Abstract
Swailing as a part of agricultural practice is an illegal habit in many European countries. The indirect effect of swailing is the emission of volatiles (SGV), hence the aim of the study was to identify their impact to seeds of different species occurring or grown Europe. It was carried out on seeds of 29 species of 10 botanical families within the angiosperms. The response to SGV was more or less differentiated within a family, and even within the species, e.g. in the case of tomato. The stimulation of germination and/or increased seedling vigour was established in celery, green- and red-leafed basil, white and red cabbage, white clover and wild thyme. The same effect was noticed for the seeds of stratified broadleaf plantain and the positively photoblastic seeds of German chamomile germinated in darkness. The inhibition of seed germination and/ or reduced seedling vigour was demonstrated in case of caraway, dill and forget-me-not. Similar results were obtained in the experiments carried out in vitro and in the soil, hence it can be assumed that the indirect impact of SGV on plant habitat composition is likely. The interaction of SGV compounds with seed testa and seed phytohormones is discussed.
1 Introduction
Swailing (muirburn) involves direct consequences to flora and fauna, and the succession of species after fire has been intensively studied [1-4, 6]. The fire clears the land of any existing crop residue as well as kill weeds and their seeds, but also destroys the local mesofauna and threatens the human life. Eradication of plants changes light conditions and eliminates large specimens of species dominating so far, allowing the seeds of other plants to germinate. Smoke is another regulating factor, as was demonstrated in numerous papers originating from the regions where fire episodes are frequent, namely in South Africa, Australia or California [1-4]. Heat may be the agent making the seed coat (testa) more permeable to smoke, but it depends on the temperature and the susceptibility of a seed [5-7]. It has been known that also the seeds of the species originating from areas where no intense fires occur may react to smoke, hence such developmental responses, if positive, can be the manifestations of exaptation [8, 9].
The most important physiologically active volatile substances that cause the changes of a stimulatory or inhibitory nature are the butenolide derivatives, of which the most known is karrikin1 (KAR1) [10-12]. KARs consists of two carbon rings: furan (A) and pyran (B), and different substituents on a ring provide different activity to an individual karrikin (KAR1-KAR6) [12-15]. Moreover, another smoke compound, trimethylbutenolide (TMB), has only one ring, which results in the opposing properties of this compound towards KARs [13, 14]. Hence, smoke comprises either the germination switch, KAR, and its blocker, TMB, and germination depends on their ratio and on the susceptibility of seeds to KAR and TMB [7, 15, 16].
KARs and TMB are present not only in smoke, smoke aerosol (smoke water [16]), or soil after a bushfire, but large amounts can be found also in the soil which has not contacted with fire for 60 years, so these compounds can be the products of microbial activity [7]. This could explain why seeds from different climatic zones and moderate latitudes areas devoid of large bushfire episodes respond to smoke compounds. Recent studies prove that biochar, a soil additive used in agriculture, remediation and reforestations is the source of biologically active karrikins [17]. Which makes the matter more complex, other molecules should be considered, namely nitric oxide, ethylene, nitrate and cyanohydrins, which have been known as the smoke compounds and have the ability to stimulate seed germination in certain plant species [10, 12, 18].
Swailing is an illegal habit in many European countries [19], although “prescribed burning” eliminating the hazard has been used in the United Kingdom [20]. However, in the scientific literature little attention has been paid to its indirect consequences. The research on the effects of smoke and heat were conducted mostly on the Mediterranean species, because fire is an ecological factor that has been present there for thousands of years [6, 9]. Some ecological papers described the impact of fire on trees development [21]. The mechanism of KAR mode of action towards an Eurasian weed Avena fatua was also presented [22]. As the climatic changes increase the risk of quick and intense droughts, and hence, naturally occurring fires [23], vegetation in the surroundings is therefore under the influence of smoke and volatile compounds, the screening of the response of seeds of plants grown and cultivated in Europe seems to be reasonable. In the light of these considerations, the paper presents the response of seeds representing different taxa within the angiosperms in terms emulating the indirect impact of the local fire. Having tested seed response in vitro, I choose some species for tests in the soil to verify the previous results. I also compared the state of the testa and biochemical indicatives of metabolism activation in ungerminated seeds treated with SGV.
2 Methods
2.1 Seed material and the treatment
The seeds of wild plants species were collected from their natural states in the Lesser Poland Voivodeship (50°3’41” N 19°56’18”E). The seeds of crop species were purchased at the local garden stores. All seeds were viable, which was tested in preliminary experiments performed in Petri dishes. Seeds were placed on well-watered Whatman-type filter paper just before the smoke treatment. All the species are listed in Table 1. Based on the preliminary experiments (data not shown), in the cases of goldenrod and broadleaf plantain 6-week stratification at 4°C, and in the case of German chamomile both light and dark germination were implemented (Table 1, and Figs. 1 and 4, respectively).
The characteristics of the species used in the experiments and the summary of their seed response following SGV treatment.
| Botanical family and the number of studied species | The name of the species according to Reveal (2009) | Characteristics | The response of seeds/seedlings: + weak stimulation, ++ strong stimulation, – inhibition, –! strong inhibition, 0 – no response s – response after stratification |
|---|---|---|---|
| Asteraceae (6) | Wormwood – Artemisia absinthium L. | M, T, Wi | + |
| German chamomile – Matricaria chamomilla L. | C, M, P, We, Wi | ++ | |
| Giant goldenrod – Solidago gigantea Aiton | I, H, M, Wi s, | + | |
| Field sow thistle – Sonchus arvensis L. | We, Wi | 0 | |
| Common sow thistle – Sonchus oleraceus L. | We, Wi | ++ | |
| Dandelion – Taraxacum officinale F. H. Wigg. aggr. | H, M, We, Wi, | + | |
| Apiaceae (3) | Dill – Anethum graveolens L. cv. ‘Ambrozja’ | C, M, S | –! |
| Celery – Apium graveolens L. cv. ‘Makar’ | C, M, S | + | |
| Caraway – Carum carvi L. | C, Wi | – | |
| Boraginaceae (1) | Forget-me-not – Myosotis arvensis L. | Wi | – |
| Brassicaceae (5) | Hoary alyssum – Berteroa incana L. | Wi | 0 |
| White cabbage – Brassica oleracea L. var. capitata L. f. alba cv. ‘Kamienna głowa’ | C | + | |
| Red cabbage – Brassica oleracea L. var. capitata L. f. rubra cv. ‘Langedijker’ | ++ | ||
| Shepherd’s purse – Capsella bursa-pastoris (L.) Medik. | M, We, Wi, | + | |
| Sand Rock crest – Cardaminopsis arenosa (L.) Hayek | We, Wi | 0 | |
| White mustard – Sinapis alba L. | C, H, Wi, M, T | 0 | |
| Fabaceae (2) | Alfalfa – Medicago sativa L. | C, H | 0 |
| Red cloverTrifolium pratense L. | C, H, M, Wi, | – | |
| White clover – Trifolium repens L. | C, H, M, Wi, | ++ | |
| Lamiaceae (2) | Breckland thyme – Thymus serpyllum L. | C, H, M, Wi | + |
| Red basil – Ocimum basilicum L. cv. ‘Dark Opal’ | C, H, M | ++ | |
| Green basil – Ocimum basilicum L. cv. ‘Genovese’ | C, H, M | + | |
| Plantaginaceae (2) | Broadleaf plantain – Plantago major L | M, Wi | s, ++ |
| Ribwort plantain – Plantago lanceolata | M, Wi | + | |
| Polygonaceae (2) | Sorrel – Rumex acetosa L. | M, We, Wi | 0 |
| Buckwheat – Fagopyrum esculentum Moench. cv.’Kora’ | C, H, M | 0 | |
| Buckwheat – Fagopyrum esculentum Moench. cv. ‘Panda’ | 0 | ||
| Solanaceae (1) | Tomato – Lycopersicon esculentum Mill. cv. ‘Jowisz’ | C, S | + |
| Tomato – Lycopersicon esculentum Mill. cv. ‘Maliniak’ | – | ||
| Poaceae (5) | Wheat – Triticum aestivum L., cv. ‘Arabella’ | C | 0 |
| Wheat – Triticum aestivum L., cv. ‘Hewilla | 0 | ||
| Rye – Secale cereale L. cv. ‘Dankowski Amber | C | – | |
| Rye – Secale cereale L. cv. ‘Dankowskie Złote’ | 0 | ||
| Barley – Hordeum vulgare L. cv. ‘CAMB1’ | C | – | |
| Barley – Hordeum vulgare L. cv. ‘Maresi’ | 0 | ||
| False barley – Hordeum murinum L. | S, Wi | + | |
| Oats – Avena sativa L., cv. ‘Celer’ | C | + | |
| Oats – Avena sativa L., cv. ‘Grajcar’ | + | ||
Abbreviations: C – crop plant, H – honey plant, I – invasive in Europe, M – medicinal, P – photoblastic seeds, S – slow or uneven germinating seeds, T – plant toxic for sheep, cattle or horses, We – considered weed, Wi – wild plant. The invasiveness of a species was established according to the opinion of the Institute of Nature Conservation Polish Academy of Sciences [http://www.iop.krakow.pl/ias/]. Stratification treatment: 6 weeks at 4°C (after SGV treatment). Germination course is presented in figures.

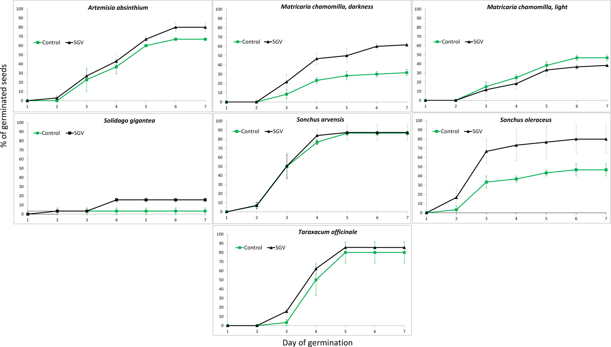
Germination pattern of seeds of Asteraceae family. Means of 3 experiments comprising 10 seeds within the species and the treatment are given ± SD. Matricaria chamomilla seeds were subjected to differentiated light treatments due to their photoblastic response (see Materials and Methods).

Germination pattern of seeds of Apiaceae family and Boraginaceae representative Myosotis arvensis. Means of 4 experiments comprising 10 (Apiaceae) or 15 (M. arvensis) seeds within the species and the treatment are given ±SD.

Germination pattern of seeds of Brassicaceae family. Means of 4 experiments comprising 10-20 seeds within the species and the treatment are given ± SD.

Germination pattern of seeds of Fabaceae, Lamiaceae and Plantaginaceae family. Means of 4 experiments comprising 10-20 seeds within the species and the treatment are given ± SD.
Plant material used for fire and smoke generation was the meadow sward, composed of various species of naturally occurring grasses, and collected on the outskirts of Cracow devoid of traffic lines and any gas emissions, and preliminary air-dried in the natural conditions, for several days. Then the Petri dishes with seeds were placed in a narrow room, and 3 g (± 0,1 g) of the plant material was slowly burned in another Petri dish, and the smoke was transferred from approx. 1 m distance using slowly-operating hair dryer with cooling functionality. The treatment lasted 5 min. When the burned material was naturally cooled in a dish, it was placed in sealed and darkened plastic boxes (10 l capacity), together with the uncovered Petri dishes containing seeds, for 24 h, at the temperature
2.2 Germination course – laboratory experiments
Each experiment set up in Petri dishes was performed in 3-6 replicates for each species. A replicate was considered a new seed lot comprising both control and SGV treatments. The diameter of the dishes varied from 3 to 7 cm, and 5-20 seeds were placed in one dish depending on the seed and dish sizes (the smaller in the narrowest dishes, etc.), but unified for a species or cultivar within an individual experiment. Germinated seeds were counted every 24 h (+/- 1 h) under the green light not involved in the photoblastic response [24] and the wetness of the germination paper was checked and unified. The length of the seedlings was measured when recognized visual differences between the objects.
The changes in the permeability of seed testae were tested conductometrically adopting the method used previously for leaf cell membrane disruption [25]. At all stages of sample preparation deionized water was used. Once taken, the material was carefully washed, sealed in laboratory vials filled with 10-15 cm3 of water and shaken for 24 h. The conductivity was measured (Ls1), then samples were boiled at 100°C for 15 min, shaken for 24 hours and the assay was repeated (Ls2). To eliminate the effect of the boiling on vials, the conductivity of deionized water was also measured, at both stages of the analysis (Lw1 and Lw2, respectively). A conductometer with automatic temperature compensation (CC-315 ELMETRON, Poland) was used. Electrolyte leakage from seeds was calculated as a percentage of total electrolyte content according to the equation:
The contents of metabolites: sugars and water-soluble proteins were measured spectrophotometrically (Ultrospec II, LKB Biochrom, UK) in cabbage and dill seeds. Sugar content was asayed with the anthrone reagent [26]. 10 seeds (cabbage) and 15 seeds (dill), all ungerminated were placed in 1 cm3 of distilled water, heated for 3 min in a water bath at 90°C, then homogenised in a mortar, in water, to the final volume of 10 cm3, and centrifuged for 10 min at 5000 rpm (Eppendorf 5430R centrifuge, Germany). 1 cm3 anthrone reagent to the 1 cm3 of seed homogenate was added (concentration: 1 mg of anthrone (Sigma-Aldrich) per 100 cm3 of concentrated H2SO4 (analytical grade, ChemPur, Poland)). The control was the sample with 1 cm3 of distilled water. After cooling, the absorbance of the complex compound was measured at λ = 620 nm. The results were referred to the calibration curve obtained for glucose (Sigma-Aldrich) of the concentration 0.0625-1 mg per 1 cm3. Water-soluble protein content was assayed with the Bradford method [27]. Seeds were homogenised in a potassium-phosphate buffer, 0.05-mol ⋅ dm-3, pH 7.0 containing 0.1 mmol ⋅ dm-3 EDTA (Sigma-Aldrich). The homogenate was centrifuged at 10000 g for 3 min, at 4°C (Eppendorf 5415R, Germany). To the supernatant sample (10 μl) the buffer was added up to the final volume 200 μl, the sample was shaken on a vortex, then the Bradford reagent (2.5 cm3, Sigma-Aldrich) was added and the sample was gently mixed. After 15 min of incubation the measurements were performed at λ = 595 nm. The results were compared with the calibration curve made of albumin (BSA, Sigma-Aldrich) of the concentration 1 μg ⋅ μl-1.
2.3 Germination in the soil
In this set of the experiment the response of seeds of 5 species to SGV were used based on their distinctive response in the in vitro experiment: Anethum graveolens, Hordeum murinum, Ocimum basilicum cv. ‘Dark Opal’, Myosotis arvensis, and Trifolium repens. The seeds were sown in the pots of the volume approx. 120 cm3 filled with the garden soil (Hollas, Poland, pH 5.8-6.5), in a depth of 1.5 cm.
2.4 Statistical analysis
The numbers of seeds are given in the table captions and figure legends. For each data series that made up the arithmetic mean, the normality was checked using Kolmogorov-Smirnov test. The percentages were recalculated using Bliss transformation, then the analysis of variance was used. The homogeneity of variance was checked by the Levene test, then the t-Student test or median test was performed in order to examine the statistical significance of differences between the results obtained for the samples treated and untreated with smoke. Statistica v. 10 (Statsoft. Inc., USA) and Microsoft Office Excel 2007 were used.
3 Results
3.1 Experiments in Petri dishes – the overall results of the experiment
The characteristics of the species, their seeds and the overall results of the experiment (germination stimulation, inhibition of no response) was presented in Table 1. The detailed presentation of the germination course was depicted in Figures 1-7, and the impact of SGV on further development of seedlings and metabolism in Tables 2-3.

Germination pattern of seeds of Polygonaceae family and Solanaceae representative Lycopersicon esculentum. Means of 4 experiments comprising 10 seeds within the species or cultivar and the treatment are given ± SD.

Germination pattern of seeds of Poaceae family. Means of 3-6 experiments comprising 10-20 seeds within the species or cultivar and the treatment are given ± SD.
The impact of SGV on the initial growth of seedlings in Petri dishes. Means of 15 replicates ± SD are given. The statistical significance of differences were established according to the Student t-test or the median test (p=0.05).
| Species/organ | Day of germination | The length ([cm] and % of control), and differentiation of means | |
|---|---|---|---|
| Control | SGV | ||
| Plantago lanceolata/ radicle | 3. | 1.80 ± 0.37 (100) | 4.60 ± 0.06 (256) * |
| Ocimum basilicum ‘Genovese’/ radicle | 4. | 0.52 ± 0.07 (100) | 0.82 ± 0.09 (157) * |
| Ocimum basilicum ‘Dark Opal’/ radicle | 4. | 0.45 ± 0.05 (100) | 1.22 ± 0.01 (271) *** |
| Lycopersicon esculentum ‘Jowisz’/ radicle | 5. | 0.80 ± 0.26 (100) | 1.00 ± 0.25 (125) * |
| Lycopersicon esculentum ‘Maliniak’/ radicle | 5. | 1.76 ± 0.19 (100) | 0.65 ± 0.14 (36) * |
| Secale cereale ‘Dankowski Amber’/coleoptile | 2. | 0.90 ± 0.09 (100) | 0.40 ± 0.07 (44) * |
| Anethum graveolens/ radicle | 5. | 1.76 ± (100) | 0.65 ± (37) * |
| Myosotis arvensis/ hypocotyl | 7. | 0.96 ± 0.08 (100) | 0.66 ± 0.11 (69) * |
The impact of SGV treatment on seed testa status and basic metabolites’ contents. Means of n=5 ± SD are given. The statistical significance of differences were established according to the Student t-test or the median test (p=0.05).
| Species | Day of germination | Testa permeability ([% of electrolyte leakage from seeds] and % of the control) and differentiation of means | Water-soluble sugar content ([mg cm-3] and % of the control) and differentiation of means | Protein content ([mg cm-3] and % of the control) and differentiation of means | |||
|---|---|---|---|---|---|---|---|
| Control | SGV | Control | SGV | Control | SGV | ||
| Anethum graveolens L. | 5. | 62.7 ± 2.83 (100) ns. | 61.4 ± 4.11 (98) | 0.36 ± 0.02 (100) * | 0.07 ± 0.05 (20) | 6.99 ± 0.02 (100) * | 6.38 ± 0.08 (91) |
| Brassica oleracea var. capitata L. f. rubra | 2. | 40.6 ± 2.82 (100) * | 54.5 ± 7.32 (134) | 0.16 ± 0.04 (100) * | 0.31 ± 0.01 (194) | 13.1 ± 0.10 (100) * | 14.7 ± 0.08 (112) |
3.1.1 Asteraceae
The course of germination of seeds of this family (Figure 1) indicated stimulatory impact of SGV, confirmed by the analysis of variance (data nor shown). This effect was visible at different stages of germination on 5 amongst 6 studied species, and in the case of Matricaria chamomilla it was dependent on the presence of light.
The seeds of M. chamomilla are known as positively photoblastic, hence, light and dark-germinated seed lots were compared. It allowed to establish that the application of SGV increases either the germination rate and the total number of germinated seeds, even in relation to seeds kept in the presence of light, because 62% of SGV-treated seeds germinated, while in the control only 32%. The stimulatory effect of SGV was not present in the presence of light, moreover, a slight reverse tendency was noticed.
Seeds of Sonchus oleraceus were characterised by similar strong suscepibility to SGV. This was manifested both as the great increase in germination and the larger number of germinated seeds at the end of the experiment, when 80% of the SGV-treated seeds were germinated, but in the control only 47%.
Less spectacular, but also apparent effects were obtained on seeds of the medicinal plant Artemisia absinthium, medicinal plant and weed Taraxacum officinale and Solidago gigantea, the species invasive to the European flora. In the last case, the percentage of germinated seeds was low, even though the cold stratification was applied based on the results of the preliminary experiments indicating the necessity of such a treatment (data not shown). However, in the 4th day of the experiment the difference between control and SGV-treated sets was noticed, and it was maintained in the following days.
3.1.2 Apiaceae
In the case of Anethum graveolens the inhibitory impact of SGV on seeds was noticed, and the differences ranged 20-30% and lasted until the end of the experiment (Figure 2). The seeds of Apium graveolens were characterized by the opposite response, and although the percentage of germinated seeds was low, which at the stage of 6-10 days is typical to this species (maximum germinating ability is obtained after 2-3 weeks, data not shown), the stimulatory response of SGV was distinct, as in the 8th and 9th day the differences between the treatments was approx. 20%. The germination pattern of SGV-treated Carum carvi seeds revealed a decreasing tendency in relation to the control although the differences between the means of both objects were too low and the standard deviations too high to prove this.
3.1.3 Boraginaceae
A strong inhibitory response to germination of Myosotis arvensis was noticed (Figure 2). The seeds of both lots initiated their germination just in the 3rd day, and the following day almost twice less SGV-treated seeds germinated that the control ones. Despite the large values of standard deviations, the difference was large until the end of the experiment.
3.1.4 Brassicaceae
SGV-treated seeds of both B. oleracea varieties, as well as these of Capsella bursa-pastoris germinated faster than their controls (Figure 3). For B. oleracea var. capitata f. alba in the 2nd day the differences between the treatments was 25%, and for the f. rubra it reached even 50%. The following days the difference gradually vanished in the case of f. alba, but they were still distinct in f. rubra.
The germination of Sinapis alba and Cardaminopsis arenosa seeds was not influenced by the treatment. The impact of SGV on Berteroa incana seeds was ambiguous, because at the beginning of the experiment (day 1) more SGV-treated seeds germinated than the control ones, but just on the following day a little more germinated seeds were counted in the control and no change was observed until the last day (Figure 3), as well as no impact on further development (data not shown).
3.1.5 Fabaceae
No effect of SGV was noticed on Medicago sativa seeds and a negative on T. pratense, but in the case of Trifolium repens SGV greatly enhanced germination just from the first day (Figure 4). Such a stimulatory impact vanished in the 4th day, and there was no effect on the total number of germinated seeds.
3.1.6 Lamiaceae
Germination of seeds of plants belonging to this botanical family was stimulated by SGV (Figure 4). The seeds of both cultivars of Ocimum basilicum initiated their germination in the 2nd day of the experiment but in a greater number when treated with SGV (Figure 4). The large differences between the treatments were maintained in red-leafed ‘Dark Opal’ cv. to the end of the experiment, whereas in green-leafed ‘Genovese’ the differences were obtained at the beginning of the experiment and then vanished. However, SGV treatment resulted in better vigour of ‘Genovese’ seedlings, as the length of the radicles was 157% of control (Table 2). In the case of ‘Dark Opal’ the difference was even larger (Table 2). Thymus serpyllum seeds revealed the positive response to SGV at the beginning of the experiment (days 2-3). and the pattern resembled this of Ocimum basilicum ‘Genovese’.
3.1.7 Plantaginaceae
Despite the large variability of data for both control and SGV seeds, the treatment stimulated germination of both Plantago species (Figure 4). In the case of P. lanceolata the treatment did not alter the germination course, but the total number of germinated seeds was 60%, while in the control 40% (Figure 4). Moreover, the vigour of seedlings was improved, which was manifested by a significant increase in the root length (Table 2).
Interestingly, the positive response of P. major to SGV was obtained after the SGV treatment and subsequent 6-week stratification, similarly to this of S. gigantea(Figure 1). However, the P. major reaction was strong. In the 2nd day 15% of treated seeds were germinated, whereas in control 3% only, and the differences between the objects were maintained to the end of the experiment. The seedlings grown from SGV-treated seeds were more advanced in their growth, just like in the case of P. lanceolata (data not shown).
3.1.8 Polygonaceae
There was no impact of the treatment on Polygonaceae seeds (Figure 5). Despite the inhibitory tendency on Rumex acetosa seeds, the variance of means was too large to prove this. No other effect on seedlings was noticed (data not shown).
3.1.9 Solanaceae
The experiment was performed on Lycopersicon esculentum, and the opposite response of seeds of two cultivars was noticed (Figure 5, Table 2). There was a germination stimulation of ‘Jowisz’ cv. seeds as well as the increased length of the radicles. In the case of ‘Maliniak’ cv. there was an inhibitory tendency towards seed germination, supported by a decrease in the radicle growth (Table 2).
3.1.10 Poaceae
The response of seeds of this family was greatly differentiated, because it was negative for two species, positive in two, and the other species revealed no impact (Figure 6, Table 2). The negative impact was visible as the decreased percentage of germinated seeds of Hordeum vulgare ‘CAMB1’, from the beginning to the end of the experiment (Figure 6). In the case of the Secale cereale ‘Dankowski Amber’ cv. there was no effect on germination, but the radicles were more than twice shorter than in the control (Table 2). The positive effect was noticed as the stimulation of germination of Hordeum murinum seeds and the increment in the total number of germinated seeds of H. murinum and Avena sativa cv. ‘Grajcar’(Figure 6).
3.1.11 Developmental and metabolic responses
SGV treatment on seeds affected subsequent growth in the cases of six studied species (Table 2). The growth of Plantago lanceolata, Ocimum basilicum and Lycopersicon esculentum cv. ‘Jowisz’, radicles was stimulated, while the responses of ‘Maliniak’ cv. and Anethum graveolens, radicles were the opposite ones, as well as in the cases of Myosotis arvensis hypocotyls and the coleoptiles of Secale cereale “Dankowski Amber’. These developmental effects were consisted with germination patterns (stimulation or inhibition) of the individual species and cultivars (Table 2, Figs. 3, 7, 6, 9, and 10, respectively).
To provide substantial information about the activation of metabolism by SGV, two species were chosen due to strong and opposite responses of their seeds, namely dill (Anethum graveolens ) and red cabbage (Brassica oleracea L. var. capitata L. f. rubra ) (Figures 2 and 3, respectively, and Table 3). The analyses were performed in the first day when the difference in germination course occurred, on imbibed but ungerminated seeds. It was established that SGV triggered the increment of the electrolyte leakage from red cabbage seeds to 134% of control, indicating better permeability of testa and explaining better germination, while the seeds of dill, whose germination was hampered, revealed no difference. The content of basic respiratory substrates, sugars, was increased twice in SGV-treated seeds of cabbage, while in these of dill the opposite response was recorded. In the case of water-soluble protein, which can be synthesised at early germination, there was a 12% increment in red cabbage and a similar decrease in dill seeds.
3.1.12 Seed germination and seedling development in the soil
The last experiment was performed on five species whose seeds revealed strong positive or negative response to SGV in the experiments performed in vitro (see Figs 2, 4 and 6, and compare with Figure 7). Despite some differences in the number of germinated seeds in both experiments, the SGV treatment was effective in terms of stimulation or inhibition also when the seeds were covered by a soil layer (Figure 7). Although the variance within a seed lot was sometimes large, in the cases of three species the SGV treatment on seedling emergence was positive, and there was an inhibitory effect in the cases of two, namely Myosotis arvensis and Anethum graveolens. Hence, the results in vitro were confirmed by these of more natural seed environment, soil.
4 Discussion
A new aspect of the study is a short period of slow-paced smoke fumigation and much longer (24 h) use of burnt crop debris, which can emulate the conditions occurring after a natural fire episode. The stimulatory or inhibitory impact of such treatment on seed germination and further growth and metabolism was revealed for some species. The obtained “filtering” effect of soil towards ashes and dust confirms the in vitro results indicating that smokegenerated volatile chemicals are the key factors (Figure 11). As a control, the unburned plant matter of the same origin was used. Such a material potentially could emit physiologically active volatiles, too, e.g. coumarins [28]. However, similar results were obtained when a piece of laboratory filter paper or empty Petri dish was used in the control instead of dried meadow sward (data not shown). Based on the results, SGV composition cannot be established. As it was mentioned in the Introduction, SGV probably comprise karrikins, TMB, nitric oxide, ethylene, nitrate and cyanohydrins of physiological activity [10-16].
SGV modified seed germination patterns of several angiosperm species of European bio-and agricenoses. Such alterations occurred distinctively within the Asteraceae and Brassicaceae families which is consistent with the results of Long et al. [29]. A clear and stimulatory impact was noticed also in the cases of Lamiaceae and two Plantago species. On the contrary, a strong negative response of germination and growth patterns was obtained for common and popular plant Myosotis arvensis (forget-me-not), which suggest to pay attention to the other representatives of Boraginaceae family.
In some cases germination was not accelerated but the total number of germinated seeds was increased, which can be defined as germinability parameter according to ISTA (ISTA 1999). It can be surmised that within such a seed lot, some senescing seeds or dormant seeds were affected [30]. One of the reasons for dormancy is the hardening of the testa, leading to impermeability to water and oxygen. In this case, interaction of active smoke substances with the testa compounds may result in testa loosening [31]. This assumption is supported by the results of the conductometric assay and the alterations in the contents of two basic metabolites, sugars and proteins in Brassica seeds (Table 3) that germinated more abundantly when treated with SGV. Hence, germination stimulation resulted from testa loosening leading to faster influx of water and oxygen into a seed, and, in consequence, faster imbibition and activation of respiration.
At the molecular level, growth process is also linked with the activation of non-enzymic proteins, expansins, which loose the hydrogen bonds between cellulose fibres allowing a cell to enlarge [32]. As their activity is regulated by the phytohormones, the involvement of these growth regulators in the physiological effects of SGV is the logical consequence. It has been known that hormone-dependent dormancy breaking relies on the ratios of abscisic acid (ABA) to auxins (e.g. indole-acetic acid, IAA), or gibberellins [33-36]. The growth responses of hypocotyls or radicles grown from SGV-treated seeds also suggest the involvement of gibberellins [35]. Keeping in mind all the information gathered, the inhibitory effect of SGV has to be explained, too. The lack of differences in the conductometric test on dill seeds (Table 3) whose revealed depressed germination when exposed to SGV (Figure 2), may result from the lack of the chemical reactions between SGV compounds and the testa constituents, but also from karrikin-phytohormones interactions leading to dormancy stimulation. However, dill seeds (or rather fruits called achenes) are specific because of their aroma determined by the chemical composition. In the seed oil carvone and limonene monoterpenes are known as biologically active substances [37, 38], and it is possible that they interact with SGV resulting in the delay of germination.
Differential seed responses within a family are worthy to be discussed. In this paper, they were either uniform, as among Asteraceae, or sometimes opposite (for Apiaceae and Poaceae). A positive or negative reaction was less or more often as well. For example, seed germination and/ or vigour of Asteraceae, Brassicaceae and Lamiaceae was often stimulated by SGV. In the case of Apiaceae the reaction was species-dependent. Moreover, differentiated responses could be noticed even within a species (Lycopersicon esculentum), for its cultivars which suggests that some of the seeds of a cultivar might have been old or dormant, or their susceptibility to some volatiles differs [7, 15]. In turn, seeds of two Polygonaceae species, Rumex acetosa and two Fagopyrum esculentum cultivars indicated no response, although we cannot be sure whether it is representative to the whole family until other species are considered. Among Poaceae the results are very differentiated, which is confirmed by Long et al. [39], who proved that the physiological response of Poaceae seeds to karrikinolide depends on many factors, mainly on dormancy and light.
Interestingly, a stimulating effect of SGV was distinct for positively photoblastic seeds of Matricaria chamomilla, which germinated in a larger amount in darkness and after SGV treatment than in the light (Figure 1.). However, germination of SGV-treated seeds exposed to light were delayed. The reason can be the interaction of some active substances, like in dill seeds case, discussed earlier (Figure 2, Table 3), and generation of toxic amounts of reactive oxygen species can be considered, too [22].
Moreover, the impact of SGV was retained after 6-week stratification, which was obtained in the case of Plantago major(Figure 4), and Solidago gigantea, in spite of seed germination for the latter species was weak. It can be assumed that SGV influences the dynamic hormonal and redox balance in seeds whose dormancy is broken by low temperature or light [37, 39, 40]. Considering an invasive species, Solidago gigantea, further research on the impact of SGV on other invasive plants in Europe would be worthy to be carried out, because unlimited possibility of shopping and travelling, together with the climatic changes largely contribute to ecological invasions [41, 42].
Physiological effect of SGV on seeds in the soil implies the potential impact of swailing to the floristic composition of European habitats which was previously suggested [43]. The species whose germination can be negatively affected is Myosotis arvensis, a plant which became an integral part of the European landscape, or Trifolium pratense. On the other hand, SGV may favour germination of Trifolium repens(Figure 4). Both Trifolium species are valuable from the agronomic and ecological point of view, mostly due to the symbiosis with Rhizobium bacteria allowing to fix atmospheric nitrogen [44, 45].
The practical aspect of the research includes the possibility of acceleration of seed germination when the sowing is late or germination uneven [30, 46]. In this case the smoke-saturated water would be used instead of troublesome and dangerous smoke application [7, 16]. Such treatments were already used to improve the recovery of vegetation in degraded areas, or to increase the vigour of some edible plants [16, 47]. Based on the obtained results it can be supposed that it applies to the seeds of Trifolium repens, or slowly and uneven germinating seeds of Anethum graveolens and Apium graveolens. It could be also applicable in the case of aromatic and medicinal plants like basil or German chamomile. In the latter case, if a heavy rain after sowing causes deep burying of seeds and results in diminished plant number [48] the application of smoke compounds could be useful. However, the Lycopersicon esculentum results lead to the cautiousness due to differentiated response of different cultivars (Figure 5, Table 2). On the contrary, as germination can be not only stimulated, but also hampered by smoke compounds, it is worthy to looking into the possibility of weed control [22]. However, the research with different smoke water concentration is necessary to establish the proper dilution for a particular species.
5 Conclusions
Volatile substances emitted from the burned vegetation modify the course of seed germination and / or seedling vigour of plants from different botanical families, occurring or cultivated in Europe. In the cases of the Asteraceae and Brassicaceae smoke usually induces stimulation, while in Apiaceae and Poaceae the response is varied.
The species whose seeds showed a strong positive or negative reaction to the applied treatment may serve as models for further research, however, large differences between cultivars are likely.
As the effect of the treatment on seeds in vitro was confirmed by the experiments in the soil, the indirect impact of swailing on natural habitats is possible.
Conflict of interest: The author declares no conflict of interest.
Acknowledgements
The study was supported by the Stipendial Fund of the Rector of the University of Agriculture in Krakow dedicated to RBK and UA DS 3113 research programme, task conducted by RBK.
- Abbreviations
- SGV
swailing-generated volatiles
References
[1] De Lange J.H., Boucher C. Autecological studies on Audouinia capitata (Bruniaceae). 1. Plant-derived smoke as a seed germination cue, S. Afr. J. Bot., 1990, 56: 700-703.10.1016/S0254-6299(16)31009-2Search in Google Scholar
[2] Dixon K. W., Roche S., Pate J.S. The promotive effect of smoke derived from burnt native vegetation on seed germination of Western Australian plants, Oecologia, 1995, 101, 185-192.10.1007/BF00317282Search in Google Scholar
[3] Keeley J.E., Fotheringham C.J. Smoke-induced seed germination in California chapparral, Ecology, 1998, 79, 2345-2371.10.1890/0012-9658(1998)079[2320:SISGIC]2.0.CO;2Search in Google Scholar
[4] Armstrong G., Phillips B. Fire History from Life-History: Determining the Fire Regime that a Plant Community Is Adapted Using Life-Histories. PLoS ONE, 2012, 7(2): e31544. 10.1371/journal.pone.0031544Search in Google Scholar
[5] Keeley J.E. Pausas J.G., Rundel P.W., Bond W.J., Bradstosk R. Fire as an evolutionary pressure shaping plant traits. Trends Plant Sci., 2011, 10.1016/j.tplants.2011.04.002 2Search in Google Scholar
[6] Reyes O., Trabaud Ć L. Germination behaviour of 14 Mediterranean species in relation to fire factors: smoke and heat. Plant Ecol., 2009, 202:113–121 10.1007/s11258-008-9532-9Search in Google Scholar
[7] Ghebrehiwot H.M., Kulkarni M.G., Szalai G., Soós V., Balázs E., Van Staden J. Karrikinolide residues in grassland soils following fire: Implications on germination activity. S. Afr. J. Bot., 2013, 88419-42410.1016/j.sajb.2013.09.008Search in Google Scholar
[8] Dayamba S.D., Sawadogo L., Tigabu M., Savadogo P., Zida D., Tiveau, D., Oden P.C. Effects of aqueous smoke solutions and heat on seed germination of herbaceous species of the Sudanian savanna-woodland in Burkina Faso. Flora, 2010, 205(5): 319-32510.1016/j.flora.2009.12.017Search in Google Scholar
[9] Bradshaw S.D., Dixon K.W., Hopper S.D., Lambers H., Turner S.R. Little evidence for fire-adapted plant traits in Mediterranean climate regions. Trends Plant Sci., 2011, 16, 69-7610.1016/j.tplants.2010.10.007Search in Google Scholar
[10] Flematti G.R., Waters M.T., Scaffidi A., Merritt D.J., Ghisalberti E.L., Dixon K.W., Smith S.M. Karrikin and Cyanohydrin Smoke Signals Provide Clues to New Endogenous Plant Signaling Compounds. Molec. Plant, 2013, 6: 29-3710.1093/mp/sss132Search in Google Scholar
[11] Van Staden J., Jäger A.K., Light M.E., Burger B.V. Isolation of the major germination cue from plant-derived smoke. S. Afr. J. Bot., 2004, 70, 654–659.10.1016/S0254-6299(15)30206-4Search in Google Scholar
[12] Nelson, D.C.; Flematti, G.R., Ghisalberti, E.L., Dixon, K.W. Smith S.M. Regulation of Seed Germination and Seedling Growth by Chemical Signals from Burning Vegetation. Annu. Rev. Plant Biol., 2012, 63 (1): 107–130.10.1146/annurev-arplant-042811-105545Search in Google Scholar PubMed
[13] Pošta M., Light ME, Papenfus HB, Van Staden J., Kohout L. Structure-activity relationships of analogs of 3,4,5-trimethylfuran-2(5H)-one with germination inhibitory activities. J .Plant Physiol., 2013, 170, 1235-124210.1016/j.jplph.2013.04.002Search in Google Scholar PubMed
[14] Nair J.J., Pošta M., Papenfus H.B., Munro O.Q., Beier P., Van Staden J. Synthesis, X-ray structure determination and germination studies on some smoke-derived karrikins. S. Afr. J. Bot., 2014, 91, 53-5710.1016/j.sajb.2013.12.003Search in Google Scholar
[15] 19 Soós V., Sebestyén E., Posta M., Kohout L., Light M.E., Van Staden J., Balázs E. Molecular aspects of the antagonistic interaction of smoke-derived butenolides on the germination process of Grand Rapids lettuce (Lactuca sativa) achenes. New Phytol., 2012, 196, 1060–1073. 10.1111/j.1469-8137.2012.04358.xSearch in Google Scholar PubMed
[16] Kulkarni M.G., Light M.E., Van Staden J. 2011. Plant-derived smoke: Old technology with possibilities for economic applications in agriculture and horticulture. S. Afr. J. Bot., 2011, 77, 972-97910.1016/j.sajb.2011.08.006Search in Google Scholar
[17] Kochanek J., Long R.L., Lisle A.T., Flematti G.R. Karrikins Identified in Biochars Indicate Post-Fire Chemical Cues Can Influence Community Diversity and Plant Development. PLoS ONE, 2016, 11(8): e0161234. 10.1371/journal.pone.0161234Search in Google Scholar PubMed PubMed Central
[18] Rossini Oliva S., Leidi E. O., Valdés C.B. Germination responses of Erica andevalensis to different chemical and physical treatments. Ecol. Res., 2009, 24: 655–66110.1007/s11284-008-0536-7Search in Google Scholar
[19] Cosgrove P. The Burning Issue: a briefing paper on fire and the natural heritage. CNPA Briefing Paper No.3. 2014.Search in Google Scholar
[20] Grant M.C., Mallord J., Leigh S. Thompson P. The costs and benefits of grouse moor management to biodiversity and aspects of the wider environment: a review. RSPB Research Report Number 43, 2012Search in Google Scholar
[21] Loster S., Dzwonko Z., Gawroński S. Impact of fire severity on soil properties and the development of tree and shrub species in a Scots pine moist forest site in southern Poland. Forest Ecol. Manag., 2015, 342 (2015) 56–6310.1016/j.foreco.2015.01.013Search in Google Scholar
[22] Cembrowska-Lech D., Koprowski M., Kępczyński J. Germination induction of dormant Avena fatua caryopses by KAR1 and GA3 involving the control of reactive oxygen species (H2O2 and O2•-) and enzymatic antioxidants (superoxide dismutase and catalase) both in the embryo and the aleurone layers J. Plant Physiol. 2015, 176, 169-17910.1016/j.jplph.2014.11.010Search in Google Scholar PubMed
[23] Trenberth K.E., Dai A., van der Schrier G., Jones P.D., Barichivich J., Briffa K.R., Sheffield J. Global warming and changes in drought. Nature Clim. Change, 2014, 4, 17-2210.1038/nclimate2067Search in Google Scholar
[24] Kołodziejek J., Patykowski J. The effect of temperature, light and calcium carbonate on seed germination and radicle growth of the polycarpic perennial Galium cracoviense (Rubiaceae), a narrow endemic species from Southern Poland. Acta Biol. Cracov. Ser. Bot., 2015, 57/1: 70-81.10.1515/abcsb-2015-0006Search in Google Scholar
[25] Bączek-Kwinta R., Kościelniak J. Anti-oxidative effect of elevated CO2 concentration in the air on maize hybrids subjected to severe chill. Photosynthetica, 2003, 41(2): 161-165.10.1023/B:PHOT.0000011947.78548.e1Search in Google Scholar
[26] Ashwell G. Colorimetric analysis of sugars. Meth. Enzymol., 1957, 3, 467-471.10.1016/S0076-6879(57)03350-9Search in Google Scholar
[27] 34 Bradford M. A rapid and sensitive method for the quantitation of microgram quantities of protein-dye binding. Anal. Biochem., 1976, 72: 248-254.10.1016/0003-2697(76)90527-3Search in Google Scholar
[28] Abenavoli M.R., Cacco G., Sorgonà A., Marabottini R., Paolacci A.R., Ciaffi M., Badiani M. The inhibitory effects of coumarin on the germination of durum wheat (Triticum turgidum ssp. durum, cv. Simeto) seeds. J Chem Ecol., 2006, 32(2): 489-506.10.1007/s10886-005-9011-xSearch in Google Scholar PubMed
[29] Long R., Stevens J.C., Griffiths E.M, Adamek M., Gorecki M.J., Powles S.B. Merritt D.J. Seeds of Brassicaceae weeds have an inherent or inducible response to the germination stimulant karrikinolide. Ann Bot., 2011a, 108: 933-944.10.1093/aob/mcr198Search in Google Scholar PubMed PubMed Central
[30] Fidler J., Zdunek-Zastocka E., Bielawski W. Regulation of abscisic acid metabolism in relation to the dormancy and germination of cereal grains. Acta Soc. Bot. Pol., 2015, 84(1):3–11 10.5586/asbp.2015.004Search in Google Scholar
[31] Egerton-Warburton I.M. A smoke-induced alteration of the sub-testa cuticle in seeds of the post-fire recruiter, Emmenanthe penduliflora Benth. (Hydrophyllaceae). J. Exp. Bot., 1998, 49:1317-1327.10.1093/jxb/49.325.1317Search in Google Scholar
[32] Cosgrove D.J. Loosening of plant cell walls by expansins. Nature, 2000, 407, 321-32610.1038/35030000Search in Google Scholar PubMed
[33] Thomas T.H., van Staden J., Dormancy break of celery (Apium graveolens L.) seeds by plant derived smoke extract, Plant Growth Regul., 1995, 17, 195–19810.1007/BF00024725Search in Google Scholar
[34] Chiwocha S.D.S., Dixon K.W., Flematti G.R., Ghisalberti E.L., Merritt D.J., Nelson D.C., Riseborough J.-A. M., Smith S. M., Karrikins: A new family of plant growth regulators in smoke. Plant Sci., 2009. 177, 252-256.10.1016/j.plantsci.2009.06.007Search in Google Scholar
[35] Zhou J., Teixeira da Silva J.A, Ma G. Effects of smoke water and karrikin on seed germination of 13 species growing in China. Cent. Eur. J. Biol., 2014, 9: 1108-1116.10.2478/s11535-014-0338-6Search in Google Scholar
[36] Meng Y., Chen F., Shuai H., Luo X., Ding J., Tang S., Shuanshuan X., Jianwei L., Weiguo L., Du J., Jiang L., Feng Y., Xin S., Taiwen T., Xiaochun W., Yuqi F., Kai S., Wenyu Y. Karrikins delay soybean seed germination by mediating abscisic acid and gibberellin biogenesis under shaded conditions. Sci. Rep., 2016, 6, 22073 doi:10.1038/srep2207310.1038/srep22073Search in Google Scholar
[37] Huopalathi R., Linko R.R. Composition and content of aroma compounds in dill, Anethum graveolens L., at three different growth stages. J. Agric. Food Chem., 1983, 31(2), 331-333.10.1021/jf00116a036Search in Google Scholar
[38] Oosterhaven K., Poolman B., Smid E.J. S-Carvone as a natural potato sprout inhibiting, fungistatic and bacteristatic compound. Ind. Crop Prod., 1995, 4 23-3110.1016/0926-6690(95)00007-YSearch in Google Scholar
[39] Long R., Stevens J.C., Griffiths E.M., Adamek M., Powles S.B. Merritt D.J. Detecting karrikinolide responses in seeds of the Poaceae. Aust. J. Bot., 2011b, 59: 609-619.10.1071/BT11170Search in Google Scholar
[40] Drewes F.E., Smith M.T., Van Staden J. The effect of a plant-derived smoke extract on the germination of light-sensitive lettuce seed. Plant Growth Reg., 1995, 16, 205–209.10.1007/BF00029542Search in Google Scholar
[41] Von der Lippe M., Kowarik I., Long-distance dispersal of plants by vehicles as a driver of plant invasions. Conserv. Biol., 2007, 21, 986–996.10.1111/j.1523-1739.2007.00722.xSearch in Google Scholar PubMed
[42] Lenda M., Skórka P., Knops J.M.H., Moroń D., Sutherland W.J., Kuszewska K., et al. Effect of the Internet Commerce on Dispersal Modes of Invasive Alien Species. PLoS ONE, 2014, 9(6): e99786. 10.1371/journal.pone.0099786Search in Google Scholar PubMed PubMed Central
[43] Bączek-Kwinta R., Markowicz M. 2013.The impact of plant-derived smoke on seed germination in the context of swailing. In: Grzesiak M.T., Rzepka A., Hura T., Grzesiak S. Plant Functioning under Environmental Stress, The Franciszek Górski Institute of Plant Physiology, Polish Academy of Sciences, Cracow, ISBN 978-83-86878-30-7, pp. 233-239.Search in Google Scholar
[44] 52 Badenoch-Jones J., Flanders D.J., Rolfe B.G. Association of Rhizobium Strains with Roots of Trifolium repens. Appl. Env. Microbiol., 1985, 49(6):1511-2010.1128/aem.49.6.1511-1520.1985Search in Google Scholar PubMed PubMed Central
[45] Wielbo J., Marek-Kozaczuk M. Kidaj D., Skorupska A. Competitiveness of Rhizobium leguminosarum bv. trifolii strains in mixed inoculation of clover (Trifolium pratense). Pol. J. Microbiol., 2011; 60(1):43-9.10.33073/pjm-2011-006Search in Google Scholar
[46] Sharma P., Sardana V., Kandhola S.S. Effect of sowing dates and harvesting days on germination and seedling vigor of groundnut (Arachis hypogaea) cultivars. Res. J. Seed Sci., 2013, 10.3923/rjss.2013Search in Google Scholar
[47] Demir I., Okcu G. Aerated hydration treatment for improved germination and seedling growth in aubergine (Solanum melongena) and pepper (Capsicum annuum). Annals Appl. Biol., 2004, 144, 121-12310.1111/j.1744-7348.2004.tb00324.xSearch in Google Scholar
[48] Kavoi T.K., Mwangi M. Studies on German Chamomile (Matricaria recutita L.) propagation and the effect of light and age on seed viability. J. Anim. Plant Sci., 2015. Vol.24, Issue 2: 3781-3786Search in Google Scholar
© 2017 Renata Bączek-Kwinta
This work is licensed under the Creative Commons Attribution-NonCommercial-NoDerivatives 3.0 License.
Articles in the same Issue
- Research Articles
- Field Performance and Genetic Fidelity of Micropropagated Plants of Coffea canephora (Pierre ex A. Froehner)
- Research Articles
- Foliage maturity of Quercus ilex affects the larval development of a Croatian coastal population of Lymantria dispar (Lepidoptera: Erebidae)
- Research Articles
- Structural and functional impact of SNPs in P-selectin gene: A comprehensive in silico analysis
- Research Articles
- High embryogenic ability and regeneration from floral axis of Amorphophallus konjac (Araceae)
- Research Articles
- Terpene content of wine from the aromatic grape variety ‘Irsai Oliver’ (Vitis vinifera L.) depends on maceration time
- Research Articles
- Light and smell stimulus protocol reduced negative frontal EEG asymmetry and improved mood
- Research Articles
- Swailing affects seed germination of plants of European bio-and agricenosis in a different way
- Research Articles
- Survey analysis of soil physicochemical factors that influence the distribution of Cordyceps in the Xiahe Region of Gansu Province
- Research Articles
- Production of biogas: relationship between methanogenic and sulfate-reducing microorganisms
- Research Articles
- Pentraxin 3 and atherosclerosis among type 2 diabetic patients
- Research Articles
- Evaluation of ribosomal P0 peptide as a vaccine candidate against Argulus siamensis in Labeo rohita
- Research Articles
- Variation of autosomes and X chromosome STR in breast cancer and gynecological cancer tissues
- Research Articles
- Response of antioxidant enzymes to cadmium-induced cytotoxicity in rat cerebellar granule neurons
- Research Articles
- Cardiac hypertrophy and IGF-1 response to testosterone propionate treatment in trained male rats
- Research Articles
- BRAF-activated non-protein coding RNA (BANCR) advances the development of esophageal squamous cell carcinoma via cell cycle
- Research Articles
- The influence of soil salinity on volatile organic compounds emission and photosynthetic parameters of Solanum lycopersicum L. varieties
- Research Articles
- Simple Protocol for immunoglobulin G Purification from Camel “Camelus dromedarius” Serum
- Research Articles
- Expression of psbA1 gene in Synechocystis sp. PCC 6803 is influenced by CO2
- Research Articles
- Frequency of Thrombophilic Gene Mutations in Patients with Deep Vein Thrombosis and in Women with Recurrent Pregnancy Loss
- Research Articles
- Evaluation of anticancer properties of a new α-methylene-δ-lactone DL-249 on two cancer cell lines
- Research Articles
- Impact of heated waters on water quality and macroinvertebrate community in the Narew River (Poland)
- Research Articles
- Effects of Some Additives on In Vitro True Digestibility of Wheat and Soybean Straw Pellets
- Research Articles
- RNAi-mediated gene silencing in Rhynchophorus ferrugineus (Oliver) (Coleoptera: Curculionidae)
- Research Articles
- New pathway of icariin-induced MSC osteogenesis: transcriptional activation of TAZ/Runx2 by PI3K/Akt
- Research Articles
- Tudor-SN protein expression in colorectal cancer and its association with clinical characteristics
- Research Articles
- Proteomic and bioinformatics analysis of human saliva for the dental-risk assessment
- Research Articles
- Reverse transcriptase sequences from mulberry LTR retrotransposons: characterization analysis
- Research Articles
- Strain Stimulations with Different Intensities on Fibroblast Viability and Protein Expression
- Research Articles
- miR-539 mediates osteoblast mineralization by regulating Distal-less genes 2 in MC3T3-E1 cell line
- Research Articles
- Diversity of Intestinal Microbiota in Coilia ectenes from Lake Taihu, China
- Research Articles
- The production of arabitol by a novel plant yeast isolate Candida parapsilosis 27RL-4
- Research Articles
- Effectiveness of Azospirillum brasilense Sp245 on young plants of Vitis vinifera L.
- Research Articles
- Changes of photochemical efficiency and epidermal polyphenols content of Prosopis glandulosa and Prosopis juliflora leaves exposed to cadmium and copper
- Research Articles
- Ultraweak photon emission in strawberry fruit during ripening and aging is related to energy level
- Research Articles
- Molecular cloning, characterization and evolutionary analysis of leptin gene in Chinese giant salamander, Andrias davidianus
- Research Articles
- Longevity and stress resistance are affected by activation of TOR/Myc in progenitor cells of Drosophila gut
- Research Articles
- Curcumin attenuates oxidative stress in liver in Type 1 diabetic rats
- Research Articles
- Risk factors of long-term postoperative renal function after partial nephrectomy in a solitary kidney
- Research Articles
- Developmental anomalies of the right hepatic lobe: systematic comparative analysis of radiological features
- Review articles
- Genetic Defects Underlie the Non-syndromic Autosomal Recessive Intellectual Disability (NS-ARID)
- Review articles
- Research Progress on Tissue Culture and Genetic Transformation of Kenaf (Hibiscus cannabinus)
- Topical Issue On Precision Medicine
- MiR-107 inhibits proliferation of lung cancer cells through regulating TP53 regulated inhibitor of apoptosis 1 (TRIAP1)
- Topical Issue On Precision Medicine
- The functional role of exosome microRNAs in lung cancer
- Topical Issue On Precision Medicine
- The diagnostic value of serum microRNA-183 and TK1 as biomarkers for colorectal cancer diagnosis
- Topical Issue On Precision Medicine
- Screening feature modules and pathways in glioma using EgoNet
- Topical Issue On Precision Medicine
- Isoliquiritigenin inhibits colorectal cancer cells HCT-116 growth by suppressing the PI3K/AKT pathway
- Topical Issue On Precision Medicine
- Association between Caveolin-1 expression and pathophysiological progression of femoral nerves in diabetic foot amputation patients
- Topical Issue On Precision Medicine
- Biomarkers in patients with myocardial fibrosis
- Topical Issue On Precision Medicine
- Dysregulated pathways for off-pump coronary artery bypass grafting
- Topical Issue On Precision Medicine
- Individualized identification of disturbed pathways in sickle cell disease
- Topical Issue On Precision Medicine
- The prognostic value of serum PCT, hs-CRP, and IL-6 in patients with sepsis
- Topical Issue On Precision Medicine
- Sevoflurane-medicated the pathway of chemokine receptors bind chemokines in patients undergoing CABG
- Topical Issue On Precision Medicine
- The functional role of microRNAs in laryngeal carcinoma
- Topical Issue On Precision Medicine
- Revealing pathway cross-talk related to diabetes mellitus by Monte Carlo Cross-Validation analysis
- Topical Issue On Precision Medicine
- Correlation between CDKAL1 rs10946398C>A single nucleotide polymorphism and type 2 diabetes mellitus susceptibility: A meta-analysis
- Special Issue on Agricultural and Biological Sciences
- Effects of environmental variables on seedling distribution of rare and endangered Dacrydium pierrei
- Special Issue on Agricultural and Biological Sciences
- Study on synthesis and properties of nanoparticles loaded with amaryllidaceous alkaloids
- Special Issue on Agricultural and Biological Sciences
- Bacterial Infection Potato Tuber Soft Rot Disease Detection Based on Electronic Nose
- Special Issue on Agricultural and Biological Sciences
- Effects of subsoiling on maize yield and water-use efficiency in a semiarid area
Articles in the same Issue
- Research Articles
- Field Performance and Genetic Fidelity of Micropropagated Plants of Coffea canephora (Pierre ex A. Froehner)
- Research Articles
- Foliage maturity of Quercus ilex affects the larval development of a Croatian coastal population of Lymantria dispar (Lepidoptera: Erebidae)
- Research Articles
- Structural and functional impact of SNPs in P-selectin gene: A comprehensive in silico analysis
- Research Articles
- High embryogenic ability and regeneration from floral axis of Amorphophallus konjac (Araceae)
- Research Articles
- Terpene content of wine from the aromatic grape variety ‘Irsai Oliver’ (Vitis vinifera L.) depends on maceration time
- Research Articles
- Light and smell stimulus protocol reduced negative frontal EEG asymmetry and improved mood
- Research Articles
- Swailing affects seed germination of plants of European bio-and agricenosis in a different way
- Research Articles
- Survey analysis of soil physicochemical factors that influence the distribution of Cordyceps in the Xiahe Region of Gansu Province
- Research Articles
- Production of biogas: relationship between methanogenic and sulfate-reducing microorganisms
- Research Articles
- Pentraxin 3 and atherosclerosis among type 2 diabetic patients
- Research Articles
- Evaluation of ribosomal P0 peptide as a vaccine candidate against Argulus siamensis in Labeo rohita
- Research Articles
- Variation of autosomes and X chromosome STR in breast cancer and gynecological cancer tissues
- Research Articles
- Response of antioxidant enzymes to cadmium-induced cytotoxicity in rat cerebellar granule neurons
- Research Articles
- Cardiac hypertrophy and IGF-1 response to testosterone propionate treatment in trained male rats
- Research Articles
- BRAF-activated non-protein coding RNA (BANCR) advances the development of esophageal squamous cell carcinoma via cell cycle
- Research Articles
- The influence of soil salinity on volatile organic compounds emission and photosynthetic parameters of Solanum lycopersicum L. varieties
- Research Articles
- Simple Protocol for immunoglobulin G Purification from Camel “Camelus dromedarius” Serum
- Research Articles
- Expression of psbA1 gene in Synechocystis sp. PCC 6803 is influenced by CO2
- Research Articles
- Frequency of Thrombophilic Gene Mutations in Patients with Deep Vein Thrombosis and in Women with Recurrent Pregnancy Loss
- Research Articles
- Evaluation of anticancer properties of a new α-methylene-δ-lactone DL-249 on two cancer cell lines
- Research Articles
- Impact of heated waters on water quality and macroinvertebrate community in the Narew River (Poland)
- Research Articles
- Effects of Some Additives on In Vitro True Digestibility of Wheat and Soybean Straw Pellets
- Research Articles
- RNAi-mediated gene silencing in Rhynchophorus ferrugineus (Oliver) (Coleoptera: Curculionidae)
- Research Articles
- New pathway of icariin-induced MSC osteogenesis: transcriptional activation of TAZ/Runx2 by PI3K/Akt
- Research Articles
- Tudor-SN protein expression in colorectal cancer and its association with clinical characteristics
- Research Articles
- Proteomic and bioinformatics analysis of human saliva for the dental-risk assessment
- Research Articles
- Reverse transcriptase sequences from mulberry LTR retrotransposons: characterization analysis
- Research Articles
- Strain Stimulations with Different Intensities on Fibroblast Viability and Protein Expression
- Research Articles
- miR-539 mediates osteoblast mineralization by regulating Distal-less genes 2 in MC3T3-E1 cell line
- Research Articles
- Diversity of Intestinal Microbiota in Coilia ectenes from Lake Taihu, China
- Research Articles
- The production of arabitol by a novel plant yeast isolate Candida parapsilosis 27RL-4
- Research Articles
- Effectiveness of Azospirillum brasilense Sp245 on young plants of Vitis vinifera L.
- Research Articles
- Changes of photochemical efficiency and epidermal polyphenols content of Prosopis glandulosa and Prosopis juliflora leaves exposed to cadmium and copper
- Research Articles
- Ultraweak photon emission in strawberry fruit during ripening and aging is related to energy level
- Research Articles
- Molecular cloning, characterization and evolutionary analysis of leptin gene in Chinese giant salamander, Andrias davidianus
- Research Articles
- Longevity and stress resistance are affected by activation of TOR/Myc in progenitor cells of Drosophila gut
- Research Articles
- Curcumin attenuates oxidative stress in liver in Type 1 diabetic rats
- Research Articles
- Risk factors of long-term postoperative renal function after partial nephrectomy in a solitary kidney
- Research Articles
- Developmental anomalies of the right hepatic lobe: systematic comparative analysis of radiological features
- Review articles
- Genetic Defects Underlie the Non-syndromic Autosomal Recessive Intellectual Disability (NS-ARID)
- Review articles
- Research Progress on Tissue Culture and Genetic Transformation of Kenaf (Hibiscus cannabinus)
- Topical Issue On Precision Medicine
- MiR-107 inhibits proliferation of lung cancer cells through regulating TP53 regulated inhibitor of apoptosis 1 (TRIAP1)
- Topical Issue On Precision Medicine
- The functional role of exosome microRNAs in lung cancer
- Topical Issue On Precision Medicine
- The diagnostic value of serum microRNA-183 and TK1 as biomarkers for colorectal cancer diagnosis
- Topical Issue On Precision Medicine
- Screening feature modules and pathways in glioma using EgoNet
- Topical Issue On Precision Medicine
- Isoliquiritigenin inhibits colorectal cancer cells HCT-116 growth by suppressing the PI3K/AKT pathway
- Topical Issue On Precision Medicine
- Association between Caveolin-1 expression and pathophysiological progression of femoral nerves in diabetic foot amputation patients
- Topical Issue On Precision Medicine
- Biomarkers in patients with myocardial fibrosis
- Topical Issue On Precision Medicine
- Dysregulated pathways for off-pump coronary artery bypass grafting
- Topical Issue On Precision Medicine
- Individualized identification of disturbed pathways in sickle cell disease
- Topical Issue On Precision Medicine
- The prognostic value of serum PCT, hs-CRP, and IL-6 in patients with sepsis
- Topical Issue On Precision Medicine
- Sevoflurane-medicated the pathway of chemokine receptors bind chemokines in patients undergoing CABG
- Topical Issue On Precision Medicine
- The functional role of microRNAs in laryngeal carcinoma
- Topical Issue On Precision Medicine
- Revealing pathway cross-talk related to diabetes mellitus by Monte Carlo Cross-Validation analysis
- Topical Issue On Precision Medicine
- Correlation between CDKAL1 rs10946398C>A single nucleotide polymorphism and type 2 diabetes mellitus susceptibility: A meta-analysis
- Special Issue on Agricultural and Biological Sciences
- Effects of environmental variables on seedling distribution of rare and endangered Dacrydium pierrei
- Special Issue on Agricultural and Biological Sciences
- Study on synthesis and properties of nanoparticles loaded with amaryllidaceous alkaloids
- Special Issue on Agricultural and Biological Sciences
- Bacterial Infection Potato Tuber Soft Rot Disease Detection Based on Electronic Nose
- Special Issue on Agricultural and Biological Sciences
- Effects of subsoiling on maize yield and water-use efficiency in a semiarid area
