Abstract
We use longitudinal data from a representative sample of the UK and compare self-reported mental health, as measured by the GHQ-12 score, at three timepoints (2017–2019, April 2020 and March 2021), for the whole sample and by sex and ethnicity. Out of the 14,382 individuals interviewed in 2017–2019 and April 2020, 10,445 were interviewed again in March 2021. The mean GHQ-12 in April 2020 is 12.37 [95% CI: 12.22, 12.52] and in March 2021 is 12.36 [95% CI: 12.21, 12.51], above that of 2017–2019: 11.13 [95% CI: 10.99, 11.26]. We do not find evidence that the level of mental health goes back to pre-pandemic levels. In terms of inequalities, while the gender gap (mean difference between women and men) in mental health deterioration among White British is closing, there is no clear evidence that the ethnic gap (mean difference between ethnic minorities and White British) among men is changing.
1 Introduction
The COVID-19 pandemic has contributed to a deterioration of the mental health across different populations, with some demographic groups more affected than others (Altindag, Erten, and Keskin 2021, provide a comprehensive review and a credible causal analysis of the impact of lockdowns on mental health in Turkey exploiting a regression discontinuity design). In the UK, women (Banks and Xu 2020; Daly, Sutin, and Robinson 2020; Pierce et al. 2020) and individuals from ethnic minorities (Proto and Quintana-Domeque 2021) have experienced higher increases in mental distress. In this letter we investigate whether the deterioration in mental health has been persistent. We use longitudinal data from a representative sample of the UK and compare self-reported mental health at three timepoints (2017–2019, April 2020 and March 2021), for the whole sample and by sex and ethnicity.
2 Methods
Participants were from Understanding Society (Wave 9, April 2020 COVID-19 Study, and March 2021 COVID-19 Study), the UK Household Longitudinal Study (UKHLS), which is a large, national, probability-based survey. Understanding Society is an initiative funded by the Economic and Social Research Council and various Government Departments, with scientific leadership by the Institute for Social and Economic Research, University of Essex, and survey delivery by NatCen Social Research and Kantar Public. The research data are distributed by the UK Data Service (University of Essex 2020a, 2020b). Researchers who would like to use Understanding Society need to register with the UK Data Service before being allowed to apply for or download datasets. More information: https://www.understandingsociety.ac.uk/documentation/access-data.
Sampling design features (i.e., weighting and adjusting standard errors for primary sampling units and strata) are accounted for by using the svyset command in Stata (Understanding Society, 2021): svyset psu [pweight= indinui_xw_all], strata(strata) singleunit(centered).
Our main outcome of interest is the GHQ-12 score, a well-known self-report instrument for evaluating mental health, which goes from 0 (minimum) to 36 (maximum mental distress) (Goldberg and Williams 1988). We focus on participants interviewed in three waves: 2017–2019, April 2020 and March 2021. Out of the 14,382 individuals interviewed in 2017–2019 and April 2020, 10,445 were interviewed again in March 2021.
First, we calculate the attrition rate between April 2020 and March 2021 and investigate its correlates. Second, we calculate the mean of the GHQ-12 score, for the whole sample, by sex (men and women), by ethnicity (ethnic minorities and White British), and by sex-and-ethnicity over time (2017–2019, April 2020, March 2021). Third, we run OLS regressions of the changes in mental health from 2017 to 2019 to April 2020, and from 2017 to 2019 to March 2021, on sex, ethnicity and their interaction, without and with control variables. Analyses were conducted with Stata (version 17). Inference was conducted using 2-sided p-values and p < 0.05.
The Ethics Committee approved all data collection: https://www.understandingsociety.ac.uk/documentation/mainstage/user-guides/main-survey-user-guide/ethics.
3 Results
The attrition rate between April 2020 and March 2021 was 25.7%. Table 1 investigates correlates of attrition after running a regression of attrition on a sex indicator, ethnicity indicator, age indicators, the GHQ-12 score and net personal income. The table reports the coefficients (and the 95% confidence interval) for the OLS regression and Odds Ratios (OR) for the Logistic regression, and shows that men (n = 6096), ethnic minorities (n = 1299), young people and individuals with a higher GHQ-12 score are more likely to be attritors.
OLS (1) and Logistic (2) regressions of attrition from April 2020 to March 2021.
| Dependent variable | ||
|---|---|---|
| (1) | (2) | |
| Attrition | Attrition | |
| Female (1 if woman, 0 if man) | −0.028*** | 0.860*** |
| (−0.045, −0.011) | (0.784, 0.944) | |
| BAME (1 if ethnic minority, 0 if White British) | 0.106*** | 1.658*** |
| (0.072, 0.141) | (1.422, 1.933) | |
| Age < 25 (1 if age < 25, 0 else) | 0.228*** | 3.052*** |
| (0.179, 0.276) | (2.467, 3.775) | |
| Age 25–34 (1 if age 25–34, 0 else) | 0.161*** | 2.302*** |
| (0.121, 0.201) | (1.906, 2.780) | |
| Age 35–44 (1 if age 35–44, 0 else) | 0.107*** | 1.796*** |
| (0.077, 0.137) | (1.533, 2.103) | |
| Age 45–54 (1 if age 45–54, 0 else) | 0.066*** | 1.466*** |
| (0.040, 0.091) | (1.271, 1.691) | |
| Age 55–64 (1 if age 55–64, 0 else) | −0.003 | 0.987 |
| (−0.025, 0.019) | (0.854, 1.141) | |
| GHQ-12 (0–36) | 0.002*** | 1.013*** |
| (0.001, 0.004) | (1.004, 1.022) | |
| Net personal income (£1K) | 0.001 | 1.007 |
| (−0.004, 0.006) | (0.980, 1.035) | |
| Observations | 14,382 | 14,382 |
| R-squared | 0.035 | – |
-
Attrition = 0 if individual is observed in 2017–2019, April 2020 and March 2021; = 1 if individual observed in 2017–2019 and April 2020 but not in March 2021. Each regression includes Age indicators, Female indicator, BAME indicator, GHQ-12 score, Net personal income (£1K) and a constant term. 95% confidence intervals in parentheses. ***p < 0.01.
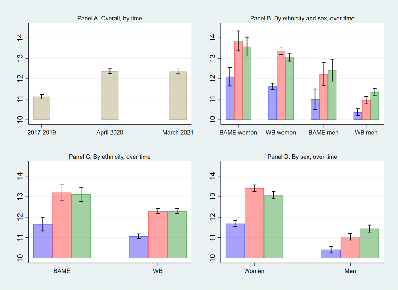
The mean GHQ-12 in April 2020 is 12.37 [95% CI: 12.22, 12.52] and in March 2021 is 12.36 [95% CI: 12.21, 12.51], above that of 2017–2019: 11.13 [95% CI: 10.99, 11.26] (Figure 1, panel A). In general, the means by sex and ethnicity are similar in April 2020 and March 2021 (Figure 1, panels B–D). However, among White British men (Figure 1, panel B) there seems to be a slight increase in the average GHQ-12 score (confidence intervals do not overlap) over time, so that if anything there is a slight deterioration in mental health among them over time, which is reflected in the slight increase in the average GHQ-12 score among men in general (Figure 1, panel D). Figure 2 displays the regression coefficients (see Table A1 in the Appendix) capturing the average change in mental health gaps by sex (gender gap) and ethnicity without (Figure 2, panel A) and with controls (Figure 2, panel B). Both the gender gap (mean difference between women and men) among White British and the ethnic gap (mean difference between ethnic minorities and White British) among men increased between 2017 and 2019 and April 2020 (Figure 2, panel B) (Proto and Quintana-Domeque 2021). The increase in the mental health gender gap documented one year ago is not temporary, but persists in March 2021 (Figure 2, panels A and B). The point estimates of the ethnic gap among men are similar over time, suggesting a persistent deterioration, albeit the ethnic gap between 2017 and 2019 and March 2021 is not statistically significant (Figure 2, panels A and B). Finally, a similar picture emerges when focusing on either sex or ethnicity. The bottom panels (without controls, Figure 2, panel C; with controls, Figure 2, panel D) reveal that the change in the mental health gender gap has decreased (regardless of ethnicity), while that in the mental health ethnic gap has remained virtually unchanged (regardless of sex).

Mental health in the UK in 2017–2019, April 2020 and March 2021: Overall and by ethnicity and sex.
Secondary data come from UKHLS. Same respondents interviewed in 2017–2019, April 2020 and March 2021. The panels display the mean GHQ-12 score (0–36), overall (panel A) and by ethnicity and sex (panel B), by ethnicity (panel C), and by sex (panel D), over time (blue: 2017–2019, red: April 2020, green: March 2021). BAME (Black, Asian and other ethnic minorities), WB (White British). Each vertical line denotes the corresponding 95% confidence interval.

Changes in mental health gaps by ethnicity and sex.
Secondary data come from UKHLS. Same respondents interviewed in 2017–2019, April 2020 and March 2021. The panels display regression coefficients (Supplement) capturing the mean change in the GHQ-12 score (−36, 36) between 2017 and 2019 and April 2020, and between 2017 and 2019 and March 2021, without (panel A) and with controls (panel B). Panels C (without controls) and D (with controls) focuses on the ethnicity and sex dimension, separately (i.e., the regressions for panels C and D includes either sex or ethnicity, but not both). The controls are described in the Supplement. Each vertical line denotes the corresponding 95% confidence interval.
4 Discussion
In contrast to a recent study using Understanding Society, which combines data from the pre-pandemic and an earlier pandemic period (April to October 2020) (Pierce et al. 2021), we do not find evidence that the level of mental health goes back to pre-pandemic levels. Two reasons might explain this discrepancy of the findings between the two studies. First, we compare the deterioration in mental health between 2017 and 2019 and late April 2020 with that occurring between 2017 and 2019 and late March 2021, investigating a longer period of time than previous research (the last period of observation in Pierce et al. (2021) is October 2020). Second, we compare similar seasons (both before summer), while previous research compared different seasons (before vs. after summer 2020).
In terms of inequalities, while the gender gap in mental health deterioration among White British is closing, there is no clear evidence that the ethnic gap among men is changing. Study limitations include: relying on self-reported mental health measures, substantial non-random attrition (which is higher among young individuals, men, ethnic minorities, and those with higher GHQ-12 score), and small sample size of individuals from ethnic minorities.
Acknowledgments
This letter uses data from Understanding Society (Wave 9, April 2020 COVID-19 Study, and March 2021 COVID-19 Study). Understanding Society is an initiative funded by the Economic and Social Research Council and various Government Departments, with scientific leadership by the Institute for Social and Economic Research, University of Essex, and survey delivery by NatCen Social Research and Kantar Public. We thank an anonymous reviewer for their comments.
-
Conflict of interest statement: The authors state that there is no conflict of interest.
-
Data and code availability: The research data are distributed by the UK Data Service. Researchers who would like to use Understanding Society need to register with the UK Data Service before being allowed to apply for or download datasets. More information: https://www.understandingsociety.ac.uk/documentation/access-data.
The code to replicate the analysis in this letter is publicly available from the Harvard Dataverse repository: https://doi.org/10.7910/DVN/YUOWJE.
-
Disclaimer: The content of this letter is solely the responsibility of the authors and does not necessarily represent the official views of the institutions they are affiliated with. All errors are ours.
To estimate the changes in mental health by sex and ethnicity, we perform two types of regressions, without controls and with controls, following a previous published study (Proto and Quintana-Domeque 2021). The list of control variables is defined in that previous study. Figure 2 (panels A and B) in the letter plots the estimated coefficients on the sex (women) and ethnicity (BAME) variables from Table A1, which reports the coefficients (and the 95% confidence interval) for the OLS regressions. For panels C and D in Figure 2, we re-run the regressions in Table A1 with either sex (Female) or ethnicity (BAME), but not both, and without (columns 1 and 2) or with (columns 3 and 4) controls.
OLS regressions of the difference in GHQ-12 between 2017 and 2019 and April 2020/March 2021.
| Dependent variable | ||||
|---|---|---|---|---|
| (1) | (2) | (3) | (4) | |
| Difference in GHQ-12 | Difference in GHQ-12 | Difference in GHQ-12 | Difference in GHQ-12 | |
| between 2017 and 2019 | between 2017 and 2019 | between 2017 and 2019 | between 2017 and 2019 | |
| and April 2020 | and March 2021 | and April 2020 | and March 2021 | |
| Female | 1.154*** | 0.420*** | 1.211*** | 0.483*** |
| (0.895, 1.413) | (0.148, 0.691) | (0.923, 1.499) | (0.176, 0.791) | |
| BAME | 0.628 | 0.435 | 0.861** | 0.543 |
| (−0.093, 1.349) | (−0.310, 1.181) | (0.030, 1.692) | (−0.287, 1.374) | |
| Female × BAME | −0.694 | −0.371 | −0.937 | −0.676 |
| (−1.811, 0.424) | (−1.364, 0.621) | (−2.128, 0.254) | (−1.726, 0.375) | |
| Age ≤ 24 | 2.355*** | 1.594** | ||
| (0.930, 3.780) | (0.370, 2.819) | |||
| Age 25-34 | 1.804*** | 1.350*** | ||
| (1.025, 2.583) | (0.574, 2.127) | |||
| Age 35-44 | 0.774** | 0.964*** | ||
| (0.024, 1.524) | (0.294, 1.633) | |||
| Age 45-54 | 0.145 | 0.541 | ||
| (−0.419, 0.710) | (−0.015, 1.097) | |||
| Age 55-64 | 0.289 | 0.235 | ||
| (−0.182, 0.759) | (−0.220, 0.691) | |||
| Living with a partner | −0.176 | −0.244 | ||
| (−0.603, 0.250) | (−0.649, 0.161) | |||
| January | 0.085 | 0.113 | ||
| (−0.651, 0.821) | (−0.641, 0.867) | |||
| February | 0.057 | −0.081 | ||
| (−0.768, 0.882) | (−0.893, 0.730) | |||
| March | −0.075 | −0.121 | ||
| (−0.849, 0.698) | (−0.888, 0.647) | |||
| May | 0.239 | −0.068 | ||
| (−0.535, 1.014) | (−0.842, 0.706) | |||
| June | 0.149 | 0.425 | ||
| (−0.626, 0.923) | (−0.353, 1.203) | |||
| July | 0.222 | 0.104 | ||
| (−0.540, 0.984) | (−0.663, 0.872) | |||
| August | 0.235 | 0.434 | ||
| (−0.471, 0.940) | (−0.334, 1.202) | |||
| September | 0.762 | 0.625 | ||
| (−0.014, 1.538) | (−0.182, 1.432) | |||
| October | −0.100 | 0.004 | ||
| (−0.890, 0.690) | (−0.793, 0.802) | |||
| November | −0.158 | 0.029 | ||
| (−0.930, 0.615) | (−0.725, 0.782) | |||
| December | −0.281 | −0.506 | ||
| (−1.050, 0.488) | (−1.283, 0.271) | |||
| Face-to-face | 0.292 | 0.439** | ||
| (−0.052, 0.636) | (0.090, 0.789) | |||
| Household size | −0.003 | 0.025 | ||
| (−0.166, 0.159) | (−0.132, 0.182) | |||
| London | 0.447 | 0.479 | ||
| (−0.255, 1.150) | (−0.123, 1.080) | |||
| Wales | 0.300 | 0.147 | ||
| (−0.444, 1.044) | (−0.656, 0.951) | |||
| Scotland | −0.071 | −0.174 | ||
| (−0.645, 0.504) | (−0.835, 0.487) | |||
| Northern Ireland | −0.013 | −0.262 | ||
| (−1.328, 1.302) | (−1.627, 1.103) | |||
| BA or higher | 0.005 | −0.136 | ||
| (−0.441, 0.450) | (−0.551, 0.280) | |||
| Diploma or equivalent | −0.076 | −0.413 | ||
| (−0.643, 0.490) | (−0.966, 0.140) | |||
| A Level or equivalent | −0.067 | −0.272 | ||
| (−0.641, 0.506) | (−0.866, 0.323) | |||
| GCSE or equivalent | −0.170 | −0.243 | ||
| (−0.620, 0.280) | (−0.686, 0.200) | |||
| Self-employed | 0.513 | 0.427 | ||
| (−0.120, 1.146) | (−0.101, 0.956) | |||
| Unemployed | −2.085*** | −1.923*** | ||
| (−3.240, −0.931) | (−3.185, −0.660) | |||
| Retired | 0.923*** | 1.185*** | ||
| (0.458, 1.388) | (0.742, 1.628) | |||
| Family care or home | −0.650 | −1.258** | ||
| (−1.833, 0.533) | (−2.354, −0.163) | |||
| Student | −0.982 | −0.860 | ||
| (−2.482, 0.517) | (−2.215, − 0.495) | |||
| Disabled | −2.756*** | −1.970*** | ||
| (−4.065, −1.447) | (−3.346, −0.595) | |||
| Other | 1.045 | 0.688 | ||
| (−0.756, 2.847) | (−1.080, 2.456) | |||
| Net personal income (£1K) | 0.026 | 0.015 | ||
| (−0.076, 0.129) | (−0.075, 0.104) | |||
| Health conditions | −0.128 | 0.101 | ||
| (−0.467, 0.212) | (−0.214, 0.416) | |||
| Observations | 10,445 | 10,445 | 9045 | 9045 |
| R-squared | 0.009 | 0.001 | 0.033 | 0.019 |
-
95% confidence intervals in parentheses. ***p < 0.01, **p < 0.05.
References
Altindag, O., B. Erten, and P. Keskin. 2021. “Mental Health Costs of Lockdowns: Evidence from Age-Specific Curfews in Turkey.” American Economic Journal: Applied Economics (forthcoming).10.2139/ssrn.3828328Search in Google Scholar
Banks, J., and X. Xu. 2020. “The Mental Health Effects of the First Two Months of Lockdown during the COVID-19 Pandemic in the UK.” Fiscal Studies 41: 685–708. (Special Issue: The COVID-19 Economic Crisis, September). https://doi.org/10.1111/1475-5890.12239.Search in Google Scholar
Daly, M., A. Sutin, and E. Robinson. 2020. “Longitudinal Changes in Mental Health and the COVID-19 Pandemic: Evidence from the UK Household Longitudinal Study.” Psychological Medicine: 1–10. https://doi.org/10.1017/S0033291720004432.Search in Google Scholar
Goldberg, D., and P. Williams. 1988. A User’s Guide to the General Health Questionnaire. Windsor: NFER-Nelson.Search in Google Scholar
Pierce, M., H. Hope, T. Ford, S. Hatch, M. Hotopf, A. John, E. Kontopantelis, R. Webb, S. Wessely, S. McManus, and K. Abel. 2020. “Mental Health before and during the COVID-19 Pandemic: a Longitudinal Probability Sample Survey of the UK Population.” The Lancet Psychiatry 7 (10): 883–92. https://doi.org/10.1016/S2215-0366(20)30308-4.Search in Google Scholar
Pierce, M., S. McManus, H. Hope, M. Hotopf, T. Ford, S. Hatch, M. Hotopf, A. John, E. Kontopantelis, R. Webb, S. Wessely, and K. Abel. 2021. “Mental Health Responses to the COVID-19 Pandemic: a Latent Class Trajectory Analysis Using Longitudinal UK Data.” The Lancet Psychiatry 8 (7): 610–9. https://doi.org/10.1016/S2215-0366(21)00151-6.Search in Google Scholar
Proto, E., and C. Quintana-Domeque. 2021. “COVID-19 and Mental Health Deterioration by Ethnicity and Gender in the UK.” PLoS One 16 (1): e0244419. https://doi.org/10.1371/journal.pone.0244419.Search in Google Scholar
Understanding Society COVID-19. 2021. USER GUIDE Version 8.0. Also available at https://www.understandingsociety.ac.uk/sites/default/files/downloads/documentation/covid-19/user-guides/covid-19-user-guide.pdf.Search in Google Scholar
University of Essex, Institute for Social and Economic Research, NatCen Social Research, and Kantar Public. 2020a. Understanding Society: Waves 1-10, 2009-2019 and Harmonised BHPS: Waves 1-18, 1991-2009. [data collection], 13th ed. UK Data Service. https://doi.org/10.5255/UKDA-SN-6614-14 (SN: 6614).Search in Google Scholar
University of Essex, and Institute for Social and Economic Research. 2020b. Understanding Society: COVID-19 Study, 2020. [data collection], 4th ed. UK Data Service. https://doi.org/10.5255/UKDA‐SN‐8644‐4 (SN: 8644).Search in Google Scholar
© 2022 Climent Quintana-Domeque et al., published by De Gruyter, Berlin/Boston
This work is licensed under the Creative Commons Attribution 4.0 International License.
Articles in the same Issue
- Frontmatter
- Research Articles
- Still the Lands of Equality? Heterogeneity of Income Composition in the Nordics, 1975–2016
- Citizen Carbon Fund: Harmonized International Carbon Taxes and Transfers to Increase Treaty Size
- Family Financial Socialization and Wealth Decisions
- Childcare, Parental Behavior and Well-Being during Childhood
- Letters
- On the Persistence of Mental Health Deterioration during the COVID-19 Pandemic by Sex and Ethnicity in the UK: Evidence from Understanding Society
- Residential-Based Discrimination in the Labor Market
- Familiarity and Race Bias: Evidence from a Television Competition (and the Case for More Women Judges?)
- Who Lost the Most? Mathematics Achievement during the COVID-19 Pandemic
Articles in the same Issue
- Frontmatter
- Research Articles
- Still the Lands of Equality? Heterogeneity of Income Composition in the Nordics, 1975–2016
- Citizen Carbon Fund: Harmonized International Carbon Taxes and Transfers to Increase Treaty Size
- Family Financial Socialization and Wealth Decisions
- Childcare, Parental Behavior and Well-Being during Childhood
- Letters
- On the Persistence of Mental Health Deterioration during the COVID-19 Pandemic by Sex and Ethnicity in the UK: Evidence from Understanding Society
- Residential-Based Discrimination in the Labor Market
- Familiarity and Race Bias: Evidence from a Television Competition (and the Case for More Women Judges?)
- Who Lost the Most? Mathematics Achievement during the COVID-19 Pandemic