established based on accelerator mass spectrometry (AMS) 14C ages of planktonic foraminifera picked from 5 sediment layers (S. Hu, submitted for publication). The original dating data were calibrated to calendar years before AD 1950 using the online program CALIB 7.1, http://calib.org; [52], the calibration data set Marine13.14c [53] and Delta R=35±25 [54]. A total of 210 subsamples at 2 cm intervals were measured for grain size composition, and a portion of the data were first reported by Hu et al. [55].
A total of 106 subsamples were collected from S3 for element analysis. To remove the biogenic and authigenic components in the sediments, we followed the pretreatment method described and successfully applied in previous studies [4, 25, 34, 56, 57]. Approximately 0.2 g of bulk sediment was weighed into a 50 ml centrifuge tube to react with 20 ml 1 M HCl for 24 h in a 50∘C water bath. After leaching with dilute HCl, the residual fractions were washed twice using ultrapure water (UPW) and then dried to a constant weight at 50∘C. Approximately 40 mg of powdered residual sample was weighed and transferred to a Teflon vessel for acid digestion. The residues were digested with 1.5 ml HF and 0.5 ml HNO3 for 24 h on a heating plate at 150∘C, and after this step, 0.25 ml HClO4 was added and then heated until dry. Afterwards, 1 ml HNO3 and 1 ml UPW were added to dissolve the white cake for another 24 h on a heating plate at 150∘C. The solution was finally diluted to approximately 40 g with UPW to prepare for testing. The contents of REEs and trace elements in the residues were measured by ICP-MS (ELAN DRC II) in the Key Laboratory of Marine Geology and Environment, Institute of Oceanology, Chinese Academy of Sciences. Standard samples provided by the USGS (BCR-2 and BHVO-2) and COMAR (GBW07316 and GBW07315) were used for the data quality control, and the results were within the range of ± 5 % of the certified elemental contents. The analytical precision was generally <3% for the REEs and <5% for other trace elements. To better evaluate the impact of the river-sea processes on marine sediments, 106 REE data of the bulk sediments were cited for comparison [55].
In this study, the leachable components, such as materials adsorbed onto the clays, most of the amorphous Mn-Fe (hydr)oxides, all of the biogenic or detrital carbonates and apatite were removed during the leaching procedure [3, 4, 25, 38, 42, 58, 59, 60, 61]. The residual fractions after treatment with dilute HCl for 24 h are expected to represent the insoluble silicates and aluminosilicates, which are resistant to weathering processes and contain more reliable information for the identification of sediment source [42, 62].
To identify the sediment sources more thoroughly, heavy mineral analysis was carried out for bulk samples from 11 layers of Core S3. Heavy minerals were separated from the chosen layers using conventional heavy liquid (CHBr3; 2.89 g/cm3) and magnetic techniques. Qualitative and semiquantitative identification of the separated heavy minerals was carried out by stereomicroscopy and polarizing microscopy.
3 Results
3.1 Chronology and grain size composition
The depositional age at the bottom of Core S3 (420 cm) is estimated to be 2995 a BP, which indicates that a nearly 3 ka sedimentary record is well preserved by this core. The linear sedimentation rate (LSR) and sample resolution of S3 were calculated based on the radiocarbon dating results (Table 1). The LSR presents an obviously increasing trend from the bottom to the top of S3 (Table 1, Figure 2), which is different from that of the nearby ODP Hole 1202B [54] and higher than that of sediment cores from the northern and central OT [17, 18, 19, 20, 21, 22]. Because of the high sedimentation rate and the 1 cm sampling interval, the average time resolutions in this study(3-14years) were higher than those of other studies in the OT [25, 26, 34], thus providing relatively higher-resolution materials for sediment depositional processes study.
Radiocarbon dating data and linear sedimentation rates in Core S3.
| Depth (cm) | AMS 14C age (a BP) | Calendar age (a BP) | ±1σ (a BP) | LSR (cm/ka) | Sample resolution (a) |
|---|---|---|---|---|---|
| 73-74 | 680±30 | 293 | 249-334 | 204.74 | 4.88 |
| 143-144 | 1180±30 | 694 | 657-724 | 174.56 | 5.73 |
| 266-267 | 1930±30 | 1442 | 1392-1499 | 164.44 | 6.08 |
| 359-360 | 2500±30 | 2116 | 2039-2174 | 137.98 | 7.25 |
| 419-420 | 3230±30 | 2995 | 2929-3059 | 68.26 | 14.65 |
Note: The AMS 14C age data are from (S. Hu, submitted for publication).
The sediments in Core S3 are mainly composed of silt (2–63 μm) and clay (<2 μm), and sand is present in only a few layers (Figure 2). Two small turbidite layers with extremely high contents of sand are found at 313-316 cm and 388-390 cm. With the exception of the two turbidite layers, the mean grain size (Mz) values of sediments in S3 range from 11.18 to 19.33 μm, with an average value of 12.91 μm (n=208). The values of the sorting coefficient change from 0.95 to 1.33, with a mean value of 1.10 (n=208). The low values of the sorting coefficient probably indicate that most of the sediments in S3 are well sorted. Overall, no significant change can be observed in the vertical variations in the clay fraction and the silt fraction (Figure 2). The clay fraction changes by approximately 13.08% (n=208) and varies between 9.04 and 17.00%, whereas the silt fraction lies in the range of 83.00-90.96% and overall fluctuates near 87.00% (n=208).
3.2 REE partitioning in the residual fractions and bulk sediments
The REE composition of the residual fractions from Core S3 are shown in Figure 3 and Table 2. Additionally, the REE composition of the bulk sediments from S3 are cited for comparison (Figure 3, Table 2) [55]. According to the vertical changes in the REE contents and characteristic parameters, the depth profiles can be approximately divided into four sedimentary units (Figure 3): Unit 1 (2995-1442 a), Unit 2 (1442-694 a), Unit 3 (694-293 a) and Unit 4 (293 a-present).

Downcore variations in REE fractionation parameters between the residual fractions and bulk sediments of Core S3.
For all layers, the mean ΣREE (the sum from La to Lu) in the residual fractions and in bulk sediments are similar, i.e., 168.68 ± 8.39 μg/g and 168.23 ± 6.96 μg/g (n=106), respectively. Among most of the layers, the residues show higher Σ LREE contents (the sum from La to Nd) (mean=148.49±7.64 μg/g, n=106) compared to those in the bulk sediments (mean=145.18±6.09 μg/g, n=106). LREEs in the residual fraction from Unit 2 and Unit 4 (152.05±6.17 μg/g and 151.83±7.76 μg/g, respectively) are more enriched than those in Unit 1 and Unit 3 (144.31±8.08 and 148.1±3.48 μg/g, respectively). MREEs are more prone to be leached by dilute HCl than other REEs, and the Σ MREE values (the sum from Sm to Ho) in the residual samples (12.89-16.63 μg/g in range; mean=15.10±0.69 μg/g) are distinctly lower than those in the bulk samples (15.64-19.95 μg/g in range; mean=17.72 ± 0.74 μg/g). In the residual fractions, the Σ HREE values (the sum from Er to Lu) are lower in Unit 2 (4.92±0.30 μg/g, n=31) than in Units 1, 3 and 4 (means 5.13±0.29, 5.31±0.19 and 5.08±0.32 μg/g, respectively). Clearly, the HREE contents in the residues from Unit 2 are lower than those in the bulk sediments (5.51±0.25 μg/g), which differs from the results of other units (Figure 3, Table 2).
Ce3+ is generally known to be oxidized to Ce4+ under surface conditions, and Eu3+ is reduced to Eu2+ under strongly reducing environments and/or when the temperature is extraordinarily high, while the other REEs remain in the form of trivalent cations [63, 64]. The redox processes mentioned above may lead to the fractionation of Ce and Eu from the remaining REEs. The fractionation of Ce from other REEs generally occurs in response to an oxidation reaction. Because Ce4+ is more insoluble than Ce3+, Ce4+ can be removed from solution and then incorporated into authigenic mineral phases [63, 64, 65]. The fractionation of Eu from other REEs generally occurs in response to a reduction reaction. Eu2+ can easily replace Ca2+ because of their similar crystal chemical properties; hence Eu2+ can be separated from REEs3+ and be involved in other processes [63, 64, 65]. Ce anomalies (δCe) and Eu anomalies (δEu), as vital characteristic parameters for quantitatively assess the extent of the Ce and Eu fractionations, are defined as δCe=CeN/(LaN×PrN)^0.5 and δEu=EuN/(SmN×GdN)^0.5, respectively, where the subscript N indicates normalization by chondritic values [66]. Ce anomalies are nearly absent in the bulk sediments and present values ranging from 0.98 to 1.04 (mean=1.01±0.01, n=106). The values of Ce anomalies in the residues vary in a wider range compared with that of the bulk sediments (range from 0.99 to 1.07; mean=1.01±0.02), and many samples exhibit relatively remarkable positive Ce anomalies. Both the bulk and residual fractions show moderate negative Eu anomalies, whereas the anomalous degrees of the residual samples (0.58-0.72 in range; mean=0.66±0.03, n=106) are relatively more obvious than those of bulk samples (0.64-0.76 in range; mean=0.70±0.03, n=106) (Figure 3, Table 2).
Comparison of REE composition between Core S3 sediments and potential end-members.
| Samples | ΣREE (μg/g) | ΣLREE (μg/g) | ΣMREE (μg/g) | ΣHREE (μg/g) | (La/Sm)UCC | (Gd/Yb)UCC | δCe | δEu |
|---|---|---|---|---|---|---|---|---|
| Unit l(n=39, Bulk) | 167.65±9.65 | 144.39±8.42 | 17.88±0.94 | 5.38±0.34 | 0.94±0.02 | 1.31±0.04 | 1.01±0.01 | 0.70±0.03 |
| Unit 2(n=31, Bulk) | 169.48±5.30 | 146.07±4.67 | 17.89±0.57 | 5.51±0.25 | 0.95±0.02 | 1.28±0.06 | 1.02±0.01 | 0.68±0.03 |
| Unit 3(n=18, Bulk) | 166.57±3.41 | 144.22±2.97 | 17.3±0.42 | 5.05±0.19 | 0.95±0.02 | 1.37±0.05 | 1.01±0.01 | 0.70±0.02 |
| Unit 4(n=18, Bulk) | 169.02±4.80 | 146.35±4.22 | 17.49±0.57 | 5.18±0.20 | 0.97±0.02 | 1.33±0.04 | 1.00±0.01 | 0.71±0.03 |
| Total (n=106, Bulk) | 168.23±6.96 | 145.18±6.09 | 17.72±0.74 | 5.33±0.31 | 0.95±0.02 | 1.32±0.06 | 1.01±0.01 | 0.70±0.03 |
| Unit l(n=39, Res.) | 164.31±9.01 | 144.31±8.08 | 14.87±0.76 | 5.13±0.29 | 1.14±0.02 | 1.12±0.06 | 1.02±0.01 | 0.66±0.03 |
| Unit 2(n=31, Res.) | 172.16±7.05 | 152.05±6.17 | 15.19±0.7 | 4.92±0.30 | 1.15±0.02 | 1.23±0.05 | 1.01±0.02 | 0.65±0.02 |
| Unit 3(n=18, Res.) | 168.67±3.91 | 148.1±3.48 | 15.27±0.39 | 5.31±0.19 | 1.15±0.02 | 1.10±0.03 | 1.01±0.02 | 0.66±0.03 |
| Unit 4(n=18, Res.) | 172.17±8.47 | 151.83±7.76 | 15.27±0.68 | 5.08±0.32 | 1.15±0.02 | 1.18±0.07 | 1.01±0.01 | 0.65±0.03 |
| Total (n=106, Res.) | 168.68±8.39 | 148.49±7.64 | 15.10±0.69 | 5.09±0.31 | 1.15±0.02 | 1.16±0.07 | 1.01±0.02 | 0.66±0.03 |
| Changjiang (n=14, Res.) | 130.60±11.77 | 114.00±10.30 | 12.30±1.19 | 4.30±0.36 | 1.14±0.05 | 1.10±0.08 | 1.00±0.01 | 0.61±0.04 |
| Huanghe (n=20, Res.) | 109.08±32.69 | 93.89±28.78 | 11.23±3.05 | 3.95±0.91 | 1.02±0.04 | 1.12±0.08 | 1.01±0.01 | 0.60±0.0 7 |
| Taiwan rivers (n=14, Res.) | 179.60±5.26 | 156.02±4.69 | 17.58±0.50 | 6.00±0.21 | 1.11±0.02 | 1.23±0.03 | 1.05±0.01 | 0.67±0.02 |
| Volcanic rocks(n=16) | 111.04±26.10 | 84.95±18.23 | 17.47±5.63 | 8.62±2.80 | 0.67±0.13 | 0.70±0.03 | 1.02±0.01 | 0.71±0.11 |
| UCC | 146.37 | 127.10 | 14.12 | 5.15 | 1.00 | 1.00 | 1.06 | 0.65 |
3.3 Characteristics of UCC-normalized REE patterns
The REE composition of the bulk and residual sediments in Core S3 was normalized by the upper continental crust (UCC) [67] to further assess the possible modification effects of river-marine systems on the original sediment during the erosion, transport and sedimentation processes (Figure 3, Figure 4, Table 2).
![Figure 4 UCC-normalized patterns of REEs in the bulk sediments (a) and residual fractions (b) of Core S3; comparisons of REE patterns between the potential end-members and the residual fraction in Core S3 (c-f). Notes: CJ=Changjiang [38]; TW=Taiwan rivers [4]; HH=Huanghe [38]; VR=volcanic rocks [99]; and U1ave, U2ave, U3ave and U4ave=average of Unit 1, Unit 2, Unit 3 and Unit 4, respectively.](/document/doi/10.1515/geo-2019-0072/asset/graphic/j_geo-2019-0072_fig_004.jpg)
UCC-normalized patterns of REEs in the bulk sediments (a) and residual fractions (b) of Core S3; comparisons of REE patterns between the potential end-members and the residual fraction in Core S3 (c-f). Notes: CJ=Changjiang [38]; TW=Taiwan rivers [4]; HH=Huanghe [38]; VR=volcanic rocks [99]; and U1ave, U2ave, U3ave and U4ave=average of Unit 1, Unit 2, Unit 3 and Unit 4, respectively.
The REE parameters in the residual fraction are characterized by extremely high (La/Sm)UCC ratios (1.09-1.20 in range; mean=1.15±0.02, n=106) relative to those in the bulk sediments (0.91-1.02 in range; mean=0.95±0.02, n=106). The (La/Yb)UCC and (Gd/Yb)UCC values of the bulk and residual sediments in Core S3 exhibit diverse characteristics with marked changes occurring in Unit 2. The (La/Yb)UCC ratios in Unit 2 of the residues are higher than those in the bulk sediments (means=1.35±0.06 and 1.14±0.06, respectively, n=31), and the (La/Yb)UCC ratios in the residues from other units are close to those of the bulk sediments. By contrast, the (Gd/Yb)UCC values in the residual fractions and the bulk sediments from Unit 2 are similar (means=1.23±0.05 and 1.28±0.06, respectively, n=31), and these values in the residual fractions from other units are significantly lower than those in the bulk sediments (Figure 3, Table 2).
The UCC-normalized REE patterns of the bulk sediments and the residual fractions show completely different characteristics (Figures 4a and 4b). The bulk sediments are characterized by convex-up patterns with strong enrichment in MREEs (especially Gd and Eu) relative to LREEs and HREEs. The residual fractions, however, show relatively flat REE distribution patterns. Substantial variations can be observed in the fractionation degree of REEs among different units of the residual fractions (Figures 4c-4f); for instance, the (Gd/Yb)UCC ratios in Units 1 and 3 are similar (1.12±0.06 and 1.10±0.03, respectively) but apparently lower than those in Units 2 and 4 (1.23±0.05 and 1.18±0.07, respectively) (Table 2). Clear positive gadolinium (Gd) anomalies appear in the UCC-normalized patterns of both the bulk sediments and the residual fractions (Figures 4a and 4b), and they were assumed to have originated from human factors in previous studies [68]; however, Yang et al. [38] studied the REE composition of Chinese fluvial sediments and suggested that this behavior reflects the fractionation of MREEs associated with specific minerals.
3.4 Heavy mineral assemblages of sediments in Core S3
Heavy mineral analysis results were obtained from 2-4 layers in each of the four units. We use the average mineral composition of different layers to represent the overall mineral composition characteristics of each unit. The heavy mineral types and contents of the sediments in the four units of Core S3 are listed in Table 2. The heavy mineral assemblages in sediments from potential sources, such as Changjiang, Huanghe and Taiwan rivers, are also listed in Table 3. The main heavy mineral assemblage in the sediments in the four units is amphibole, epidote, zircon, pyrite and magnetic minerals.
Percentages of individual minerals in the heavy mineral fractions of the sediments from Core S3 and potential end-members (%).
| Samples | Unit 1 | Unit 2 | Unit 3 | Unit 4 | Taiwan rivers | Changjiang | Huanghe |
|---|---|---|---|---|---|---|---|
| Number | 4 | 3 | 2 | 2 | 8 | 145 | 149 |
| Zircon | 2.67 | 4.90 | 1.05 | 1.74 | 15.17 | 0.00 | 0.11 |
| Apatite | 1.39 | 0.06 | 0.10 | 0.02 | 0.81 | 0.40 | 0.58 |
| Pyrite | 2.91 | 6.40 | 1.40 | 0.55 | 22.53 | 0.90 | 1.14 |
| Rutile | 0.43 | 0.19 | 0.07 | 0.11 | 1.88 | 0.00 | 0.00 |
| Anatase | 1.74 | 0.67 | 0.36 | 0.46 | 3.87 | 0.00 | 0.00 |
| Leucoxene | 0.81 | 0.24 | 0.03 | 0.04 | 3.65 | 0.00 | 0.00 |
| Tourmaline | 1.17 | 0.29 | 0.17 | 0.26 | 1.06 | 0.20 | 0.00 |
| Augite | 1.45 | 0.52 | 0.85 | 25.71 | 0.31 | 4.80 | 0.40 |
| Epidote | 33.50 | 13.16 | 10.37 | 17.71 | 1.45 | 27.30 | 6.45 |
| Amphibole | 19.08 | 11.05 | 30.43 | 14.01 | 0.06 | 33.30 | 13.50 |
| Garnet | 1.20 | 1.25 | 0.42 | 0.44 | 3.31 | 0.50 | 2.80 |
| Limonite | 1.18 | 1.19 | 0.98 | 0.50 | 9.83 | 2.90 | 3.13 |
| Ilmenite | 7.94 | 8.91 | 9.35 | 9.725 | 1.73 | 1.50 | 1.43 |
| Magnetite | 8.37 | 7.25 | 2.52 | 4.75 | 2.88 | 0.20 | 0.93 |
| Biotite | 0.00 | 0.00 | 0.00 | 0.00 | 0.00 | 0.90 | 47.44 |
| Other minerals | 16.51 | 43.85 | 41.92 | 23.935 | 31.57 | 26.30 | 20.36 |
| Amphibole + epidote | 52.57 | 24.21 | 40.80 | 31.72 | 1.51 | 60.60 | 19.95 |
| Zircon + pyrite | 5.58 | 11.30 | 2.45 | 2.29 | 37.70 | 0.90 | 1.25 |
4 Discussion
4.1 Influence of river-sea processes on the source sediments of S3 over the past 3000 years
The OT, located at the East Asian continental margin, has experienced continuous deposition of late Quaternary terrigenous sediments delivered mainly from the major rivers of mainland China and partly from Taiwan rivers [3, 4, 23, 24, 25, 33, 69]. Sediments deposited in the submarine trough feature complicated mineral compositions because of the complex transport processes of weathering products from the source regions. As mentioned earlier, the residual fraction is mainly composed of silicates, aluminosilicate minerals and a small number of heavy minerals that are insoluble in dilute HCl [42]. In contrast, bulk sediments also include acid-leachable phases (i.e., carbonates, phosphates, Mn-Fe (hydr)oxides and organic matter) in addition to the residual fraction [57]; hence, the geochemical characteristics of the bulk sediments from the marine environment should reflect the interactions among seawater, parent rock, weathering and sorting processes [70, 71, 72, 73]. Therefore, variations in the REE composition between the residual fractions and the bulk sediments are expected to reflect the possible effects of river-sea processes on detrital sediments transported from the source regions over the past 3 ka.
In general, REEs can be scavenged from seawater and bound to the surfaces of Mn-Fe (hydr)oxides, bound to carbonates, fixed and coagulated in organic materials, and stabilized and precipitated after the formation of REE-enriched phosphates [38, 46, 74, 75, 76, 77, 78, 79, 80]. The most noticeable REE composition difference between the bulk sediments and residual fractions is that the Σ MREE values in the bulk samples are relatively higher in all units of Core S3 than those in the residues (Figure 3, Table 2). Furthermore, the bulk sediments are characterized by convex-up REE patterns with strong enrichment in MREEs, while the residual fractions show relatively flat REE patterns (Figure 4a and 4b). MREEs can be concentrated in carbonate, apatite, Fe–Mn oxides, and organic matter, as has been well documented by earlier studies [81, 82]. Among the four units, the bulk sediment and the residual fraction in Unit 1 tend to have the largest gap in MREE values, which corresponds well to the relatively high apatite content in Unit 1 (Table 3), suggesting that the high content of MREE-enriched apatite in Unit 1 may be one of the main factors contributing to the MREE bulge in the REE pattern of Unit 1. The MREE bulges in the REE patterns of other units may be related to other MREE-enriched minerals. Sequential leaching experiments for Fe–Mn oxide phases suggest that the MREE enrichment present in sediments from Chinese rivers and East China Sea shelves is closely associated with amorphous Fe oxide minerals formed in suboxic and/or anoxic environments [38, 42, 57, 82]. These results indicate that a high proportion of MREE-enriched fractions, such as authigenic carbonate and Fe–Mn oxides, were also added to the terrigenous sediments in Core S3 during the river-sea processes, causing a MREE compositional enrichment that is essentially unrelated to the initial detrital compositions from the source region. The MREE contents in the leachable components vary among the different depositional units (Figure 3), which may result from two factors: the availability of MREEs adsorbed by the acid-leachable phases in the bulk sediments varied over time; or the leachable fractions with different depositional ages are composed of Mn-Fe (hydr)oxides, organic materials, carbonates and phosphates in different proportions.
The differences in the proportions of various accessory minerals or the bulk mineralogical composition may be responsible for the distinctive REE patterns [42]. More obvious LREE enrichment can be observed in the UCC-normalized patterns of the residual fractions relative to the bulk samples (Figures 4a and 4b). We argue that the minerals (e.g., carbonates) that have dilution effects on the REE contents in the bulk sediments were removed by the treatment process; consequently, the percentages of the LREE-enriched minerals (e.g., monazite, sphene, allanite, and epidote) in the residues increased, which may be responsible for the LREE enrichment features in the residues (Figure 4).
The HREE contents in the residues from Unit 2 are relatively lower than those in other units (Figure 3), which may be associated with a relatively low proportion of heavy minerals, such as zircon and garnet, which generally contain high abundances of HREEs [38]. However, our heavy mineral analysis results show that the sediment in Unit 2 has a relatively higher proportion of zircon and garnet than other units (Table 3), suggesting that zircon and garnet are not the main factors affecting the HREE contents in Unit 2. REEs are preferentially associated with the clay mineral fraction in offshore sediments [83], while heavy minerals contribute only approximately 10–20% of the total REE concentration [38, 84]. Thus, we infer that the low HREE contents in this unit might be attributed to variations in fine-grained weathering products in the source area and that the sediment source of this unit may be different from those of the other units.
The soluble carbonate complexes and authigenic minerals formed by particulate-water reaction processes [85] can also contribute to sediments, causing a compositional change/modification in original clastic composition [42]. The similar HREE contents in the bulk sediments from different layers of Unit 2 (Figure 3) clearly suggest that the original REE composition of the sediments were modified by unstable fractions formed in complex physical-chemical conditions.
Many studies have confirmed that the element Ce is sensitive to variations in the redox conditions, the presence of Fe-Mn oxides, and the types of clay mineral [86, 87, 88]. In our study, Ce anomalies are nearly absent in the profile of the bulk sediments (Figure 3); however, the δCe values of the residues vary within a relatively wide range, and slightly positive Ce anomalies are observed in the residual fraction from many layers (Figure 3), which demonstrates that the initial clastic sediments transported from the source areas were likely homogenized by the river-sea processes that weakened the degree of REE fractionation [61]. According to the δEu values, clearer Eu anomalies are found in the residues than in the bulk samples, further illustrating that the REE fractionation of river sediments was likely weakened by river-sea processes.
Apparently, the original chemical composition of the terrigenous material deposited in Core S3 was altered by multiple complex geochemical and physicochemical conditions during the transport and deposition processes from the source area to the SOT, and similar phenomenon has also been observed in other study areas [45, 46, 47, 48, 50]. The residual fraction is relatively stable under conventional geochemical and physicochemical conditions, while the acid-leachable fractions are easily modified by changes in the environment [82]. Our results indicate that MREEs are more labile than LREEs and HREEs and that the MREEs enriched in the acid-leachable fractions could be released to the water or move back to the particulates during particulate-water interaction processes. Therefore, identifying the sediment source of Core S3 using the REE composition of the MREE-enriched bulk sediments is not straightforward because of the modifying effects of the acid-leachable fraction on the REE composition related to river-sea processes, as documented by earlier studies [42, 57, 61]. However, further research is needed to evaluate the effects of each unstable fraction on the bulk REE composition under the premise that the REEs present in slightly resistant REE-bearing minerals are not released during the sequential extraction procedure.
4.2 Main factors controlling the REE contents in the residual fraction of Core S3
Variations occurring in the REE composition of sediments from marginal seas generally result from various factors, including the composition of parent rocks, the intensity of chemical weathering, the effect of hydrological sorting, differences in mineral assemblage, etc. [25, 34, 38]. However, the sediment provenance can be identified as the predominant factor controlling the REE components [38, 57, 67], which is supported by recent studies in the middle and northern OT [25, 26, 34].
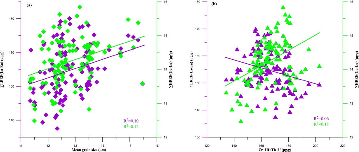
Many studies have shown that REEs tend to be enriched in fine-grained fractions and depleted in coarse-grained fractions because of the dilution action of quartz and carbonate minerals, which is commonly called the grain size effect [36, 89, 90, 91]. Arecent study on the transport pattern of river sediment suggests that REEs are greatly influenced by hydraulic sorting even before arriving at the continental margin [61]. Therefore, to better discriminate the sediment source, we tested the possible effects of hydraulic sorting on the REE composition and fractionation parameters of the sediments in Core S3 by performing a correlation analysis of the REE contents with the average grain size (Figure 5a). However, no obvious correlations were observed in either the mean grain size vs. Σ LREE plot or the mean grain size vs. Σ HREE plot, thus implying that grain size is not a significant factor controlling the REE composition of the residual fractions. Consequently, the REE contents in the sediments collected from the SOT were not dominated by hydraulic sorting.

Correlation plots of the mean grain size and REE contents (a); correlation plots of heavy mineral-associated elements (Zr+Hf+Th+U) and REE contents (b).
The bulk sediments in the study area are usually composed of two parts: one part is the acid-leachable fraction, which mainly consists of Mn-Fe (hydr)oxide, biogenic or detrital carbonates and apatite; and the other part is the insoluble fraction, which consists mostly of silicates and aluminosilicates. A majority of the mobile fraction was removed effectively during the pretreatment procedure with dilute HCl [25, 38, 56, 57, 59]; therefore, the REE composition of the residual fraction measured in this study can generally be regarded as the contribution from the siliciclastic fraction. According to the above reasoning, we suggest that chemical weathering plays a negligible role in controlling the REE composition of the residual fraction from Core S3 [25, 34]. In addition to the siliciclastic fraction, the residual fraction usually contains a few accessory heavy minerals (e.g., zircon, garnet, monazite, allanite, and titanite), which may cause notable fractionation of the bulk REE composition because REEs are usually enriched in these minerals [36, 67, 92, 93]. To evaluate the potential effects of heavy minerals on the REE contents of the residual fraction, a correlation analysis was performed with the contents of REEs and elements associated with heavy minerals. As shown in Figure 5b, no evident correlation was recognized between the contents of elements associated with heavy minerals (the sum of Zr, Hf, Th and U) and Σ LREE, and only a weak correlation was found between elements associated with heavy minerals and the Σ HREE values of the residues. Moreover, previous studies implied that heavy minerals contributed only 10-20% of the total REE contents in riverine sediments [38, 84]. The mean grain size of sediments in Core S3 is considerably smaller than that of sediments in the surrounding rivers. Therefore, we infer that the contribution of heavy minerals to the REE composition of the residual fraction was extremely limited and heavy minerals may not have been a dominant factor controlling the REE contents of the sediments in core S3.
Based on the above interpretations, our results suggest that the differences in REE contents and fractionation parameters of the siliciclastic sediments can be used as reliable tracers for discriminating the sediment source of Core S3.
4.3 Application of the REE characteristics in the residual fractions for discriminating the source of Core S3
The REE geochemical characteristics of river sediments could be used as tracers for identifying the source of marine sediments because of their highly conservative geochemical behavior in hypergene environments [41]. However, the geochemical characteristics of source rocks are modified by complicated chemical and physical procedures within river-sea systems [36, 61, 94]. In addition, many studies have shown that REE composition is greatly influenced by in-river processes, such as, hydrodynamic sorting and sediment-water synergy [61, 95]. Our results also suggest an evident modifying effect of transport and deposition processes on the elemental composition of initial terrigenous materials in the SOT. Therefore, discriminating sediment source by using the REE contents of bulk sediments does not provide unequivocal proof, whereas the measured REE composition of the residual fraction dominated by silicate detritus is advantageous for source discrimination. The residues separated from the bulk sediments by treatment with dilute HCl were subjected to REE content measurements. Accordingly, most of the soluble fractions, such as Mn-Fe (hydr)oxide, carbonates and apatite, were removed from the bulk sediments [56, 57, 90]. Consequently, we infer that the REE composition of the residues mainly reflects the contributions of detrital silicate minerals, which are principally derived from eroded terrigenous and volcanic materials and contain reliable information for the identification of sediment source.
Only by fully understanding the potential source regions and material end-members can we reasonably determine the sediment source [4]. Previous studies have suggested that terrigenous particulate matter in the OT is generally associated with terrigenous sediment carried by the Changjiang, Huanghe and Taiwan rivers [23, 25, 96, 97, 98], which means that sediments discharged from the estuaries of the largest rivers are vital sedimentary end-members for Core S3. The locations of the Changjiang and Huanghe estuaries have not changed since the late Holocene [20]; thus, modern samples from these locations are suitable for constraining the sediment source of Core S3. In this study, REE data for the Changjiang and Huanghe residual sediments, processed using with pretreatment methods similar to those in this study, are cited as two end-members [38]. Because most of the previous studies on Taiwan river sediments were limited to bulk sediments samples [41], the REE data of detrital sediments in the nearby Hole 1202B over the last 3000 years are cited as the Taiwan river sediment end-member, because studies on isotopes and clay minerals have confirmed that these sediments mainly originated from Taiwan rivers [4, 32]. Considering that eruption products produced by submarine volcanoes and volcanic material conveyed from Japanese island volcanoes exert an important control on the siliciclastic sediments in the OT [28], data from volcanic rocks in the OT are cited as another potential material end-member [99].
Here, we compare the UCC-normalized REE patterns of Core S3 with those of the potential sources (Figures 4c-4f). Obviously, the sediments in S3 have patterns similar to those of river sediments but completely different from those of volcanic rocks (Figures 4c-4f); thus, we suggest that the influence of volcanic materials on sedimentation in the SOT is minimal because of the dominance of fluvial input. The patterns of samples from Units 1 and 3 are characterized by relative enrichment in HREEs and depletion in LREEs (Figures 4c and 4e). In addition, large differences in the REE composition and fractionation characteristics can be observed among these units (Figure 3). Such features indicate that the sources of sediments in different units of Core S3 may have changed over time.
In this paper, a discrimination diagram based on (La/Sm)UCC vs. (Gd/Yb)UCC is applied to constrain the sediment sources in Core S3 (Figure 6) and has been successfully used in previous studies [25, 34, 41]. Samples in the oldest unit (Unit 1, deposited from 2995-1442 a) mainly fall in the area of Changjiang sediments, and only a few points are close to the Taiwan riverine sediments, which indicates that the siliciclastic sediments in Unit 1 mainly originated from Changjiang and that the influence of Taiwan rivers was limited (Figure 6a). However, the (La/Sm)UCC and (Gd/Yb)UCC values of Unit 2 (deposited from 1442-694 a) are consistent with those of Taiwan sediments, and only a few points are similar to Changjiang sediments; thus, we infer that sediments from Taiwan Island were the dominant contributors to Unit 2 and that Changjiang-derived sediments were secondary contributors (Figure 6b). Furthermore, Figure 6c shows that samples from Unit 3 mainly fall in a cluster close to Changjiang sediments, implying that Unit 3 (deposited from 694-293 a) was primarily sourced from sediments carried by Changjiang. In the scatter plot for the uppermost unit (Unit 4, deposited from 293 a-present), one group of points is distributed in the region of Taiwan river sediments, and the other falls in the area of Changjiang sediments, suggesting that the sediments in Unit 4 represent a mixture of sediment from Changjiang and Taiwan Island (Figure 6d). Bentahila et al. [35] argued that 30% of the sediment in the SOT is derived from Chinese loess (the main component of Huanghe-derived sediment). However, distinct differences are observed between the scatter plot of Huanghe sediments and the plot of S3 sediments, implying that sediments carried by Huanghe were an insignificant contributor to the siliciclastic sediments in S3. This finding is in accordance with the results of a previous study showing that Huanghe-derived sediments could not be transported to the SOT freely in the modern ocean current system [100]. The REE composition of the volcanic rocks was quite different from that of Core S3 (Figure 6), which probably means that volcanic materials have a negligible impact on the sediments found in S3. Additionally, no identifiable volcanic debris or volcanic ash layers were found in Core S3, similar to a previous study on the nearby ODP Hole 1202B [101]. Therefore, volcanic detritus transported from nearby areas was not a major factor controlling the sediments deposited in the SOT, at least over the past 3000 years.
Evidence from clay minerals and radiogenic isotopes in the detrital sediment collected at ODP Hole 1202B in the SOT suggests that the sediment source of the SOT has been dominated by Taiwan-derived sediments since the Holocene [4, 32]. However, the grain size compositions and the average bulk sedimentation rates differ markedly between Core S3 and ODP Hole 1202B (the sand and clay fractions are relatively low in S3, and the estimated depth corresponding to 3 ka is 4.2 m below the seafloor (mbsf) in Core S3 and 11.5 mbsf in Hole 1202B) [32, 54]. Therefore, the depositional environments of these two sites have been quite different since the late Holocene. Thus, it is not surprising that our REE data show clear changes in sediment source, with Units 1 and 3 dominated by Changjiang-derived sediments and Units 2 and 4 featuring higher Taiwan-derived sediment fluxes.
Heavy mineral assemblages are considered sensitive indicators for sediment source discrimination [38, 102, 103]. The heavy mineral composition is generally inherited from the source rocks and hardly changes during weathering and transport processes; thus, the heavy mineral assemblage can be used to determine the characteristics of source rocks directly [102]. The major heavy mineral assemblage in sediment from the Changjiang estuary is characterized by amphibole and epidote (Table 3) [104]. The sum of amphibole and epidote in Unit 1 (52.57%) and Unit 3 (40.8%) was significantly higher than that in Unit 2 (24.21%) and Unit 4 (31.72%) (Table 2), indicating that Changjiang-derived sediment contributed significantly to the sediment in Units 1 and 3. The heavy mineral assemblage characteristics of sediment at the mouths of Taiwan rivers are characterized by zircon and pyrite (Table 3) [103]. The sum of zircon and pyrite in Unit 2 (11.33%) is evidently higher than those in other units (Table 3), suggesting that the flux of Taiwan-derived sediment was remarkably higher during deposition of Unit 2 than during the deposition of the other units. The sum of amphibole and epidote in Unit 4 is lower than those in Units 1 and 3 but higher than in Unit 2 (Table 3), which may indicate mixed contributions from both Changjiang and Taiwan rivers. The heavy mineral composition of sediment from Huanghe catchment mainly consists of biotite, amphibole, and epidote (Table 3) [105], which is different from the heavy mineral assemblages in the four units of Core S3, suggesting that Huanghe-derived sediment was not a significant source of the sediment in S3. The heavy mineral composition of the sediment in Core S3 also suggests that Units 1 and 3 are composed mainly of Changjiang-derived sediment, whereas Units 2 and 4 contain higher proportions of Taiwan-derived sediment. This conclusion further supports our understanding of the sediment source transition in Core S3 based on REE composition.
4.4 The possible transport patterns of the terrigenous sediment deposited in the SOT during the last 3 ka
The temporal variations in the REE composition of the sediment in Core S3 (Figure 3) suggest that the detrital sediments in S3 might be derived from different sources and might have resulted from different transport patterns over the past 3 ka. The transport processes for detrital sediments deposited in the study area are mainly controlled by changes in sea level, oceanic circulation and the monsoon climate [106]. Only a slight reduction in the global sea level has occurred since the late Holocene (Figure 7a) [107], suggesting a decrease in sea level did not play a significant role in changes in the transport processes and that the Changjiang-derived sediments in Core S3 were not supplied directly from the river mouth.
The time at which the KC re-entered the OT is still controversial (between 16 ka and 7.3 ka BP), despite the examination of many proxy records [15, 16, 21, 32]. However, the location of the main stream of the KC has remained stable since the late Holocene. The modern oceanic circulation patterns in the ECS fully developed during the middle Holocene (Figure 1) [21, 25]. Sedimentation in the OT since the late Holocene has been closely associated with the competing processes of the KC and the oceanic circulation in the ECS [25, 31].
The REE composition in Units 1 and 3 are very similar to that of Changjiang-derived sediments. Some evidence suggests that the KC and Taiwan Warm Current can block terrigenous materials originating from mainland China and deliver Taiwan river sediments to the SOT and even to the central and northern parts of the OT [3, 25, 26, 33]. Furthermore, these currents can erode the CSECS and cause the redeposition of the shelf sediments at the same time [108]. Therefore, we deduce that the siliciclastic sediments in Units 1 and 3 were transported from the CSECS laterally via strong reworking and erosion of the continental shelf edge composed of paleo-Changjiang sediments by ocean currents during these periods. Studies based on sediment trap experiments have confirmed that a large quantity of suspended or resuspended terrigenous particles from the outer CSECS could be transported to the OT [23, 96]. Due to a lack of ECS samples subjected to the same pretreatment methods, a comprehensive comparison of REE characteristics cannot be performed between the sediments in Core S3 and those from CSECS.
In contrast, the REE composition of the sediment in Unit 2 is similar to that of the Taiwan-derived sediment, implying that the siliciclastic sediments deposited in Unit 2 were mainly sourced from Taiwan and transported by northward ocean currents to the SOT. The REE composition of sediment in Unit 4 presents a mixture of the compositions of Changjiang and Taiwan sediments, and this mixture may have result from two transport patterns: Taiwan-derived sediments carried by ocean currents were mixed with reworked shelf sediments of Changjiang origin in the depositional area or far-traveled Changjiang-derived sediment transported by the coastal current were initially mixed with the suspended sediment from western Taiwan rivers in the Taiwan Strait [109] and then the sediment mixture was transported to the SOT by the Taiwan Warm Current [110].
The proxy records based on planktonic foraminifera have been determined to reflect the intensity of KC (Figure 7c) [111]. Units 1 and 3 tend to correspond to stronger
KC intensities than Units 2 and 4 during the last 3 ka (Figure 7c). Therefore, because the intensity and erosive power of the KC was relatively strong during the periods of Units 1 and 3, the sediment deposited in the SOT may have been mainly resuspended terrigenous sediment eroded from the CSECS by ocean currents. The intensity and erosive power of the KC was relatively weak during the periods of Units 2 and 4, and the sediment flux from Taiwan carried by the KC and its tributaries therefore dominated the sediment flux in the SOT.
The climate in the study area is dominated by the East Asian monsoon system, and stalagmite δ18O records suggest a weak and stable East Asian summer monsoon during the late Holocene (Figure 7b) [112]. Thus, variability in the climate may have played a second order role in the transport patterns of the terrigenous sediment deposited in the SOT. To investigate the effect of climate changes on the long-distance transport of sediment from source regions need more geochemical and mineralogical proxies, which is beyond the scope of this study.
Overall, our REE data suggest that the reworked shelf sediments of Changjiang origin represent an important fraction of the fine-grained sediments that in Core S3 collected from the SOT and that Taiwan-derived sediments also played an important (but much smaller than previously thought) role in this area. The temporal variations in sediment sources in Core S3 can be roughly constrained by our discrimination plot (Figure 6). Nevertheless, regional studies based on single sites and methods are not persuasive, and comprehensive studies of the transport patterns and river-sea interactions require additional investigations of the geochemical and mineralogical proxies in samples on different spatial and temporal scales.
5 Conclusions
Terrigenous sediments samples from Core S3 collected from the SOT were measured for high-resolution REE composition and heavy mineral composition. Compared with the bulk sediments, the siliciclastic fraction in S3 is characterized by remarkably lower MREE contents and more variable REE fractionation parameters and UCC-normalized patterns. Our REE data indicate that MREE-enriched fractions, such as Fe–Mn oxides, apatite and carbonate, were added or attached to the original sediments before sedimentation and that the source area-related REE fractionation patterns in the sediments were weakened and modified by complicated chemical and physical processes in the river-sea system. Thus, caution must be exercised when using the REE composition of bulk sediments for source studies.
The downcore variations in REE composition allowed us to divide the core sediments into four units: Unit 1 (2995-1442 a), Unit 2 (1442-694 a), Unit 3 (694-293 a) and Unit 4 (293 a-present). The temporal variations in sediment sources in S3 can be roughly discriminated by the REE fractionation parameters of the residual siliciclastic fractions, and the results are largely in agreement with the findings obtained by heavy mineral examinations. Units 1 and 3 mainly originated from reworked shelf sediments of Changjiang origin, while Units 2 and 4 featured higher proportions of Taiwan-derived sediment. Both Changjiang-derived sediments and Taiwan-derived sediments played important roles in the accumulation of fine-grained sediments in S3, but the sediment flux from Taiwan was much smaller than previously thought. Huanghe-derived sediments and volcanic materials did not contribute significantly to the late Holocene sedimentation in the SOT. The large variations in sediment sources in S3 might have been caused by variations in the transport patterns driven by time-dependent changes in oceanic currents.
Acknowledgement
This work was supported by the National Programme on Global Change and Air-Sea interaction (Grant No. GASI-GEOGE-02). International Partnership Program of Chinese Academy of Sciences (Grant No. 133137KYSB20170003). National Special Fund for the 13th Five Year Plan of COMRA (Grant No. DYI35-G2-01-02), Special Fund for the Taishan Scholar Program of Shandong Province (Grant No. ts201511061), National Basic Research Program of China (Grant No. 2013CB429700), National Natural Science Foundation of China (Grant Nos. 91958213 and 41325021), AoShan Talents Program Supported by Qingdao National Laboratory for Marine Science and Technology (Grant No. 2015ASTP-0S17), Innovative Talent Promotion Program (Grant No. 2012RA2191), Scientific and Technological Innovation Project Financially Supported by Qingdao National Laboratory for Marine Science and Technology (Grant Nos. 2015ASKJ03 and 2016ASKJ13). We are grateful to the anonymous reviewers for their constructive comments.
References
[1] Sibuet J.-C., Letouzey J., Barbier F., Charvet J., Foucher J.-P., Hilde T.W.C., et al., Back Arc Extension in the Okinawa Trough. J. Geophys. Res.: Solid Earth, 1987, 92, 14041-1406310.1029/JB092iB13p14041Suche in Google Scholar
[2] Sibuet J.-C., Deffontaines B., Hsu S.-K., Thareau N., Le Formal J.-P., Liu C.-S., Okinawa trough backarc basin: Early tectonic and magmatic evolution. J. Geophys. Res.: Solid Earth, 1998, 103, 30245-3026710.1029/98JB01823Suche in Google Scholar
[3] Dou Y., Yang S., Liu Z., Shi X., Li J., Yu H., et al., Sr–Nd isotopic constraints on terrigenous sediment provenances and Kuroshio Current variability in the Okinawa Trough during the late Quaternary. Palaeogeogr. Palaeoclimatol. Palaeoecol., 2012, 365-366, 38-4710.1016/j.palaeo.2012.09.003Suche in Google Scholar
[4] Dou Y., Yang S., Shi X., Clift P.D., Liu S., Liu J., et al., Provenance weathering and erosion records in southern Okinawa Trough sediments since 28ka: Geochemical and Sr–Nd–Pb isotopic evidences. Chem. Geol., 2016, 425, 93-10910.1016/j.chemgeo.2016.01.029Suche in Google Scholar
[5] Zeng Z.G., Yu S.X., Yin X.B., Wang X.Y., Zhang G.L., Wang X.M., et al., Element enrichment and U-series isotopic characteristics of the hydrothermal sulfides at Jade site in the Okinawa Trough. Science in China, 2009, 52, 913-92410.1007/s11430-009-0107-ySuche in Google Scholar
[6] Zeng Z.G., Qin Y.S., Zhai S.K., Helium, neon and argon isotope compositions of fluid inclusions in massive sulfides from the Jade hydrothermal field, the Oldnawa Trough. Acta Oceanolog. Sin., 2004, 23, 655-661Suche in Google Scholar
[7] Zeng Z., Chen S., Ma Y., Yin X., Wang X., Zhang S., et al., Chemical compositions of mussels and clams from the Tangyin and Yonaguni Knoll IV hydrothermal fields in the southwestern Okinawa Trough. Ore Geol. Rev., 2017, 87, 172-19110.1016/j.oregeorev.2016.09.015Suche in Google Scholar
[8] Zeng Z., Ma Y., Wang X., Chen C.-T.A., Yin X., Zhang S., et al., Elemental compositions of crab and snail shells from the Kueishantao hydrothermal field in the southwestern Okinawa Trough. J. Mar. Syst., 2018, 180, 90-10110.1016/j.jmarsys.2016.08.012Suche in Google Scholar
[9] Zeng Z., Shaoxiong Y.U., Wang X., Yongtao F.U., Yin X., Zhang G., et al., Geochemical and isotopic characteristics of volcanic rocks from the northern East China Sea shelf margin and the Okinawa Trough. Acta Oceanolog. Sin., 2010, 29, 48-6110.1007/s13131-010-0050-ySuche in Google Scholar
[10] Shu Y., Nielsen S.G., Zeng Z., Shinjo R., Blusztajn J., Wang X., et al., Tracing subducted sediment inputs to the Ryukyu arc-Okinawa Trough system: Evidence from thallium isotopes. Geochim. Cosmochim. Acta, 2017, 217, 462-49110.1016/j.gca.2017.08.035Suche in Google Scholar
[11] Shu Y., Zeng Z., Yin X., Wang X., Chen S., Li S., Geochemical and Sr Nd isotopic constraints on the origin of volcanic rocks from the northern Okinawa Trough. Geol. J., 2018,10.1002/gj.3332Suche in Google Scholar
[12] Guo K., Zhai S., Yu Z., Zeng Z.,Wang X., Yin X., Geochemical characteristics of major and trace elements in the Okinawa Trough basaltic glass. Acta Oceanolog. Sin., 2018, 37, 14-2410.1007/s13131-017-1075-2Suche in Google Scholar
[13] Zhang Y., Zeng Z., Chen S., Wang X., Yin X., New insights into the origin of the bimodal volcanism in the middle Okinawa Trough: not a basalt-rhyolite differentiation process. Frontiers of Earth Science, 2017, 1-1410.1007/s11707-017-0638-zSuche in Google Scholar
[14] Liu Z., Saito Y., Li T., Berne S., Chen Z., Li P., et al., Millennial-scale paleoceanography in Okinawa Trough during Late Quaternary period. Chin. Sci. Bull., 1999, 44, 1705-170910.1007/BF03183496Suche in Google Scholar
[15] Li T., Liu Z., Hall M.A., Berne S., Saito Y., Cang S., et al., Heinrich Event imprints in the Okinawa Trough: evidence from oxygen isotope and planktonic Foraminifera. Palaeogeogr. Palaeoclimatol. Palaeoecol., 2001, 176, 133-14610.1016/S0031-0182(01)00332-7Suche in Google Scholar
[16] Xiang R., Sun Y., Li T., Oppo D.W., Chen M., Zheng F., Paleoenvironmental change in the middle Okinawa Trough since the last deglaciation: Evidence from the sedimentation rate and planktonic foraminiferal record. Palaeogeogr. Palaeoclimatol. Palaeoecol., 2007, 243, 378-39310.1016/j.palaeo.2006.08.016Suche in Google Scholar
[17] Chung Y., Chang W.C., Pb-210 fluxes and sedimentation rates on the lower continental slope between Taiwan and the South Okinawa Trough. Cont. Shelf Res., 1995, 15, 149-16410.1016/0278-4343(94)E0023-FSuche in Google Scholar
[18] Shieh Y.T.,Wang C.H., Chen M.P., Yung Y.L., The Last Glacial Maximum to Holocene environment changes in the southern Okinawa Trough. J. Asian Earth Sci., 1997, 15, 3-810.1016/S1367-9120(97)90101-2Suche in Google Scholar
[19] Sawada K., Handa N., Variability of the path of Kuroshio ocean current over the past 25,000 years. Nature, 1998, 392, 592-59510.1038/33391Suche in Google Scholar
[20] Ujiié H., Ujiié Y., Late Quaternary course changes of the Kuroshio Current in the Ryukyu Arc region, northwestern Pacific Ocean. Mar. Micropaleontol., 1999, 37, 23-4010.1016/S0377-8398(99)00010-9Suche in Google Scholar
[21] Jian Z., Wang P., Saito Y., Wang J., Pflaumann U., Oba T., et al., Holocene variability of the Kuroshio Current in the Okinawa Trough, northwestern Pacific Ocean. Earth Planet. Sci. Lett., 2000, 184, 305-31910.1016/S0012-821X(00)00321-6Suche in Google Scholar
[22] Xiong Y., Liu Z., Li T., Liu Y., Yu H., The sedimentation rates in the Okinawa Trough during the Late Quaternary. Acta Oceanolog. Sin., 2005, 24, 146-154Suche in Google Scholar
[23] Katayama H., Watanabe Y., The Huanghe and Changjiang contribution to seasonal variability in terrigenous particulate load to the Okinawa Trough. Deep-Sea Research Part II-Topical Studies in Oceanography, 2003, 50, 475-48510.1016/S0967-0645(02)00469-1Suche in Google Scholar
[24] Liu J.P., Liu C.S., Xu K.H., Milliman J.D., Chiu J.K., Kao S.J., et al., Flux and fate of small mountainous rivers derived sediments into the Taiwan Strait. Mar. Geol., 2008, 256, 65-7610.1016/j.margeo.2008.09.007Suche in Google Scholar
[25] Dou Y., Yang S., Liu Z., Clift P.D., Shi X., Yu H., et al., Provenance discrimination of siliciclastic sediments in the middle Okinawa Trough since 30ka: Constraints from rare earth element compositions. Mar. Geol., 2010, 275, 212-22010.1016/j.margeo.2010.06.002Suche in Google Scholar
[26] Xu Z., Li T., Chang F., Choi J., Lim D., Xu F., Sediment provenance discrimination in northern Okinawa Trough during the last 24 ka and paleoenvironmental implication: rare earth elements evidence. J. Rare Earths, 2012, 30, 1184-119010.1016/S1002-0721(12)60202-6Suche in Google Scholar
[27] Chen J., Ma K., Volcanic eruption minerals and their geological significance. oceanographic research, 1983, 23-32Suche in Google Scholar
[28] Machida H., The stratigraphy, chronology and distribution of distal marker-tephras in and around Japan. Global & Planetary Change, 1999, 21, 71-9410.1016/S0921-8181(99)00008-9Suche in Google Scholar
[29] Miyairi Y., Yoshida K., Miyazaki Y., Matsuzaki H., Kaneoka I., Improved 14C dating of a tephra layer (AT tephra, Japan) using AMS on selected organic fractions. "Nucl. Instrum. Methods Phys. Res., Sect. B", 2004, 223-224, 555-55910.1016/j.nimb.2004.04.103Suche in Google Scholar
[30] Jian Z., Saito Y.,Wang P., Li B., Chen R., Shifts of the Kuroshio axis over the last 20 000 years. Chin. Sci. Bull., 1998, 43, 1053-105610.1007/BF02884649Suche in Google Scholar
[31] Lee S.-Y., Huh C.-A., Su C.-C., You C.-F., Sedimentation in the Southern Okinawa Trough: enhanced particle scavenging and teleconnection between the Equatorial Pacific and western Pacific margins. Deep Sea Res. Part I, 2004, 51, 1769-178010.1016/j.dsr.2004.07.008Suche in Google Scholar
[32] Diekmann B., Hofmann J., Henrich R., Fütterer D.K., Röhl U., Wei K.-Y., Detrital sediment supply in the southern Okinawa Trough and its relation to sea-level and Kuroshio dynamics during the late Quaternary. Mar. Geol., 2008, 255, 83-9510.1016/j.margeo.2008.08.001Suche in Google Scholar
[33] Dou Y., Yang S., Liu Z., Clift P.D., Yu H., Berne S., et al., Clay mineral evolution in the central Okinawa Trough since 28ka: Implications for sediment provenance and paleoenvironmental change. Palaeogeogr. Palaeoclimatol. Palaeoecol., 2010, 288, 108-11710.1016/j.palaeo.2010.01.040Suche in Google Scholar
[34] Zhao D., Wan S., Clift P.D., Tada R., Huang J., Yin X., et al., Provenance, sea-level and monsoon climate controls on silicate weathering of Yellow River sediment in the northern Okinawa Trough during late last glaciation. Palaeogeogr. Palaeoclimatol. Palaeoecol., 2018, 490, 227-23910.1016/j.palaeo.2017.11.002Suche in Google Scholar
[35] Bentahila Y., Ben Othman D., Luck J.-M., Strontium, lead and zinc isotopes in marine cores as tracers of sedimentary provenance: A case study around Taiwan orogen. Chem. Geol., 2008, 248, 62-8210.1016/j.chemgeo.2007.10.024Suche in Google Scholar
[36] Mclennan S.M., Rare earth elements in sedimentary rocks: Influence of provenance and sedimentary processes. Reviews in Mineralogy, 1989, 21, 169-20010.1515/9781501509032-010Suche in Google Scholar
[37] Hoskin P.W.O., Ireland T.R., Rare earth element chemistry of zircon and its use as a provenance indicator. Geology, 2000, 28, 62710.1130/0091-7613(2000)28<627:REECOZ>2.0.CO;2Suche in Google Scholar
[38] Yang S.Y., Jung H.S., Man S.C., Li C.X., The rare earth element compositions of the Changjiang (Yangtze) and Huanghe (Yellow) river sediments. Earth Planet. Sci. Lett., 2002, 201, 407-41910.1016/S0012-821X(02)00715-XSuche in Google Scholar
[39] Jung H.-S., Lim D., Choi J.-Y., Yoo H.-S., Rho K.-C., Lee H.-B., Rare earth element compositions of core sediments from the shelf of the South Sea, Korea: Their controls and origins. Cont. Shelf Res., 2012, 48, 75-8610.1016/j.csr.2012.08.008Suche in Google Scholar
[40] Jung H.-S., Lim D., Jeong D.-H., Xu Z., Li T., Discrimination of sediment provenance in the Yellow Sea: Secondary grain-size effect and REE proxy. J. Asian Earth Sci., 2016, 123, 78-8410.1016/j.jseaes.2016.03.020Suche in Google Scholar
[41] Li C.-S., Shi X.-F., Kao S.-J., Liu Y.-G., Lyu H.-H., Zou J.-J., et al., Rare earth elements in fine-grained sediments of major rivers from the high-standing island of Taiwan. J. Asian Earth Sci., 2013, 69, 39-4710.1016/j.jseaes.2013.03.001Suche in Google Scholar
[42] Lim D., Jung H.S., Choi J.Y., REE partitioning in riverine sediments around the Yellow Sea and its importance in shelf sediment provenance. Mar. Geol., 2014, 357, 12-2410.1016/j.margeo.2014.07.002Suche in Google Scholar
[43] Liu N., Meng X., Characteristics of rare earth elements in surface sediments from the middle Okinawa Trough: implications for provenance of mixed sediments. Mar. Geol. and Quat. Geol., 2004, 24, 37-43 (in Chinese with English abstract)Suche in Google Scholar
[44] Zhai S., Chen Z., Xu S., Zhong J., Gan X., Geochemical characteristics of rare earth element in the sediments of north Okinawa Trough. Mar. Geol. and Quat. Geol., 1996, 16, 47-56 (in Chinese with English abstract)Suche in Google Scholar
[45] Sholkovitz E.R., Flocculation of dissolved organic and inorganic matter during the mixing of river water and seawater. Geochim. Cosmochim. Acta, 1976, 40, 831-84510.1016/0016-7037(76)90035-1Suche in Google Scholar
[46] Hoyle J., Elderfield H., Gledhill A., Greaves M., The behaviour of the rare earth elements during mixing of river and sea waters. Geochim. Cosmochim. Acta, 1984, 48, 143-14910.1016/0016-7037(84)90356-9Suche in Google Scholar
[47] Johannesson K.H., Lyons W.B., Yelken M.A., Gaudette H.E., Stetzenbach K.J., Geochemistry of the rare-earth elements in hypersaline and dilute acidic natural terrestrial waters: Complexation behavior and middle rare-earth element enrichments. Chem. Geol., 1996, 133, 125-14410.1016/S0009-2541(96)00072-1Suche in Google Scholar
[48] Censi P., Mazzola S., Sprovieri M., Bonanno A., Patti B., Punturo R., et al., Rare earth elements distribution in seawater and suspended particulate of the Central Mediterranean Sea. Chem. Ecol., 2004, 20, 323-34310.1080/02757540410001727954Suche in Google Scholar
[49] Marmolejo-Rodríguez A.J., Prego R., Meyer-Willerer A., Shumilin E., Sapozhnikov D., Rare earth elements in iron oxy-hydroxide rich sediments from the Marabasco River-Estuary System (pacific coast of Mexico). REE affinity with iron and aluminium. J. Geochem. Explor., 2007, 94, 43-5110.1016/j.gexplo.2007.05.003Suche in Google Scholar
[50] Wang Z.L., Liu C.Q., Geochemistry of rare earth elements in the dissolved, acid-soluble and residual phases in surface waters of the Changjiang Estuary. J. Oceanogr., 2008, 64, 407-41610.1007/s10872-008-0034-0Suche in Google Scholar
[51] Weltje G.J., von Eynatten H., Quantitative provenance analysis of sediments: review and outlook. Sediment. Geol., 2004, 171, 1-1110.1016/j.sedgeo.2004.05.007Suche in Google Scholar
[52] Stuiver M., Reimer, P.J., and Reimer, R.W., http://calib.org accessed 2018-7-30.Suche in Google Scholar
[53] Reimer P.J., Bard E., Bayliss A., Beck J.W., Blackwell P.G., Ramsey C.B., et al., Intcal 13 and Marine 13 radiocarbon age calibration curves 0-50,000 years cal BP. Radiocarbon, 2013, 55, 1869-188710.2458/azu_js_rc.55.16947Suche in Google Scholar
[54] Wei K.Y., Mii H.S., Huang C.Y., Age Model and Oxygen Isotope Stratigraphy of Site ODP1202 in the Southern Okinawa Trough, Northwestern Pacific. Terrestrial Atmospheric & Oceanic Sciences, 2005, 16, 1-1710.3319/TAO.2005.16.1.1(OT)Suche in Google Scholar
[55] Hu S., Zeng Z., Yin X., Zhu B., Fang X., Qi H., Characteristic differences of rare earth elements in the sediment cores from Okinawa Trough and their implications for sediment provenance. Mar. Geol. and Quat. Geol., 2019, 39, 69-82 (in Chinese with English abstract)Suche in Google Scholar
[56] Choi M.-S., Yi H.-I., Yang S.Y., Lee C.-B., Cha H.-J., Identification of Pb sources in Yellow Sea sediments using stable Pb isotope ratios. Mar. Chem., 2007, 107, 255-27410.1016/j.marchem.2007.07.008Suche in Google Scholar
[57] Song Y.-H., Choi M.S., REE geochemistry of fine-grained sediments from major rivers around the Yellow Sea. Chem. Geol., 2009, 266, 328-34210.1016/j.chemgeo.2009.06.019Suche in Google Scholar
[58] Freydier R., Michard A., Lange G.D., Thomson J., Nd isotopic compositions of Eastern Mediterranean sediments: tracers of the Nile influence during sapropel S1 formation? Mar. Geol., 2001, 177, 45-6210.1016/S0025-3227(01)00123-2Suche in Google Scholar
[59] Yang S., Li C., Cai J., Geochemical compositions of core sediments in eastern China: Implication for Late Cenozoic palaeoenvironmental changes. Palaeogeogr. Palaeoclimatol. Palaeoecol., 2006, 229, 287-30210.1016/j.palaeo.2005.06.026Suche in Google Scholar
[60] Wei G., Li X.-H., Liu Y., Shao L., Liang X., Geochemical record of chemical weathering and monsoon climate change since the early Miocene in the South China Sea. Paleoceanography, 2006, 21, 1-1110.1029/2006PA001300Suche in Google Scholar
[61] Su N., Yang S., Guo Y., Yue W., Wang X., Yin P., et al., Revisit of rare earth element fractionation during chemical weathering and river sediment transport. Geochem. Geophys. Geosyst., 2017, 18, 935-95510.1002/2016GC006659Suche in Google Scholar
[62] Leleyter L., Probst J.L., Depetris P., Haida S., Mortatti J., Rouault R., et al., REE distribution pattern in river sediments: partitioning into residual and labile fractions. Comptes Rendus Geosciences, 1999, 329, 45-5210.1016/S1251-8050(99)80226-2Suche in Google Scholar
[63] Sverjensky D.A., Europium redox equilibria in aqueous solution. Earth Planet. Sci. Lett., 1984, 67, 70-7810.1016/0012-821X(84)90039-6Suche in Google Scholar
[64] Bau M., Rare-earth element mobility during hydrothermal and metamorphic fluid-rock interaction and the significance of the oxidation state of europium. Chem. Geol., 1991, 93, 219-23010.1016/0009-2541(91)90115-8Suche in Google Scholar
[65] Och L.M., Müller B., Wichser A., Ulrich A., Vologina E.G., Sturm M., Rare earth elements in the sediments of Lake Baikal. Chem. Geol., 2014, 376, 61-7510.1016/j.chemgeo.2014.03.018Suche in Google Scholar
[66] Boynton W.V., Cosmochemistry of the Rare Earth Elements: Meteorite Studies. Developments in Geochemistry, 1984, 2, 63-11410.1016/B978-0-444-42148-7.50008-3Suche in Google Scholar
[67] Taylor S.R., Mclennan S.M., The Continental Crust: Its Composition and Evolution. Blackwell Scientific Pub., Oxford, 1985Suche in Google Scholar
[68] Bau M., Dulski P., Anthropogenic origin of positive gadolinium anomalies in river waters. Earth Planet. Sci. Lett., 1996, 143, 245-25510.1016/0012-821X(96)00127-6Suche in Google Scholar
[69] Shao H., Yang S., Wang Q., Guo Y., Discriminating hydrothermal and terrigenous clays in the Okinawa Trough, East China Sea: Evidences from mineralogy and geochemistry. Chem. Geol., 2015, 398, 85-9610.1016/j.chemgeo.2015.02.001Suche in Google Scholar
[70] Garzanti E., Andò S., France-Lanord C., Vezzoli G., Censi P., Galy V., et al., Mineralogical and chemical variability of fluvial sediments1. Bedload sand (Ganga–Brahmaputra, Bangladesh). Earth Planet. Sci. Lett., 2010, 299, 368-38110.1016/j.epsl.2010.09.017Suche in Google Scholar
[71] Garzanti E., Andó S., France-Lanord C., Censi P., Vignola P., Galy V., et al., Mineralogical and chemical variability of fluvial sediments 2. Suspended-load silt (Ganga–Brahmaputra, Bangladesh). Earth Planet. Sci. Lett., 2011, 302, 107-12010.1016/j.epsl.2010.11.043Suche in Google Scholar
[72] Lugli S., Dori S.M., Fontana D., Alluvial sand composition as a tool to unravel late Quaternary sedimentation of the Modena Plain, northern Italy. In: Arribas J., S. Critelli, M.J. Johnsson (ed.), Sedimentary Provenance and Petrogenesis: Perspectives from Petrography and Geochemistry, Geological Society of America Special Papers, 2007, 57-7210.1130/2006.2420(05)Suche in Google Scholar
[73] Fontana D., Amoroso S., Minarelli L., Stefani M., Sand Liquefaction Induced By a Blast Test: New Insights On Source Layer and Grain-Size Segregation Mechanisms (Late Quaternary, Emilia, Italy). J. Sediment. Res., 2019, 89, 13-2710.2110/jsr.2019.1Suche in Google Scholar
[74] Lan R.D., Redistribution and fractionation of rare-earth and other elements in a weathering profile. Chem. Geol., 1980, 30, 363-38110.1016/0009-2541(80)90102-3Suche in Google Scholar
[75] Condie K.C., Another look at rare earth elements in shales. Geochim. Cosmochim. Acta, 1991, 55, 2527-253110.1016/0016-7037(91)90370-KSuche in Google Scholar
[76] Kuss J., Garbe-Schönberg C.D., Kremling K., Rare earth elements in suspended particulate material of North Atlantic surface waters. Geochim. Cosmochim. Acta, 2001, 65, 187-19910.1016/S0016-7037(00)00518-4Suche in Google Scholar
[77] Elderfield H., Greaves M.J., The rare earth elements in seawater. Nature, 1982, 296, 214-21910.1038/296214a0Suche in Google Scholar
[78] Elderfield H., Whitfield M., Burton J.D., Bacon M.P., Liss P.S., The Oceanic Chemistry of the Rare-Earth Elements. Philosophical Transactions of the Royal Society A: Mathematical, Physical and Engineering Sciences, 1988, 325, 105-12610.1098/rsta.1988.0046Suche in Google Scholar
[79] Klinkhammer G., Elderfield H., Hudson A., Rare earth elements in seawater near hydrothermal vents. Nature, 1983, 305, 185-18810.1038/305185a0Suche in Google Scholar
[80] Sholkovitz E.R., Elderfield H., Cycling of dissolved rare earth elements in Chesapeake Bay. Global Biogeochem. Cycles, 1988, 2, 157-17610.1029/GB002i002p00157Suche in Google Scholar
[81] Banner J.L., Hanson G.N., Meyers W.J., Rare earth element and Nd isotopic variations in regionally extensive dolomites from the Burlington-Keokuk Formation (Mississippian): Implications for REE mobility during carbonate diagenesis. Karnataka Journal of Agricultural Sciences, 1988, 58, 415-43210.1306/212F8DAA-2B24-11D7-8648000102C1865DSuche in Google Scholar
[82] Zhang C., Wang L., Zhang S., Li X., Geochemistry of rare earth elements in the mainstream of the Yangtze River, China. Appl. Geochem., 1998, 13, 451-46210.1016/S0883-2927(97)00079-6Suche in Google Scholar
[83] Zhao Y., Yan M., Abundance of chemical elements in sediments from the Huanghe river, the Changjiang river and the continental shelf of China. Chin. Sci. Bull., 1992, 37, 1991-1994Suche in Google Scholar
[84] Cai G., Guo F., Liu X., Sui S., Li C., Zhao L., Geochemistry of Neogene sedimentary rocks from the Jiyang basin, North China Block: The roles of grain size and clay minerals. Geochem. J., 2008, 42, 381-40210.2343/geochemj.42.381Suche in Google Scholar
[85] Cantrell K.J., Byrne R.H., Rare earth element complexation by carbonate and oxalate ions. Geochim. Cosmochim. Acta, 1987, 51, 597-60510.1016/0016-7037(87)90072-XSuche in Google Scholar
[86] Braun J.J., Pagel M., Muller J.P., Bilong P., Michard A., Guillet B., Cerium anomalies in lateritic profiles. Geochim. Cosmochim. Acta, 1990, 54, 781-79510.1016/0016-7037(90)90373-SSuche in Google Scholar
[87] Feng J.-L., Behaviour of rare earth elements and yttrium in ferromanganese concretions, gibbsite spots, and the surrounding terra rossa over dolomite during chemical weathering. Chem. Geol., 2010, 271, 112-13210.1016/j.chemgeo.2010.01.003Suche in Google Scholar
[88] Laveuf C., Cornu S., Guilherme L.R.G., Guerin A., Juillot F., The impact of redox conditions on the rare earth element signature of redoximorphic features in a soil sequence developed from limestone. Geoderma, 2012, 170, 25-3810.1016/j.geoderma.2011.10.014Suche in Google Scholar
[89] Vital H., Stattegger K., Garbeschoenberg C.D., Composition and trace-element geochemistry of detrital clay and heavy-mineral suites of the lowermost Amazon River; a provenance study. J. Sediment. Res., 1999, 69, 563-57510.2110/jsr.69.563Suche in Google Scholar
[90] Zhang C., Wang L., Li G., Dong S., Yang J., Wang X., Grain size effect on multi-element concentrations in sediments from the intertidal flats of Bohai Bay, China. Appl. Geochem., 2002, 17, 59-6810.1016/S0883-2927(01)00079-8Suche in Google Scholar
[91] Fedo C.M., McGlynn I.O., McSween H.Y., Grain size and hydrodynamic sorting controls on the composition of basaltic sediments: Implications for interpreting martian soils. Earth Planet. Sci. Lett., 2015, 423, 67-7710.1016/j.epsl.2015.03.052Suche in Google Scholar
[92] Gromet L.P., Silver L.T., Rare earth element distributions among minerals in a granodiorite and their petrogenetic implications. Geochim. Cosmochim. Acta, 1983, 47, 925-93910.1016/0016-7037(83)90158-8Suche in Google Scholar
[93] Hannigan R.E., Sholkovitz E.R., The development of middle rare earth element enrichments in freshwaters: weathering of phosphate minerals. Chem. Geol., 2001, 175, 495-50810.1016/S0009-2541(00)00355-7Suche in Google Scholar
[94] Sholkovitz E.R., The aquatic chemistry of rare earth elements in rivers and estuaries. Aquat. Geochem., 1995, 1, 1-3410.1007/BF01025229Suche in Google Scholar
[95] Chung C.-H., You C.-F., Chu H.-Y., Weathering sources in the Gaoping (Kaoping) river catchments, southwestern Taiwan: Insights from major elements, Sr isotopes, and rare earth elements. J. Mar. Syst., 2009, 76, 433-44310.1016/j.jmarsys.2007.09.013Suche in Google Scholar
[96] Iseki K., Okamura K., Kiyomoto Y., Seasonality and composition of downward particulate fluxes at the continental shelf and Okinawa Trough in the East China Sea. Deep Sea Research Part II Topical Studies in Oceanography, 2003, 50, 457-47310.1016/S0967-0645(02)00468-XSuche in Google Scholar
[97] Liu J.P., Xu K.H., Li A.C., Milliman J.D., Velozzi D.M., Xiao S.B., et al., Flux and fate of Yangtze River sediment delivered to the East China Sea. Geomorphology, 2007, 85, 208-22410.1016/j.geomorph.2006.03.023Suche in Google Scholar
[98] Milliman J.D., Syvitski J.P.M., Geomorphic/Tectonic Control of Sediment Discharge to the Ocean: The Importance of Small Mountainous Rivers. The Journal of Geology, 1992, 100, 525-54410.1086/629606Suche in Google Scholar
[99] Shinjo R., Kato Y., Geochemical constraints on the origin of bimodal magmatism at the Okinawa Trough, an incipient back-arc basin. Lithos, 2000, 54, 117-13710.1016/S0024-4937(00)00034-7Suche in Google Scholar
[100] Xu K., Milliman J.D., Li A., Paul Liu J., Kao S.-J., Wan S., Yangtze-and Taiwan-derived sediments on the inner shelf of East China Sea. Cont. Shelf Res., 2009, 29, 2240-225610.1016/j.csr.2009.08.017Suche in Google Scholar
[101] Wei K.Y., Leg 195 Synthesis: Site 1202—Late Quaternary Sedimentation and Paleoceanography in the Southern Okinawa Trough. Proceedings of the Ocean Drilling Program, 2006, 195, 1-3110.2973/odp.proc.sr.195.101.2006Suche in Google Scholar
[102] Yang S., Wang Z., Yun G., Li C., Cai J., Heavy mineral compositions of the Changjiang (Yangtze River) sediments and their provenance-tracing implication. J. Asian Earth Sci., 2009, 35, 56-6510.1016/j.jseaes.2008.12.002Suche in Google Scholar
[103] Deng K., Yang S., Wang Z., Li C., Bi L., Chang Y., et al., Detrital heavy mineral assemblages in the river sediments from Taiwan and its implications for sediment provenance. Acta Sedimentologica Sinica, 2016, 34, 531-542 (in Chinese with English abstract)Suche in Google Scholar
[104] Wang K., Wang G., Cai S., Dou Y., Shi X., Cheng Z., et al., Heavy mineral characteristics of surface sediments in the subaqueous Yangtze River delta. Mar. Geol. and Quat. Geol., 2007, 27, 7-12 (in Chinese with English abstract)Suche in Google Scholar
[105] Lin X., Li W., Shi Z., Characteristics of mineralogy in the clastic sediments from the Yellow River provenance, China. Mar. Geol. and Quat. Geol., 2003, 23, 17-21 (in Chinese with English abstract)Suche in Google Scholar
[106] Yang S., Wang Z., Dou Y., Shi X., Chapter 21 A review of sedimentation since the Last Glacial Maximum on the continental shelf of eastern China. Geological Society, London, Memoirs, 2014, 41, 293-30310.1144/M41.21Suche in Google Scholar
[107] Lambeck K., Yokoyama Y., Purcell T., Into and out of the Last Glacial Maximum: sea-level change during Oxygen Isotope Stages 3 and 2. Quat. Sci. Rev., 2002, 21, 343-36010.1016/S0277-3791(01)00071-3Suche in Google Scholar
[108] Liu K.K., Peng T.H., Shaw P.T., Shiah F.K., Circulation and bio-geochemical processes in the East China Sea and the vicinity of Taiwan: an overview and a brief synthesis. Deep Sea Research Part II Topical Studies in Oceanography, 2003, 50, 1055-106410.1016/S0967-0645(03)00009-2Suche in Google Scholar
[109] Kao S.J., Lin F.J., Liu K.K., Organic carbon and nitrogen contents and their isotopic compositions in surficial sediments from the East China Sea shelf and the southern Okinawa Trough. Deep Sea Res. Part II, 2003, 50, 1203-121710.1016/S0967-0645(03)00018-3Suche in Google Scholar
[110] Hung J.J., Lin C.S., Hung G.W., Chung Y.C., Lateral Transport of Lithogenic Particles from the Continental Margin of the Southern East China Sea. Estuarine Coastal & Shelf Science, 1999, 49, 483-49910.1006/ecss.1999.0520Suche in Google Scholar
[111] Ijiri A., Wang L., Oba T., Kawahata H., Huang C.Y., Huang C.Y., Paleoenvironmental changes in the northern area of the East China Sea during the past 42,000 years. Palaeogeogr. Palaeoclimatol. Palaeoecol., 2005, 219, 239-26110.1016/j.palaeo.2004.12.028Suche in Google Scholar
[112] Dykoski C.A., Edwards R.L., Hai C., Yuan D., Cai Y., Zhang M., et al., A high-resolution, absolute-dated Holocene and deglacial Asian monsoon record from Dongge Cave, China. Earth Planet. Sci. Lett., 2005, 233, 71-8610.1016/j.epsl.2005.01.036Suche in Google Scholar
© 2019 S. Hu et al., published by De Gruyter
This work is licensed under the Creative Commons Attribution 4.0 Public License.
Artikel in diesem Heft
- Regular Articles
- 2D Seismic Interpretation of the Meyal Area, Northern Potwar Deform Zone, Potwar Basin, Pakistan
- A new method of lithologic identification and distribution characteristics of fine - grained sediments: A case study in southwest of Ordos Basin, China
- Modified Gompertz sigmoidal model removing fine-ending of grain-size distribution
- Diagenesis and its influence on reservoir quality and oil-water relative permeability: A case study in the Yanchang Formation Chang 8 tight sandstone oil reservoir, Ordos Basin, China
- Evaluation of AHRS algorithms for Foot-Mounted Inertial-based Indoor Navigation Systems
- Identification and evaluation of land use vulnerability in a coal mining area under the coupled human-environment
- Hydrocarbon Generation Potential of Chia Gara Formation in Three Selected Wells, Northern Iraq
- Source Analysis of Silicon and Uranium in uranium-rich shale in the Xiuwu Basin, Southern China
- Lithologic heterogeneity of lacustrine shale and its geological significance for shale hydrocarbon-a case study of Zhangjiatan Shale
- Characterization of soil permeability in the former Lake Texcoco, Mexico
- Detrital zircon trace elements from the Mesozoic Jiyuan Basin, central China and its implication on tectonic transition of the Qinling Orogenic Belt
- Turkey OpenStreetMap Dataset - Spatial Analysis of Development and Growth Proxies
- Morphological Changes of the Lower Ping and Chao Phraya Rivers, North and Central Thailand: Flood and Coastal Equilibrium Analyses
- Landscape Transformations in Rapidly Developing Peri-urban Areas of Accra, Ghana: Results of 30 years
- Division of shale sequences and prediction of the favorable shale gas intervals: an example of the Lower Cambrian of Yangtze Region in Xiuwu Basin
- Fractal characteristics of nanopores in lacustrine shales of the Triassic Yanchang Formation, Ordos Basin, NW China
- Selected components of geological structures and numerical modelling of slope stability
- Spatial data quality and uncertainty publication patterns and trends by bibliometric analysis
- Application of microstructure classification for the assessment of the variability of geological-engineering and pore space properties in clay soils
- Shear failure modes and AE characteristics of sandstone and marble fractures
- Ice Age theory: a correspondence between Milutin Milanković and Vojislav Mišković
- Are Serbian tourists worried? The effect of psychological factors on tourists’ behavior based on the perceived risk
- Real-Time Map Matching: A New Algorithm Integrating Spatio-Temporal Proximity and Improved Weighted Circle
- Characteristics and hysteresis of saturated-unsaturated seepage of soil landslides in the Three Gorges Reservoir Area, China
- Petrographical and geophysical investigation of the Ecca Group between Fort Beaufort and Grahamstown, in the Eastern Cape Province, South Africa
- Ecological risk assessment of geohazards in Natural World Heritage Sites: an empirical analysis of Bogda, Tianshan
- Integrated Subsurface Temperature Modeling beneath Mt. Lawu and Mt. Muriah in The Northeast Java Basin, Indonesia
- Go social for your own safety! Review of social networks use on natural disasters – case studies from worldwide
- Forestry Aridity Index in Vojvodina, North Serbia
- Natural Disasters vs Hotel Industry Resilience: An Exploratory Study among Hotel Managers from Europe
- Using Monarch Butterfly Optimization to Solve the Emergency Vehicle Routing Problem with Relief Materials in Sudden Disasters
- Potential influence of meteorological variables on forest fire risk in Serbia during the period 2000-2017
- Controlling factors on the geochemistry of Al-Shuaiba and Al-Mejarma coastal lagoons, Red Sea, Saudi Arabia
- The Influence of Kaolinite - Illite toward mechanical properties of Claystone
- Two critical books in the history of loess investigation: ‘Charakteristik der Felsarten’ by Karl Caesar von Leonhard and ‘Principles of Geology’ by Charles Lyell
- The Mechanism and Control Technology of Strong Strata Behavior in Extra-Thick Coal Seam Mining Influenced by Overlying Coal Pillar
- Shared Aerial Drone Videos — Prospects and Problems for Volunteered Geographic Information Research
- Stable isotopes of C and H in methane fermentation of agriculture substrates at different temperature conditions
- Prediction of Compression and Swelling Index Parameters of Quaternary Sediments from Index Tests at Mersin District
- Detection of old scattered windthrow using low cost resources. The case of Storm Xynthia in the Vosges Mountains, 28 February 2010
- Remediation of Copper and Zinc from wastewater by modified clay in Asir region southwest of Saudi Arabia
- Sedimentary facies of Paleogene lacustrine dolomicrite and implications for petroleum reservoirs in the southern Qianjiang Depression, China
- Correlation between ore particle flow pattern and velocity field through multiple drawpoints under the influence of a flexible barrier
- Atmospheric refractivity estimation from AIS signal power using the quantum-behaved particle swarm optimization algorithm
- A geophysical and hydro physico-chemical study of the contaminant impact of a solid waste landfill (swl) in King Williams’ Town, Eastern Cape, South Africa
- Landscape characterization using photographs from crowdsourced platforms: content analysis of social media photographs
- A Study on Transient Electromagnetic Interpretation Method Based on the Seismic Wave Impedance Inversion Model
- Stratigraphy of Architectural Elements of a Buried Monogenetic Volcanic System
- Variable secondary porosity modeling of carbonate rocks based on μ-CT images
- Traditional versus modern settlement on torrential alluvial fans considering the danger of debris flows: a case study of the Upper Sava Valley (NW Slovenia)
- The Influence of Gangue Particle size and Gangue Feeding Rate on Safety and Service Life of the Suspended Buffer’s Spring
- Research on the Transition Section Length of the Mixed Workface Using Gangue Backfilling Method and Caving Method
- Rainfall erosivity and extreme precipitation in the Pannonian basin
- Structure of the Sediment and Crust in the Northeast North China Craton from Improved Sequential H-k Stacking Method
- Planning Activities Improvements Responding Local Interests Change through Participatory Approach
- GIS-based landslide susceptibility mapping using bivariate statistical methods in North-western Tunisia
- Uncertainty based multi-step seismic analysis for near-surface imaging
- Deformation monitoring and prediction for residential areas in the Panji mining area based on an InSAR time series analysis and the GM-SVR model
- Statistical and expert-based landslide susceptibility modeling on a national scale applied to North Macedonia
- Natural hazards and their impact on rural settlements in NE Romania – A cartographical approach
- Rock fracture initiation and propagation by mechanical and hydraulic impact
- Influence of Rapid Transit on Accessibility Pattern and Economic Linkage at Urban Agglomeration Scale in China
- Near Infrared Spectroscopic Study of Trioctahedral Chlorites and Its Remote Sensing Application
- Problems with collapsible soils: Particle types and inter-particle bonding
- Unification of data from various seismic catalogues to study seismic activity in the Carpathians Mountain arc
- Quality assessment of DEM derived from topographic maps for geomorphometric purposes
- Remote Sensing Monitoring of Soil Moisture in the Daliuta Coal Mine Based on SPOT 5/6 and Worldview-2
- Utilizing Maximum Entropy Spectral Analysis (MESA) to identify Milankovitch cycles in Lower Member of Miocene Zhujiang Formation in north slope of Baiyun Sag, Pearl River Mouth Basin, South China Sea
- Stability Analysis of a Slurry Trench in Cohesive-Frictional Soils
- Integrating Landsat 7 and 8 data to improve basalt formation classification: A case study at Buon Ma Thuot region, Central Highland, Vietnam
- Assessment of the hydrocarbon potentiality of the Late Jurassic formations of NW Iraq: A case study based on TOC and Rock-Eval pyrolysis in selected oil-wells
- Rare earth element geochemistry of sediments from the southern Okinawa Trough since 3 ka: Implications for river-sea processes and sediment source
- Effect of gas adsorption-induced pore radius and effective stress on shale gas permeability in slip flow: New Insights
- Development of the Narva-Jõesuu beach, mineral composition of beach deposits and destruction of the pier, southeastern coast of the Gulf of Finland
- Selecting fracturing interval for the exploitation of tight oil reservoirs from logs: a case study
- A comprehensive scheme for lithological mapping using Sentinel-2A and ASTER GDEM in weathered and vegetated coastal zone, Southern China
- Sedimentary model of K-Successions Sandstones in H21 Area of Huizhou Depression, Pearl River Mouth Basin, South China Sea
- A non-uniform dip slip formula to calculate the coseismic deformation: Case study of Tohoku Mw9.0 Earthquake
- Decision trees in environmental justice research — a case study on the floods of 2001 and 2010 in Hungary
- The Impacts of Climate Change on Maximum Daily Discharge in the Payab Jamash Watershed, Iran
- Mass tourism in protected areas – underestimated threat? Polish National Parks case study
- Decadal variations of total organic carbon production in the inner-shelf of the South China Sea and East China Sea
- Hydrogeothermal potentials of Rogozna mountain and possibility of their valorization
- Postglacial talus slope development imaged by the ERT method: comparison of slopes from SW Spitsbergen, Norway and Tatra Mountains, Poland
- Seismotectonics of Malatya Fault, Eastern Turkey
- Investigating of soil features and landslide risk in Western-Atakent (İstanbul) using resistivity, MASW, Microtremor and boreholes methods
- Assessment of Aquifer Vulnerability Using Integrated Geophysical Approach in Weathered Terrains of South China
- An integrated analysis of mineralogical and microstructural characteristics and petrophysical properties of carbonate rocks in the lower Indus Basin, Pakistan
- Applicability of Hydrological Models for Flash Flood Simulation in Small Catchments of Hilly Area in China
- Heterogeneity analysis of shale reservoir based on multi-stage pumping data
Artikel in diesem Heft
- Regular Articles
- 2D Seismic Interpretation of the Meyal Area, Northern Potwar Deform Zone, Potwar Basin, Pakistan
- A new method of lithologic identification and distribution characteristics of fine - grained sediments: A case study in southwest of Ordos Basin, China
- Modified Gompertz sigmoidal model removing fine-ending of grain-size distribution
- Diagenesis and its influence on reservoir quality and oil-water relative permeability: A case study in the Yanchang Formation Chang 8 tight sandstone oil reservoir, Ordos Basin, China
- Evaluation of AHRS algorithms for Foot-Mounted Inertial-based Indoor Navigation Systems
- Identification and evaluation of land use vulnerability in a coal mining area under the coupled human-environment
- Hydrocarbon Generation Potential of Chia Gara Formation in Three Selected Wells, Northern Iraq
- Source Analysis of Silicon and Uranium in uranium-rich shale in the Xiuwu Basin, Southern China
- Lithologic heterogeneity of lacustrine shale and its geological significance for shale hydrocarbon-a case study of Zhangjiatan Shale
- Characterization of soil permeability in the former Lake Texcoco, Mexico
- Detrital zircon trace elements from the Mesozoic Jiyuan Basin, central China and its implication on tectonic transition of the Qinling Orogenic Belt
- Turkey OpenStreetMap Dataset - Spatial Analysis of Development and Growth Proxies
- Morphological Changes of the Lower Ping and Chao Phraya Rivers, North and Central Thailand: Flood and Coastal Equilibrium Analyses
- Landscape Transformations in Rapidly Developing Peri-urban Areas of Accra, Ghana: Results of 30 years
- Division of shale sequences and prediction of the favorable shale gas intervals: an example of the Lower Cambrian of Yangtze Region in Xiuwu Basin
- Fractal characteristics of nanopores in lacustrine shales of the Triassic Yanchang Formation, Ordos Basin, NW China
- Selected components of geological structures and numerical modelling of slope stability
- Spatial data quality and uncertainty publication patterns and trends by bibliometric analysis
- Application of microstructure classification for the assessment of the variability of geological-engineering and pore space properties in clay soils
- Shear failure modes and AE characteristics of sandstone and marble fractures
- Ice Age theory: a correspondence between Milutin Milanković and Vojislav Mišković
- Are Serbian tourists worried? The effect of psychological factors on tourists’ behavior based on the perceived risk
- Real-Time Map Matching: A New Algorithm Integrating Spatio-Temporal Proximity and Improved Weighted Circle
- Characteristics and hysteresis of saturated-unsaturated seepage of soil landslides in the Three Gorges Reservoir Area, China
- Petrographical and geophysical investigation of the Ecca Group between Fort Beaufort and Grahamstown, in the Eastern Cape Province, South Africa
- Ecological risk assessment of geohazards in Natural World Heritage Sites: an empirical analysis of Bogda, Tianshan
- Integrated Subsurface Temperature Modeling beneath Mt. Lawu and Mt. Muriah in The Northeast Java Basin, Indonesia
- Go social for your own safety! Review of social networks use on natural disasters – case studies from worldwide
- Forestry Aridity Index in Vojvodina, North Serbia
- Natural Disasters vs Hotel Industry Resilience: An Exploratory Study among Hotel Managers from Europe
- Using Monarch Butterfly Optimization to Solve the Emergency Vehicle Routing Problem with Relief Materials in Sudden Disasters
- Potential influence of meteorological variables on forest fire risk in Serbia during the period 2000-2017
- Controlling factors on the geochemistry of Al-Shuaiba and Al-Mejarma coastal lagoons, Red Sea, Saudi Arabia
- The Influence of Kaolinite - Illite toward mechanical properties of Claystone
- Two critical books in the history of loess investigation: ‘Charakteristik der Felsarten’ by Karl Caesar von Leonhard and ‘Principles of Geology’ by Charles Lyell
- The Mechanism and Control Technology of Strong Strata Behavior in Extra-Thick Coal Seam Mining Influenced by Overlying Coal Pillar
- Shared Aerial Drone Videos — Prospects and Problems for Volunteered Geographic Information Research
- Stable isotopes of C and H in methane fermentation of agriculture substrates at different temperature conditions
- Prediction of Compression and Swelling Index Parameters of Quaternary Sediments from Index Tests at Mersin District
- Detection of old scattered windthrow using low cost resources. The case of Storm Xynthia in the Vosges Mountains, 28 February 2010
- Remediation of Copper and Zinc from wastewater by modified clay in Asir region southwest of Saudi Arabia
- Sedimentary facies of Paleogene lacustrine dolomicrite and implications for petroleum reservoirs in the southern Qianjiang Depression, China
- Correlation between ore particle flow pattern and velocity field through multiple drawpoints under the influence of a flexible barrier
- Atmospheric refractivity estimation from AIS signal power using the quantum-behaved particle swarm optimization algorithm
- A geophysical and hydro physico-chemical study of the contaminant impact of a solid waste landfill (swl) in King Williams’ Town, Eastern Cape, South Africa
- Landscape characterization using photographs from crowdsourced platforms: content analysis of social media photographs
- A Study on Transient Electromagnetic Interpretation Method Based on the Seismic Wave Impedance Inversion Model
- Stratigraphy of Architectural Elements of a Buried Monogenetic Volcanic System
- Variable secondary porosity modeling of carbonate rocks based on μ-CT images
- Traditional versus modern settlement on torrential alluvial fans considering the danger of debris flows: a case study of the Upper Sava Valley (NW Slovenia)
- The Influence of Gangue Particle size and Gangue Feeding Rate on Safety and Service Life of the Suspended Buffer’s Spring
- Research on the Transition Section Length of the Mixed Workface Using Gangue Backfilling Method and Caving Method
- Rainfall erosivity and extreme precipitation in the Pannonian basin
- Structure of the Sediment and Crust in the Northeast North China Craton from Improved Sequential H-k Stacking Method
- Planning Activities Improvements Responding Local Interests Change through Participatory Approach
- GIS-based landslide susceptibility mapping using bivariate statistical methods in North-western Tunisia
- Uncertainty based multi-step seismic analysis for near-surface imaging
- Deformation monitoring and prediction for residential areas in the Panji mining area based on an InSAR time series analysis and the GM-SVR model
- Statistical and expert-based landslide susceptibility modeling on a national scale applied to North Macedonia
- Natural hazards and their impact on rural settlements in NE Romania – A cartographical approach
- Rock fracture initiation and propagation by mechanical and hydraulic impact
- Influence of Rapid Transit on Accessibility Pattern and Economic Linkage at Urban Agglomeration Scale in China
- Near Infrared Spectroscopic Study of Trioctahedral Chlorites and Its Remote Sensing Application
- Problems with collapsible soils: Particle types and inter-particle bonding
- Unification of data from various seismic catalogues to study seismic activity in the Carpathians Mountain arc
- Quality assessment of DEM derived from topographic maps for geomorphometric purposes
- Remote Sensing Monitoring of Soil Moisture in the Daliuta Coal Mine Based on SPOT 5/6 and Worldview-2
- Utilizing Maximum Entropy Spectral Analysis (MESA) to identify Milankovitch cycles in Lower Member of Miocene Zhujiang Formation in north slope of Baiyun Sag, Pearl River Mouth Basin, South China Sea
- Stability Analysis of a Slurry Trench in Cohesive-Frictional Soils
- Integrating Landsat 7 and 8 data to improve basalt formation classification: A case study at Buon Ma Thuot region, Central Highland, Vietnam
- Assessment of the hydrocarbon potentiality of the Late Jurassic formations of NW Iraq: A case study based on TOC and Rock-Eval pyrolysis in selected oil-wells
- Rare earth element geochemistry of sediments from the southern Okinawa Trough since 3 ka: Implications for river-sea processes and sediment source
- Effect of gas adsorption-induced pore radius and effective stress on shale gas permeability in slip flow: New Insights
- Development of the Narva-Jõesuu beach, mineral composition of beach deposits and destruction of the pier, southeastern coast of the Gulf of Finland
- Selecting fracturing interval for the exploitation of tight oil reservoirs from logs: a case study
- A comprehensive scheme for lithological mapping using Sentinel-2A and ASTER GDEM in weathered and vegetated coastal zone, Southern China
- Sedimentary model of K-Successions Sandstones in H21 Area of Huizhou Depression, Pearl River Mouth Basin, South China Sea
- A non-uniform dip slip formula to calculate the coseismic deformation: Case study of Tohoku Mw9.0 Earthquake
- Decision trees in environmental justice research — a case study on the floods of 2001 and 2010 in Hungary
- The Impacts of Climate Change on Maximum Daily Discharge in the Payab Jamash Watershed, Iran
- Mass tourism in protected areas – underestimated threat? Polish National Parks case study
- Decadal variations of total organic carbon production in the inner-shelf of the South China Sea and East China Sea
- Hydrogeothermal potentials of Rogozna mountain and possibility of their valorization
- Postglacial talus slope development imaged by the ERT method: comparison of slopes from SW Spitsbergen, Norway and Tatra Mountains, Poland
- Seismotectonics of Malatya Fault, Eastern Turkey
- Investigating of soil features and landslide risk in Western-Atakent (İstanbul) using resistivity, MASW, Microtremor and boreholes methods
- Assessment of Aquifer Vulnerability Using Integrated Geophysical Approach in Weathered Terrains of South China
- An integrated analysis of mineralogical and microstructural characteristics and petrophysical properties of carbonate rocks in the lower Indus Basin, Pakistan
- Applicability of Hydrological Models for Flash Flood Simulation in Small Catchments of Hilly Area in China
- Heterogeneity analysis of shale reservoir based on multi-stage pumping data
![Figure 2 Calendar age, linear sedimentation rate, grain composition [55], mean grain size [55] and sorting of Core S3.](/document/doi/10.1515/geo-2019-0072/asset/graphic/j_geo-2019-0072_fig_002.jpg)
![Figure 6 Discrimination plots of (La/Sm)UCC and (Gd/Yb)UCC for the sediments in Core S3. Values for Changjiang and Huanghe riverine sediments [38], Taiwan river sediments [4], and volcanic rocks [99] are also cited for comparison.](/document/doi/10.1515/geo-2019-0072/asset/graphic/j_geo-2019-0072_fig_006.jpg)
![Figure 7 Temporal variations in sea-level change (a) [107], δ18O records from Dongge caves (b) [112], and Kuroshio Current proxy (c) [111].](/document/doi/10.1515/geo-2019-0072/asset/graphic/j_geo-2019-0072_fig_007.jpg)