Home International transmission of productivity shocks with nonzero net foreign debt
Article
Licensed
Unlicensed Requires Authentication

International transmission of productivity shocks with nonzero net foreign debt

  • Olena Mykhaylova EMAIL logo and James Staveley-O’Carroll
Published/Copyright: August 13, 2014

Abstract

We study the impact of foreign debt on transmission of productivity shocks and on international risk sharing in a two-country DSGE model with incomplete asset markets and deviations from the purchasing power parity. We elucidate two channels through which debt affects international shock transmission. First, changes in domestic output cause fluctuations in the debt-to-GDP ratio and thus affect the risk premium on foreign borrowing. Second, fluctuations in the real exchange rate alter the real value of existing liabilities, generating wealth effects for the consumers in the indebted economy. Together, these two channels help to address the Backus-Smith puzzle by producing a negative consumption-real exchange rate correlation in an environment driven by productivity shocks. Our findings are robust to monetary policy rule specification but depend critically on the currency of debt denomination.

JEL classification: F32; F41; F44

Corresponding author: Olena Mykhaylova, Department of Economics, Robins School of Business, 28 Westhampton Way, University of Richmond, VA 23173, USA, e-mail:

Appendix A: A Model solution

A.1 Firms

The optimal price for an intermediate good variety is given by

P˜H,t=σintσint1Etj=t(αintβ)jtλjPH,jσintYH,jMCjEtj=t(αintβ)jtλjPH,jσintYH,j,

where MCt is the nominal marginal cost of production:

MCt=RtνWt1νZtνν(1ν)1ν

We consider a symmetric equilibrium in which every firm that gets a chance to reset its prices in period t will set it to the same value; therefore, optimal prices are not denoted by a firm subscript f. Given the price-setting behavior of individual firms, the aggregate price index of the composite intermediate good can be written as

PH,t1σint=(1αint)P˜H,t1σint+αintPH,t11σint

Analogously, each final good variety producer finds it optimal to charge

P˜t(i)=σfσf1Etj=tλj(αfβ)jtPjσfYjMCFjEtj=tλj(αfβ)jtPjσfYj

where Pt=[01Pt(i)1σfdi]11σf, and MCFt captures the marginal cost of inputs:

MCFt=[μPH,t1η+(1μ)(StPF,t)1η]11η.

A.2 Households

The demand for household h’s labor services, given its wage, is

Lt(h)=[Wt(h)Wt]σlLtM

Lt=M11σl[0MLt(h)σl1σldh]σlσl1

Wt=M1σl1[0MWt(h)1σldh]11σl,

where the last equation presents the aggregate wage level. The scaling factor M11σl is necessary to maintain the aggregate relationship Lt=01Lt(f)df=MLt(h). Together with the expression Kt=MKt(h) this will ensure that the production function exhibits constant returns to scale. Additionally, in the steady state, the aggregate wage W will equal the individual wage W(h).

For simplicity, in the equations below we drop the household subscript h.

λt=1CtΘPt11+it=βEt[(Ct+1Ct)ΘPtPt+1]11+it+φt=βEt[(Ct+1Ct)ΘΔSt+1PtPt+1]{1+ψ[KtKt11]}=βEt[Ct+1Ct]Θ{1δ+Rt+1+ψ2[(Kt+1Kt)21]}CH,t=μ[PH,tPt]ηCt,CF,t=(1μ)[StPF,tPt]ηCt

Here it is the yield on the one-period nominal risk-free bond, which can be easily derived from the set of state-contingent bonds Dt. Following Cochrane (2001), chapter 3, let p(D)=∑spc(s)D(s) be the price of a portfolio D of state-contingent bonds; here s’s denote states of nature, pc(s) is the price of a bond that pays one dollar next period contingent on the state s occurring, and D(s) is the number of such claims in portfolio D. If π(s) is the probability of state s, p(D)=∑sπ(s)[pc(s)/π(s)]D(s)=Ett,t+1Dt], where Δt,t+1 is the stochastic discount factor. Now consider a bond that costs 1 dollar in period t and pays I dollars in all states in t+1. We then can write It=1/Et,t+1) and let it≡lnIt.

We assume that every household which chooses its wage in period t sets it to the same new value:

W˜tσlχ+1=σlσl1Etj=t(αwβ)jtWjσl(χ+1)Lj1+χEtj=t(αwβ)jtλjWjσlLj

Similar to the derivations of the aggregate price level given firms’ first-order conditions, the aggregate wage level is given by

Wt1σl=(1αw)W˜t1σl+αwWt11σl

A.3 Derivation of the risk premium channel

To derive equation (23) highlighting the risk premium channel, we log-linearize the risk premium definition (13) to obtain

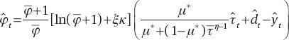
(32)ϕ^t=ϕ¯+1ϕ¯[ln(φ¯+1)+κ](q^t+d^tp^H,ty^t), (32)

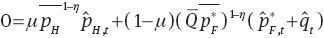
where bars over variables denotes their steady state levels, and lower-case letters denote log-deviations of variables from the steady state. We next combine the log-linearized expressions for the two CPIs,

(33)0=μpH¯1ηp^H,t+(1μ)(Q¯pF¯)1η(p^F,t+q^t) (33)
(34)0=μ(Q¯pF¯)1ηp^F,t+(1μ)pH¯1η(p^H,tq^t), (34)

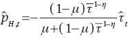
with the terms of trade expression τ^t=q^t+p^F,tp^H,t to get

(35)p^H,t=(1μ)τ¯1ημ+(1μ)τ¯1ητ^t (35)
(36)p^F,t=(1μ)τ¯η1μ+(1μ)τ¯η1τ^t (36)
(37)q^t=[1(1μ)τ¯η1μ+(1μ)τ¯η1(1μ)τ¯1ημ+(1μ)τ¯1η]τ^t (37)

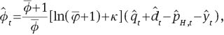
Finally, by combining (35) and (37) with (32), we obtain

(38)φ^t=φ¯+1φ¯[ln(φ¯+1)+ξκ](μμ+(1μ)τ¯η1τ^t+d^ty^t) (38)

Since in the steady state τ¯1 and ln(φ¯+1)φ¯, the last expression simplifies to yield equation (23) in the main text.

B Data sources and description

B.1 Calibration

Unless otherwise indicated, all data are taken from OECD.Stat database and refer to the 1980Q1–2011Q3 period (or the earliest available date following 1980) variables in Czech Republic, Estonia, Hungary, Poland, Russian Federation, Slovak Republic, and Slovenia.

  • Pt: Consumer prices, all items, 2005=100

  • Yt: Gross domestic product, current prices, deflated by Pt

  • Ct: Private final consumption expenditure, current prices, deflated by the Pt

  • It: Gross fixed capital formation, current prices, deflated by the Pt

  • CAt: Current account balance, percent of GDP

  • Gt: General government final consumption expenditure, deflated by the Pt

  • πt: Inflation rate, calculated as log(Pt/Pt–1)

  • NFWt: Net foreign assets (Lane and Milesi-Ferretti, EWN II update for the web, August 2009); annual data for the 1970–2007 period

  • Qt: Bank for International Settlements effective real exchange rate index

B.2 Empirical exercises

Sample countries (155): Albania, Algeria, Argentina, Armenia, Australia, Austria, Azerbaijan, Bangladesh, Belarus, Belgium, Benin, Bolivia, Botswana, Brazil, Burkina Faso, Cambodia, Cameroon, Canada, Chad, Chile, China, Colombia, Congo, Republic of, Côte d’Ivoire, Croatia, Czech Republic, Denmark, Dominican Republic, Egypt, El Salvador, Equatorial Guinea, Estonia, Ethiopia, Fiji, Finland, France, Gabon, Georgia, Germany, Ghana, Greece, Guatemala, Guinea, Haiti, Honduras, Hong Kong, Hungary, Iceland, India, Indonesia, Iran, Ireland, Israel, Italy, Jamaica, Japan, Jordan, Kazakhstan, Kenya, Kyrgyz Republic, Latvia, Lithuania, Macedonia, Madagascar, Malawi, Malaysia, Mali, Mexico, Moldova, Morocco, Mozambique, Nepal, Netherlands, New Zealand, Nicaragua, Niger, Nigeria, Norway, Oman, Pakistan, Papua New Guinea, Paraguay, Peru, Philippines, Poland, Portugal, Romania, Russia, Rwanda, Senegal, Singapore, Slovak Republic, Slovenia, South Africa, South Korea, Spain, Sri Lanka, Sweden, Switzerland, Syrian Arab Republic, Tanzania, Thailand, Togo, Trinidad and Tobago, Tunisia, Turkey, Uganda, Ukraine, UK, US, Uruguay, Venezuela, Vietnam, Yemen, Zambia.

Unless otherwise indicated, all data are taken from IMF’s International Financial Statistics database and refer to the 1990–2004 period.

  • Pti: Consumer Prices, All Items. Index, 2005=100

  • Nti: Population (source: Penn World Table Version 7.1, Center for International Comparisons of Production, Income and Prices at the University of Pennsylvania, November 2012)

  • Yti: Nominal Gross Domestic Product, deflated by Pti and Nti

  • Cti: Nominal Household Consumption Expenditure, incl. NPISHs, deflated by Pti and Nti

  • NFDRtij: Total Liabilities in Currency j as% of GDP less Total Assets in Currency j as % of GDP (source: Lane and Shambaugh 2010). Here j={USD, GBP, EUR, JPY, CHF}

  • Sti,USD: National Currency per US Dollar, period average

  • Qti,j: real exchange rate, computed as

    Qti,j=Sti,USDStj,USDPtjPti

Notes: CPI data (Index, 2005=100) for Azerbaijan, Belarus, and China are taken from World Bank World Development Indicators. Missing CPI data for Guinea, Oman, and Venezuela are replaced by GDP deflator (source: World Bank WDI). Consumption data for Croatia (Final Consumption Expenditure) are taken from EuroStat. GDP for Macedonia is taken from World Bank WDI. Eurozone data for the 1990–1994 period are calculated from individual 11 member states observations obtained from IFS, WDI, and EuroStat.

Table 6 shows the descriptive statistics of the data used in the regression analysis.

The 15 countries excluded in Panel B of Table 5: Australia, Brazil, Canada, China, France, Germany, India, Italy, Japan, Mexico, Netherlands, South Korea, Spain, UK, and the USA.

Table 6

Summary statistics.

VariableObs

(i)
Mean

(ii)
St. Dev.

(iii)
Min

(iv)
Max

(v)
Panel 1: vis-à-vis US
ΔlnYtiΔlnYtUS7830.01610.1227–0.34632.5222
ΔlnCtiΔlnCtUS7740.00810.1102–0.97541.6703
ΔlnQti,US787–0.00440.1570–1.86660.8128
NFDRti,US7689.666734.4997–132.0530170.4888
Panel 2: vis-à-vis UK
ΔlnYtiΔlnYtUK1510–0.00080.1031–0.52202.5462
ΔlnCtiΔlnCtUK1501–0.00890.1074–0.992001.6634
ΔlnQti,UK15120.00410.1644–2.02822.6375
NFDRti,UK1489–2.07997.8248–85.8420.9611
Panel 3: vis-à-vis Euro
ΔlnYtiΔlnYtEuro11080.01250.1080–0.48032.4743
ΔlnCtiΔlnCtEuro1103–0.00070.1101–0.59421.4846
ΔlnQti,Euro11110.00140.1796–1.96262.7030
NFDRti,Euro1085–0.343115.1674–105.970084.2443
Panel 4: vis-à-vis Japan
ΔlnYtiΔlnYtJp15100.02580.1020–0.48652.5000
ΔlnCtiΔlnCtJp15010.01510.1066–0.96701.6354
ΔlnQti,Jp15120.00080.1850–1.75302.9126
NFDRti,Jp14895.34948.5961–20.928962.5846
Panel 5: vis-à-vis Switzerland
ΔlnYtiΔlnYtSw15100.02660.1022–0.47632.5485
ΔlnCtiΔlnCtSw15010.01820.1056–0.95651.6486
ΔlnQti,Sw15120.00190.1651–1.91312.7525
NFDRti,Sw1489–0.34462.2708–13.865215.4817
Panel 6: full sample
ΔlnYtiΔlnYtj64210.01630.1066–0.52202.5485
ΔlnCtiΔlnCtj63800.00660.1081–0.99201.6703
ΔlnQti,j64340.00130.1714–2.02822.9126
NFDRti,j63201.804915.2603–132.0530170.4888

Summary statistics for the dataset used in Section 5. Panels 1–5 describe the variables relative to the five interational currencies, and panel 6 includes the entire set. Negative values of NFDRt indicate countries with above-zero levels of net foreign wealth.

C Additional robustness checks

The model assumes that the home economy is characterized by a Taylor rule while the foreign country pursues the policy of strict inflation targeting. This specification is useful for the SOE analysis of Section 4.6; it is common in the literature to assume that the small open economy does not influence the rest of the world (in our model represented by the foreign country), which typically follows the policy of strict inflation targeting.[21] However, to check that the results of our paper – especially of the first several sections in which both economies are of equal size – do not hinge on this asymmetric specification, below we present the consumption-RER correlations when both monetary policies are symmetric. In Panel A, we assume that both countries follow the Taylor rule described by (15) when prices and wages are sticky, while in Panel B home and foreign central banks set π=π*=0 at all times (in this latter case the results are independent of the degree of nominal rigidity).

As is evident from the last column of Table 7, our main channels are virtually unaffected by the monetary policy specification. Interestingly, the same anomaly described in Section 4.2 appears in the Panel A setup as well: low trade elasticity combined with high debt level fails to generate a negative RER-consumption correlation following a home productivity shock. The explanation of this phenomenon is the same as before, however. Switching from π*=0 to a Taylor rule significantly increases the volatility of the foreign (and consequently home) price level; more volatile prices create a larger RER depreciation through the debt valuation channel, which cannot be fully offset by the risk premium channel and the feedback loop.

Table 7

Effects of monetary policy rules.

Corr (q, cc*)NFDR=0NFDR=1
η=0.75

(i)
η=1.5

(ii)
η=0.75

(iii)
η=1.5

(iv)
Panel A: Both Taylor rules
 Home productivity–0.860.980.74–0.87
 Foreign productivity–0.900.99–0.17–0.30
 Unconditional correlation–0.850.99–0.07–0.67
Panel B: Both inflation targeting
 Home productivity–0.560.99–0.87–0.90
 Foreign productivity–0.800.97–0.44–0.57
 Unconditional correlation–0.640.98–0.55–0.75

Consumption-real exchange rate correlation under different policy rules. Unconditional correlation refers to the model specification in which both home and foreign productivity shocks operate at the same time.

References

Adolfson, M., S. Laséen, J. Lindé, and M. Villani. 2007. “Bayesian Estimation of an Open Economy DSGE Model with Incomplete Pass-Through.” Journal of International Economics 72: 481–511.10.1016/j.jinteco.2007.01.003Search in Google Scholar

Aguiar, M., and G. Gopinath. 2006. “Defaultable Debt, Interest Rates and the Current Account.” Journal of International Economics 69: 64–83.10.1016/j.jinteco.2005.05.005Search in Google Scholar

Arellano, C. 2008. “Default Risk and Income Fluctuations in Emerging Economies.” American Economic Review 98: 690–712.10.1257/aer.98.3.690Search in Google Scholar

Arora, V., and M. Cerisola. 2001. “How Does U.S. Monetary Policy Influence Sovereign Spreads in Emerging Markets?” International Monetary Fund Staff Papers 48: 474–498.10.2139/ssrn.879955Search in Google Scholar

Bacchetta, P., and E. van Wincoop. 2000. “Capital Flows to Emerging Markets: Liberalization, Overshooting and Volatility.” In Capital Flows and the Emerging Economies: Theory, Evidence, and Controversies, edited by S. Edwards, Chicago, IL, USA: The University of Chicago Press.Search in Google Scholar

Backus, D., and G. Smith. 1993. “Consumption and Real Exchange Rates in Dynamic Economies with Non-Traded Goods.” Journal of International Economics 35: 297–316.10.1016/0022-1996(93)90021-OSearch in Google Scholar

Benigno, G., and P. Benigno. 2006. “Designing Targeting Rules for International Monetary Policy Cooperation.” Journal of Monetary Economics 53: 473–506.10.1016/j.jmoneco.2005.03.009Search in Google Scholar

Benigno, G., and C. Thoenissen. 2008. “Consumption and Real Exchange Rates with Incomplete Markets and Non-Traded Goods.” Journal of International Money and Finance 27: 926–948.10.1016/j.jimonfin.2008.04.008Search in Google Scholar

Benigno, P. 2009. “Price Stability with Imperfect Financial Integration.” Journal of Money, Credit and Banking 41: 121–149.10.1111/j.1538-4616.2008.00201.xSearch in Google Scholar

Berkmen, S. P., and E. Cavallo. 2010. “Exchange Rate Policy and Liability Dollarization: What do the Data Reveal about Causality?” Review of International Economics 18: 781–795.10.1111/j.1467-9396.2010.00890.xSearch in Google Scholar

Bils, M., and P. Klenow. 2004. “Some Evidence on the Importance of Sticky Prices.” Journal of Political Economy 112: 947–985.10.1086/422559Search in Google Scholar

Bodenstein, M. 2010. “Trade Elasticity of Substitution and Equilibrium Dynamics.” Journal of Economic Theory 145: 1033–1059.10.1016/j.jet.2010.01.008Search in Google Scholar

Bouvatier, V. 2007. “Are International Interest Rate Differentials Driven by the Risk Premium? The Case of Asian Countries.” Economics Bulletin 5: 1–14.Search in Google Scholar

Burger, J., and F. Warnock. 2003. “Diversification, Original Sin, and International Bond Portfolios.” Board of Governors of the Federal Reserve System, International Finance Discussion Paper No. 755.Search in Google Scholar

Calvo, G. 1983. “Staggered Prices in a Utility Maximizing Framework.” Journal of Monetary Economics 12: 383–398.10.1016/0304-3932(83)90060-0Search in Google Scholar

Calvo, G., L. Leiderman, and C. Reinhart. 1996. “Inflows of Capital to Developing Countries in the 1990s.” Journal of Economic Perspectives 10: 123–139.10.1257/jep.10.2.123Search in Google Scholar

Campa, M., and L. Goldberg. 2005. “Exchange Rate Pass-Through into Import Prices.” Review of Economics and Statistics 87: 679–690.10.1162/003465305775098189Search in Google Scholar

Canzoneri, M., R. Cumby, and B. Diba. 2007. “The Cost of Nominal Rigidity in NNS Models.” Journal of Money, Credit and Banking 39: 1563–1586.10.1111/j.1538-4616.2007.00079.xSearch in Google Scholar

Chari, V. V., P. Kehoe, and E. McGrattan. 2002. “Can Sticky Price Models Generate Volatile and Persistent Real Exchange Rates?” Review of Economic Studies 69: 533–563.10.1111/1467-937X.00216Search in Google Scholar

Christiano, L., M. Trabandt, and K. Walentin. 2011. “Introducing Financial Frictions and Unemployment into a Small Open Economy Model.” Journal of Economic Dynamics and Control 35: 1999–2041.10.1016/j.jedc.2011.09.005Search in Google Scholar

Clarida, R., J. Gali, and M. Gertler. 1998. “Monetary Policy Rules in Practice: Some International Evidence.” European Economic Review 42: 1033–1067.10.1016/S0014-2921(98)00016-6Search in Google Scholar

Cochrane, J. 2001. Asset Pricing. Princeton, NJ, USA: Princeton University Press.Search in Google Scholar

Coenen, G., and R. Straub. 2005. “Does Government Spending Crowd in Private Consumption? Theory and Empirical Evidence for the Euro Area.” International Finance 8: 435–470.10.1111/j.1468-2362.2005.00166.xSearch in Google Scholar

Cole, H., and M. Obstfeld. 1991. “Commodity Trade and International Risk Sharing: How Much Do Financial Markets Matter?” Journal of Monetary Economics 28: 3–24.10.1016/0304-3932(91)90023-HSearch in Google Scholar

Collard, F., and M. Juillard. 2001. “Accuracy of Stochastic Perturbation Methods: The Case of Asset Pricing Models.” Journal of Economic Dynamics and Control 25: 979–999.10.1016/S0165-1889(00)00064-6Search in Google Scholar

Collard, F., and M. Juillard. 2009. “Stochastic Simulations with DYNARE. A Practical Guide.” CEPREMAP. http://www.dynare.org/documentation-and-support/tutorial/guide.pdf/view. Accessed on 8 January, 2014.Search in Google Scholar

Corsetti, G., L. Dedola, and S. Leduc. 2008. “International Risk Sharing and the Transmission of Productivity Shocks.” Review of Economic Studies 75: 443–473.10.1111/j.1467-937X.2008.00475.xSearch in Google Scholar

Corsetti, G., and P. Pesenti. 2005. “International Dimensions of Optimal Monetary Policy.” Journal of Monetary Economics 52: 281–305.10.1016/j.jmoneco.2004.06.002Search in Google Scholar

Cuadra, G., and H. Sapriza. 2008. “Sovereign Default, Interest Rates and Political Uncertainty in Emerging Markets.” Journal of International Economics 76: 78–88.10.1016/j.jinteco.2008.05.001Search in Google Scholar

Demirel, U. 2009. “The Transmission of Foreign Interest Rate Shocks to a Small-Open Economy: The Role of External Debt and Financial Integration.” The B.E. Journal of Macroeconomics 9: Art. 3(Contributions).10.2202/1935-1690.1776Search in Google Scholar

De Paoli, B. 2009. “Monetary Policy under Alternative Asset Market Structures: The Case of a Small Open Economy.” Journal of Money, Credit and Banking 41: 1301–1330.10.1111/j.1538-4616.2009.00257.xSearch in Google Scholar

Devereux, M., and C. Engel. 2007. “Expenditure Switching Versus Real Exchange Rate Stabilization: Competing Objectives for Exchange Rate Policy.” Journal of Monetary Economics 54: 2346–2374.10.1016/j.jmoneco.2006.12.013Search in Google Scholar

Devereux, M., and V. Hnatkovska. 2013. “Borders and Nominal Exchange Rates in Risk-Sharing.” Working Paper, University of British Columbia.10.2139/ssrn.2285263Search in Google Scholar

Duarte, M., and A. Wolman. 2008. “Fiscal Policy and Regional Inflation in a Currency Union.” Journal of International Economics 74: 384–401.10.1016/j.jinteco.2007.07.002Search in Google Scholar

Eichengreen, B., and R. Hausmann. 1999. “Exchange Rates and Financial Fragility.” Proceedings, Federal Reserve Bank of Kansas City, 329–368.Search in Google Scholar

Eicher, T., S. Schubert, and S. Turnovsky. 2008. “Dynamic Effects of Terms of Trade Shocks: The Impact on Debt and Growth.” Journal of International Money and Finance 27: 876–896.10.1016/j.jimonfin.2007.04.015Search in Google Scholar

Elekdag, S., A. Justiniano, and I. Tchakarov. 2006. “An Estimated Small Open Economy Model of the Financial Accelerator.” IMF Staff Papers, 53, No. 2.Search in Google Scholar

Enders, Z., and G. Müller. 2009. “On the International Transmission of Technology Shocks.” Journal of International Economics 78: 45–59.10.1016/j.jinteco.2009.02.010Search in Google Scholar

Evans, C. 2003. “The Economic Significance of National Border Effects.” The American Economic Review 93: 1291–1312.10.1257/000282803769206304Search in Google Scholar

Faia, E., and T. Monacelli. 2008. “Optimal Monetary Policy in a Small Open Economy with Home Bias.” Journal of Money, Credit and Banking 40: 721–750.10.1111/j.1538-4616.2008.00133.xSearch in Google Scholar

Ferrucci, G. 2003. “Empirical Determinants of Emerging Market Economies’ Sovereign Bond Spreads.” Bank of England Working Paper No. 205.10.2139/ssrn.597422Search in Google Scholar

Fischer, S. 2001. “Exchange Rate Regimes: Is the Bipolar View Correct?” The Journal of Economic Perspectives 15: 3–24.10.1257/jep.15.2.3Search in Google Scholar

Hadzi-Vaskov, M. 2008. “Does the Nominal Exchange Rate Explain the Backus-Smith Puzzle? Evidence from the Eurozone.” Working Papers 07-32, Utrecht School of Economics.Search in Google Scholar

Hausmann, R., and U. Panizza. 2003. “On the Determinants of Original Sin: An Empirical Investigation.” Journal of International Money and Finance 22: 957–990.10.1016/j.jimonfin.2003.09.006Search in Google Scholar

Ilzetzki, E., C. Reinhart, and K. Rogoff. 2008. “Exchange Rate Arrangements Entering the 21st Century: Which Anchor Will Hold?” Working Paper, Harvard University.Search in Google Scholar

Kaminsky, G., C. Reinhart, and C. Végh. 2004. “When It Rains, It Pours: Procyclical Capital Flows and Macroeconomic Policies.” NBER Macroeconomics Annual 19: 11–82.10.1086/ma.19.3585327Search in Google Scholar

Lane, P., and G. Milesi-Ferretti. 2001. “Long-Term Capital Movements.” NBER Macroeconomics Annual 16: 73–136.10.1086/654435Search in Google Scholar

Lane, P., and J. Shambaugh. 2010. “Financial Exchange Rates and International Currency Exposures.” American Economic Review 100: 518–540.10.1257/aer.100.1.518Search in Google Scholar

Levy-Yeyati, E., and F. Sturzenegger. 2005. “Classifying Exchange Rate Regimes: Deeds vs. Words.” European Economic Review 49: 1603–1635.10.1016/j.euroecorev.2004.01.001Search in Google Scholar

Lorenzoni, G., F. Perri, and V. Guerrieri. 2008. “International Borrowing, Investment and Default.” 2008 Meeting Papers 952, Society for Economic Dynamics.Search in Google Scholar

Lucas, R. 1990. “Why Doesn’t Capital Flow from Rich to Poor Countries?” American Economic Review 80: 92–96.Search in Google Scholar

Mumtaz, H., O. Oomen, and J. Wang. 2006. “Exchange Rate Pass-Through into U.K. Import Prices.” The Bank of England Working paper No 312.10.2139/ssrn.965463Search in Google Scholar

Mykhaylova, O. 2011. “Welfare Implications of Regional Asymmetries in a Monetary Union.” The B.E. Journal of Macroeconomics 11: Art. 39(Topics).10.2202/1935-1690.2192Search in Google Scholar

Nakamura, E., and J. Steinsson. 2008. “Five Facts about Prices: A Reevaluation of Menu Cost Models.” The Quarterly Journal of Economics 123: 1415–1464.10.1162/qjec.2008.123.4.1415Search in Google Scholar

Obstfeld, M., and K. Rogoff. 2002. “Global Implications of Self-Oriented National Monetary Rules.” The Quarterly Journal of Economics 117: 503–535.10.1162/003355302753650319Search in Google Scholar

Obstfeld, M., and K. Rogoff. 2000. “The Six Major Puzzles in International Macroeconomics: Is There a Common Cause?” NBER Macroeconomics Annual 15: 339–412.10.1086/654423Search in Google Scholar

Rabitsch, K. 2012. “The Role of Financial Market Structure and the Trade Elasticity for Monetary Policy in Open Economies.” Journal of Money, Credit and Banking 44: 603–629.10.1111/j.1538-4616.2012.00503.xSearch in Google Scholar

Ranciere, R., A. Tornell, and A. Vamvakidis. 2010. “Currency Mismatch, Systemic Risk and Growth in Emerging Europe.” Economic Policy 25: 597–658.10.1111/j.1468-0327.2010.00251.xSearch in Google Scholar

Reinhart, C. 2000. “Mirage of Floating Exchange Rates.” American Economic Review Papers and Proceedings 90: 65–70.10.1257/aer.90.2.65Search in Google Scholar

Reinhart, C., K. Rogoff, and M. Savastano. 2003. “Addicted to Dollars.” NBER Working Paper No. 10015, forthcoming in Economa.10.3386/w10015Search in Google Scholar

Reinhart, C. M., K. S. Rogoff, and M. A. Savastano. 2014. “Addicted to Dollars.” Annals of Economics and Finance 15: 1–50, May.Search in Google Scholar

Schmitt-Grohé, S., and M. Uribe. 2004. “Solving Dynamic General Equilibrium Models Using a Second-Order Approximation to the Policy Function.” Journal of Economic Dynamics and Control 28: 755–775.10.1016/S0165-1889(03)00043-5Search in Google Scholar

Schmitt-Grohé, S., and M. Uribe. 2003. “Closing Small Open Economy Models.” Journal of International Economics 61: 163–185.10.1016/S0022-1996(02)00056-9Search in Google Scholar

Selaive, J., and V. Tuesta. 2003. “Net Foreign Assets and Imperfect Pass-Through: The Consumption Real Exchange Rate Anomaly.” Board of Governors of the Federal Reserve System, International Finance Discussion Paper No. 764.Search in Google Scholar

Sutherland, A. 2005. “Incomplete Pass-Through and the Welfare Effects of Exchange Rate Variability.” Journal of International Economics 65: 375–399.10.1016/j.jinteco.2004.01.005Search in Google Scholar

Viani, F. 2010. “International Financial Flows, Real Exchange Rates and Cross-Border Insurance.” Banco de Espana Working Paper No. 1038.Search in Google Scholar

Wang, J. 2010. “Home Bias, Exchange Rate Disconnect, and Optimal Exchange Rate Policy.” Journal of International Money and Finance 29: 55–78.10.1016/j.jimonfin.2008.12.010Search in Google Scholar

Zoli, E. 2004. “Credit Rationing in Emerging Economies’ Access to Global Capital Markets.” International Monetary Fund Working Paper No. 04/70.10.5089/9781451849189.001Search in Google Scholar

Published Online: 2014-8-13
Published in Print: 2014-1-1

©2014 by De Gruyter

Articles in the same Issue

  1. Frontmatter
  2. Advances
  3. Optimal portfolios with wealth-varying risk aversion in the neoclassical growth model
  4. Inventories and the stockout constraint in general equilibrium
  5. Optimal second best taxation of addictive goods in dynamic general equilibrium: a revenue raising perspective
  6. Inflation effects on capital accumulation in a model with residential and non-residential assets
  7. Optimal capital-income taxation in a model with credit frictions
  8. Contributions
  9. Interest rate fluctuations and equilibrium in the housing market
  10. News shocks and learning-by-doing
  11. Capacity utilization and the effects of energy price increases in Japan
  12. Small-scale New Keynesian model features that can reproduce lead, lag and persistence patterns
  13. Optimal policy and Taylor rule cross-checking under parameter uncertainty
  14. The impact of American and British involvement in Afghanistan and Iraq on health spending, military spending and economic growth
  15. Why does natural resource abundance not always lead to better outcomes? Limited financial development versus political impatience
  16. The skill bias of technological change and the evolution of the skill premium in the US since 1970
  17. Aggregate impacts of recent US natural gas trends
  18. Organizational learning and optimal fiscal and monetary policy
  19. Industrial specialization, financial integration and international consumption risk sharing
  20. Leverage, investment, and optimal monetary policy
  21. Public debt in an OLG model with imperfect competition: long-run effects of austerity programs and changes in the growth rate
  22. Temporal aggregation and estimated monetary policy rules
  23. International transmission of productivity shocks with nonzero net foreign debt
  24. Did the euro change the effect of fundamentals on growth and uncertainty?
  25. Topics
  26. Real factor prices and factor-augmenting technical change
  27. Monetary policy and TIPS yields before the crisis
Downloaded on 2.11.2025 from https://www.degruyterbrill.com/document/doi/10.1515/bejm-2012-0005/html
Scroll to top button