Abstract
To ensure the safety of the power supply for an in-orbit satellite, it is of great significance to accurately predict the end-of-discharge time of lithium-ion batteries for making a reasonable flight plan. Constrained by development time and experimental environment, it is usually difficult to obtain many full discharge voltage curves of satellite batteries from ground experiments as historical data. Because of insufficient data, the prediction accuracy of the single time series prediction method is low. To solve this problem, this paper takes the voltage of the discharge process as the time series and uses the evidential reasoning rule algorithm to fuse the outputs of three typical prediction models to improve the prediction accuracy. The result can be expressed as a form of belief degree distribution with the ability to express uncertainty. Using the NASA battery dataset, the effectiveness of the proposed method is verified, and the end-of-discharge of an in-orbit satellite battery is predicted by the telemetry data.
1 Introduction
In recent years, with the development of energy storage technology, the lithium-ion battery has gradually replaced the nickel-hydrogen battery due to its advantages of high energy density, no memory, and long cycle life, and is widely used in the power subsystem of satellites at various orbit heights (Wei et al. 2013, Luo and Luo 2017). As an important part of the power subsystem, the battery mainly provides power for satellites when solar panels cannot get sunlight. Ground equipment such as mobile phones and cars will not cause failure when their batteries are fully discharged. In contrast, satellites operate in space and require uninterrupted electrical energy for tasks such as attitude maintenance, temperature maintenance, and information transmission. Once the power supply stops, the satellite cannot maintain the normal operation. If the power supply cannot be restored in a short time, it may lead to the failure of the mission. Therefore, in order to ensure that the satellite battery is in a normal state, it is of great significance to timely and accurately predict the end time of discharge (end-of-discharge, EOD).
EOD refers to the duration of constant current discharge of a battery from a fully charged state to cut-off voltage (Saha and Goebel 2009, Chen et al. 2019). The cut-off voltage generally takes 70 or 80% of the rated voltage or full charge voltage of the battery. In this paper, 80% of the full charge voltage is taken as the cut-off voltage. The prediction of EOD generally finds the law of voltage change from the known full discharge voltage curve. Then, a multi-step prediction of the partial discharge voltage sequence is performed. Finally, the time corresponding to the voltage drop to the cut-off voltage is obtained.
From a method point of view, remaining useful life (RUL) and remaining dischargeable time (RDT), like EOD, are essential to study the problem of time series prediction and find the moment when the predicted value reaches the critical value. Therefore, the research methodologies on them can benefit from one another. At present, the research studies in this area mainly include methods based on autoregressive integrated moving average (ARIMA), equivalent circuits model (ECM), and recurrent neural networks (RNN).
ARIMA is a common time series prediction model; due to its simple structure, strong flexibility, and accuracy in processing various time series (Swaraj et al. 2021), it is widely used in many fields such as stock trend forecasting, weather forecasting, etc. In terms of the lithium-ion battery, ARIMA was used to predict the RUL of the battery, and the results showed that the model had high prediction accuracy in the short term (Tao and Li 2017). Considering the advantages of the PF model in long-term forecasting, a forecasting framework based on ARIMA-PF was proposed, where ARIMA was used for short-term forecasting and PF was used for long-term forecasting (Dou et al. 2013). In view of the capacity recovery phenomenon of the lithium-ion battery in use, Zhou and Huang (2016) used an empirical model to decouple the overall trend of battery aging and capacity recovery trend, used different ARIMA models to predict, and then added the results (Zhou and Huang 2016). Kim et al. (2022) considered external factors affecting battery degradation and used the ARIMAX model with external variables to predict battery SOH.
ECM-based method is based on the equivalent circuit of the battery, with circuit parameters such as resistance and capacitance or SOC as state variables and voltage as observation to establish state-space equations. Then, the model parameters are determined by filtering, and the relationship between voltage and time is obtained. Dong et al. established a simplified linear equivalent circuit model and used the RLS-UKF method to estimate the model parameters and calculate SOC. The future current was predicted by the wavelet transform method, and the RDT was predicted based on the estimated value of SOC (Dong et al. 2017). According to the discharge curve of the battery, Saha and Goebel decomposed battery voltage drop into three parts: self-discharge voltage drop, reactant consumption pressure drop, and transfer internal resistance pressure drop and proposed a double exponential model. The model parameters were estimated by particle filtering (PF), and then the EOD pdf could be calculated (Saha and Goebel 2009). Pola et al. proposed an empirical model with the discharge current as the input, the terminal voltage as the output, and the SOC as the state. A 2-state Markov chain was used to predict the current in the future, and the PF method was used to predict voltage, and then the probability distribution of EOD was obtained (Pola et al. 2015). Chen et al. proposed a framework for RDT prediction based on SOC estimation. According to the relationship between the OCV–SOC curve and the relationship between OCV and terminal voltage, a state-space equation was established. The PF algorithm was used to estimate the parameters to estimate SOC from the terminal voltage. Then, the change of SOC was estimated by predicting the change of voltage. Finally, the relationship between RDT and SOC wa obtained (Chen et al. 2019). Aiming at the problem that the computational cost of PF is relatively large, Wang et al. adopted the UPF method to speed up the convergence speed. Based on historical data, an iterative method was used to predict future current. By comparing the predicted current under different forgetting factors, the optimal parameters of the RDT prediction model were determined (Wang and Chen 2020).
RNN is a deep learning neural network. Because the structure contains hidden states and can capture historical information in the sequence, it is especially suitable for dealing with time series forecasting problems (Huang et al. 2022). Long short-term memory (LSTM) and gate recurrent unit (GRU) networks are the most common RNN networks. Traditional methods are unsatisfactory in the long-term prediction of battery capacity. In this regard, Zhang et al. adopted the LSTM network to learn the long-term dependencies of the capacity degradation of lithium-ion batteries and used the dropout technique to prevent the network from overfitting. Through multiple sets of experiments, it was verified that the method can predict RUL more accurately (Zhang et al. 2018). Li et al. improved the LSTM network by coupling the input and forget gates through a fixed connection, thereby realizing the simultaneous determination of old information and new data. Experiments on the NASA battery dataset showed that the new model had better accuracy in RUL prediction (Li et al. 2020). Li et al. used the empirical mode decomposition algorithm to decompose the battery capacity data into the low-frequency part and the high-frequency part and used the Elman network and the LSTM network for prediction, respectively, then integrated the prediction results to achieve RUL prediction (Li et al. 2019).
The method based on ARIMA is simple to calculate and easy to implement, but the long-term prediction effect is not good. The ECM-based method often uses empirical models, which are difficult to fully reflect the complex electrochemical reaction inside the battery. In addition, the choice of the initial state value and noise variance also have a great impact on the prediction results. RNN-based methods are purely data driven and often require a large amount of training data to obtain better accuracy, and the selection of hyperparameters requires specific skills (Cui et al. 2021, Danilov and Karpov 2018, Boudreaux 2017). Generally, using a single method has limited prediction accuracy, and the robustness is not strong. In addition, due to the short development cycle, different test objectives, and confidentiality requirements, the available historical data on satellite batteries are relatively scarce. In the absence of a large amount of data and a clear mechanism, it is difficult to completely capture the changes of the time series by using a single method and produce a satisfactory prediction effect. In other words, these predictive models are all weakly supervised models. In the field of machine learning, the ensemble learning method has been proved to be able to solve this problem (Cai et al. 2017, Xu and Yang 2018). By effectively combining multiple weakly supervised models, the output errors of each model may cancel out, so that the generalization ability and accuracy are improved, and a strongly supervised model is formed. Inspired by this idea, this paper proposes an EOD prediction framework for satellite batteries. Based on three common time series prediction models, the prediction results are fused by the evidential reasoning rule (ER rule).
For satellite batteries, only a small number of full discharge voltage curves are available as historical data. In view of this situation, this paper adopts the time series prediction method and uses historical data and a partial discharge voltage curve to predict the EOD of the battery. The main work of this paper includes: (i) For the problem of low accuracy of a single prediction method, a fusion method based on the evidential reasoning rule is proposed. (ii) The PF model is improved in view of the situation that the prediction result may be opposite to the voltage drop direction. (iii) The effectiveness of the proposed method is verified by using NASA battery datasets and in-orbit satellite telemetry data.
The outline of this paper is organized as follows. In Section 2, three common prediction models are briefly introduced at first, and then the framework of the fusion model is proposed. Section 3 validates the proposed method through two experiments. Finally, the conclusions and the contributions of this paper are given in Section 4.
2 Methodology
This section briefly introduces three typical time series prediction methods and the ER rule algorithm. On this basis, a prediction framework based on uncertain information fusion is proposed, and the algorithm steps are given.
2.1 Improved particle filter (IPF)
PF is based on Bayesian filtering and Monte Carlo simulation. The core idea is to randomly extract a large number of particles to approximate the probability distribution of the random variables of the system and calculate the expectation of the variable by the weighted average method (Feng et al. 2009). PF has the advantages of an unrestricted noise model and can deal with nonlinear systems, so it is widely used in target tracking, image processing, battery RUL estimation, and other fields (Miao et al. 2013).
Before applying the PF method, the state-space equations of the system need to be determined. According to the battery discharge mechanism and the shape of the discharge voltage curve, many empirical models have been established (Saha and Goebel 2009, He et al. 2011), and the most commonly used one is as follows:
where α i represents the internal states of the battery, α 1, α 2 are related to battery self-discharge, α 3, α 4 are related to reactant depletion (Saha and Goebel, 2009). ω i and v are independent zero-mean Gaussian noises. From a geometrical point of view, the observation equation can be seen as a superposition of two exponential curves, as shown in Figure 1.

Geometry of the double exponential model.
Without loss of generality, assume that the upper and lower curves are represented by the first and second parts of Eq. (1), respectively, then the parameters need to satisfy
In practical applications, because the state transition equation contains Gaussian noises, when the states are close to 0, the signs of them may be changed at the next moment, which would change the shape of the curve and cause the prediction result to be opposite to the expected direction, as shown in Figure 2.

Possible prediction result of original PF.
To solve this problem, a constraint is applied to ensure that the particles are in the correct range after resampling. When the particles do not satisfy Eq. (2), they will be discarded and resampling continues to be executed until all the particles satisfy the constraint.
The IPF prediction process is shown as follows:
Step 1: Initialization. Random sampling near the initial values of the states to generate particles at time 0. These particles are denoted by
Step 2: Prediction. Predict the voltage at the next moment according to Eq. (1).
Step 3: Weights update. According to Eqs. (3) and (4), update and normalize particle weights based on measurements, where z
k
denotes the terminal voltage at time k, p(·) represents the prior probability distribution, q(·) represents the posterior probability distribution, and
Step 4: Resampling. According to the normalized weights, multinomial resampling is used to generate new particles. Judge whether the new particles satisfy the constraint shown in Eq. (2). If not, re-execute the resampling process.
Step 5: Output. Calculate EOD based on the last updated particles.
2.2 Autoregressive integrated moving average (ARIMA)
ARIMA was proposed by Box and Jenkins in the 1970s. Its core idea is to use past values and prior residuals of the time series to predict future values. The model is often expressed as ARIMA(p,d,q) (Fan et al. 2021), and its formula can be described as follows:
Consider
where x t , y t denote the original time series and the transformed stationary time series, respectively. L is the lag operator. d is the differencing degree. p is the order of the AR part.ϕ i are the parameters of the AR part. q is the order of the MA part. θ i is the parameter of the MA part. ε t represents a zero-mean white noise sequence.
The process for predicting using ARIMA is shown as follows:
Step 1: Stationarity judgment and processing of time series. The augmented Dickey–Fuller test is used to judge whether the sequence is a stationary sequence. If not, then process it to make it a stationary sequence.
Step 2: Determining model order. p and q are selected according to the truncation and tailing properties of the partial autocorrelation function and the autocorrelation function (ACF), respectively. Since the selection of parameters is subject to a certain degree, multiple sets of p and q values are usually taken as alternatives.
Step 3: Optimal model parameters selection. Determine the optimal p, q according to the Akaike information criterion or Bayesian information criterion.
Step 4: Model testing and prediction. Check whether the residual sequence is white noise. If not, the model needs to be modified, and if so, predictions can be made.
2.3 Gate recurrent unit
GRU is a kind of RNN. It can learn the correlation existing in the sequence through the gate structure, so as to realize the prediction of time series. Compared with LSTM, each unit of GRU contains only two gates, which has a simpler structure and higher computational efficiency, and can achieve the same effect as LSTM (Chen et al. 2021, Wei et al. 2021).
GRU is generally composed of three layers: input layer, hidden state layer, and output layer, and its structure is shown in Figure 3, where X
t
is the input and Y
t
is the output. R
t
denotes the reset gate, which is used to capture the short-term characteristics of the sequence and decide how to retain the information in the hidden state of the previous moment. Z
t
denotes the update gate, which captures long-term features and controls how the hidden state is updated by the current input.

GRU structure diagram.
The forward propagation process of the GRU is as follows:
When applying GRU, it is necessary to determine in advance that the current point is related to how many previous points. Let this value be k, it is a hyperparameter that usually requires debugging. In this paper, the value range of k is first determined based on the p-value of the ARIMA model,
2.4 ER rule-based fusion
ER rule is an information fusion algorithm, which was proposed by Yang et al. (2013). By introducing evidence weight and reliability, it unifies various uncertainties into a belief degree framework, which can effectively integrate qualitative information and quantitative information (Zhou et al. 2021, Tang et al. 2020). Because of its strong advantages in dealing with the uncertainty of information, (Chen et al. 2020), ER algorithms have been successfully applied in many fields. For example, Zhou et al. used the ER rule to predict the life of aviation equipment by integrating asynchronous multi-source information and achieved good results (Zhou et al. 2015). Zhu et al. proposed an ER rule algorithm under a two-dimensional progressive framework to fuse stock rating information and improved the accuracy of the fusion results (Zhu et al. 2016). Hu et al. proposed a system reliability prediction technology based on the ER rule to predict the reliability of the turbocharged engine system and improved the prediction performance (Hu et al. 2010). Considering the uncertainty of the prediction results of the weakly supervised model, this paper uses the ER rule to fuse the prediction results of the above three models.
The steps of applying the ER rule for information fusion are as follows:
Step 1: Evidence weight and reliability calculation. The weight reflects the relative importance of evidence. For several prediction models, it can be considered that those with high prediction accuracy are relatively important, and those with poor prediction accuracy are relatively unimportant. The formula for calculating the weight of the ith evidence
The reliability is a description of the uncertainty of the evidence itself. If the uncertainty of the model output is small, it can be considered that its reliability is relatively large; otherwise, it is considered that its reliability is relatively small. The formula for calculating the reliability of the ith evidence
Step 2: Information conversion. Before fusion, the information needs to be transformed into a unified belief degree framework. For quantitative information, define M reference values, let
The transformed conclusion is in the form of
Step 3: Information fusion. The fusion formula of the ER rule is shown as Eq. (15), where L is the number of evidence,
2.5 Fusion framework and algorithms
The prediction result of IPF is the probability density function/distribution (pdf) of EOD, which can express uncertainty. However, for ARIMA and GRU, when the model parameters are determined, a fixed input will produce a fixed output. To make the outputs of ARIMA and GRU express certain uncertainty, S models with the same structure are selected to be trained and used for prediction, so that the output results are in the form of pdf. If S is too small, the result is not statistically significant, and if S is too large, the calculation is time-consuming. Considering comprehensively, S is chosen to be 20 in this paper.
The fusion object of the ER rule is the information in the form of belief degree distribution. Before fusion, the prediction results of each model in pdf form need to be converted. In this paper, the maximum and minimum values of all prediction results are taken respectively to determine the reference value range and then divided into five equal parts. Counting the number of prediction results of each model falling into each interval, and dividing by the total number of prediction results of each model, the prediction results in the form of belief degree distribution can be obtained.
Figure 4 is the process flow of the proposed EOD prediction method, and the specific steps are as follows:

Framework of the proposed method.
Step 1: Firstly, curve fitting is performed using historical data, and the parameters of the double exponential equation corresponding to different curves are determined. Next, use the gray correlation method to find the historical curve closest to the current curve and take its corresponding parameter as the initial state value. Apply the method described in Section 2.1 for voltage prediction to obtain the probability distribution of EOD.
Step 2: According to the method described in Section 2.2, the historical data is applied to determine the order of ARIMA. Although the full discharge curves are taken from different stages of battery life, the shapes of the curves are similar, so the model order does not change much. In this paper, the average of the orders determined by different curves is taken as the model order. The other parameters of the model are determined from the data of the current cycle, and multi-step prediction is performed until the voltage drops to the cut-off voltage.
Step 3: The value range of the hyperparameter k of the GRU is determined by the order p of the ARIMA model in Step 2. The training samples are obtained by processing the historical data with different k, and then the optimal value of k is determined by the training results. The trained GRU is used to predict the sequence of the current cycle to get the EOD.
Step 4: Let the prediction results of the three sub-models be three pieces of evidence, calculate the weight and reliability of each piece of evidence by the method described in Section 2.4, and convert the evidence into the form of belief degree distribution.
Step 5: The ER rule algorithm is used to fuse the EOD in the form of belief degree distribution and output the result.
3 Experiment and result analysis
In this section, the proposed model is verified by two experiments. The first experiment uses the NASA battery dataset. Since the discharge process is complete and the true value of EOD can be obtained, the prediction error can be quantitatively calculated. The second experiment uses telemetry data from an in-orbit satellite. Because the discharge process is incomplete, the true value of EOD cannot be obtained, so the predicted result is qualitatively compared with the battery working state.
3.1 NASA battery dataset experiment
The NASA dataset was collected from aging experiments of 18,650 lithium-ion batteries. The charge and discharge protocol were fixed. Discharge started from a fully charged state and at a constant current of 2 A until the voltage dropped to 2.7 V. Charge was first taken with a constant current of 1.5 A until the voltage rose to 4.2 V and then continued in constant voltage mode until the current decreased to 20 mA (Saha and Goebel, 2009). Since the data were not sampled at equal time intervals during the discharge process and cannot be directly used as a time series, so the time interval is set to 25 s, and the discharge curve is resampled by interpolation.
In order to simulate the data that the satellite battery can obtain, the NASA data are preprocessed first. Without loss of generality, let battery #5 simulate battery A, which is used in the ground performance test, select the discharge curve every 30 cycles, and obtain 6 full discharge voltage curves as the historical data. Battery #6 is used to simulate in-orbit satellite battery Aʹ, and the discharge curves of the 20th, 50th, and 120th cycles are selected to represent the discharge state of the initial stage, middle stage, and end stage of the battery’s life, respectively. According to the different discharge duration of satellite batteries in different cycles, the first 50, 70, and 90 data points are selected as partial discharge voltage sequence to be predicted.
Prediction is carried out according to the method described in Section 2.5. Figure 5 shows the belief degree distribution of the prediction results of three sub-models and the proposed model, respectively. Figure 6 shows the comparison between the mean of prediction results and the true value.

Belief degree distribution of each prediction result.

The mean of each prediction result.
In Figure 5, the subgraphs in the same row represent the prediction results of different prediction starting points in the same cycle, and the subgraphs in the same column represent the prediction results of different cycles at the same prediction starting point. It can be seen from Figures 5 and 6:
The prediction results of sub-models show a certain trend. The results of IPF are generally smaller than the true value, the results of ARIMA are generally larger than the true value, and the results of GRU are more balanced around the true value. This may be due to correlations captured from known sequences by different methods are different. Compared with a single method, the belief degree distribution of the fusion result is high in the middle and low on both sides. The closer to the true value, the higher the belief degree, and the farther away from the true value, the lower the belief degree. The overall shape of the distribution is similar to normal distribution.
The prediction accuracy is related to the prediction starting point. The more points are known, the more accurate the prediction results of IPF and GRU are, while the results of ARIMA do not change much. This may be because as the number of known points increases, the input information is more abundant, which makes the IPF and GRU models have a more comprehensive understanding of the correlation between points in the time series. Because the ARIMA model is more suitable for capturing a linear relationship in time series, additional plateau points have little effect on improving the prediction results. Since the ER rule fuses the uncertainties of the three single methods, when the uncertainty of a method is reduced, the fusion results are also improved.
As the number of cycles increases, the prediction error becomes larger. This may be because battery A and battery Aʹ have different aging rates. Because the proposed method mainly uses full discharge voltage curves of battery A for model training, and uses partial discharge voltage curve of Aʹ for prediction, with the increase of cycles, the difference in performance between the two batteries increases, which affects the prediction results.
To quantify the prediction error, mean absolute error (MAE) and mean absolute percentage error (MAPE) are used.
where N is the sampling number of predicted results,
Table 1 shows the MAE/MAPE of the prediction results of each method. It can be seen that compared with a single method, the fusion results have significantly improved both MAE and MAPE. To sum up, the proposed method has a good improvement effect on the problem of limited prediction accuracy and strong uncertainty of a single method caused by insufficient historical data.
MAE/MAPE of each prediction result
| Predicted cycle | Known data points | True EOD (s) | IPF | ARIMA | GRU | Fusion result |
|---|---|---|---|---|---|---|
| Cycle 20 | 50 | 3,225 | 362/0.1122 | 226/0.0701 | 249/0.0772 | 143/0.0443 |
| Cycle 20 | 70 | 3,225 | 170/0.0527 | 202/0.0626 | 207/0.0642 | 72/0.0223 |
| Cycle 20 | 90 | 3,225 | 133/0.0412 | 164/0.0509 | 140/0.0434 | 22/0.0068 |
| Cycle 50 | 50 | 2,700 | 325/0.1204 | 352/0.1304 | 420/0.1556 | 268/0.0993 |
| Cycle 50 | 70 | 2,700 | 174/0.0644 | 327/0.1211 | 244/0.0904 | 172/0.0637 |
| Cycle 50 | 90 | 2,700 | 90/0.0333 | 390/0.1444 | 183/0.0678 | 87/0.0322 |
| Cycle 120 | 50 | 1,475 | 510/0.3458 | 557/0.3776 | 434/0.2942 | 273/0.1851 |
| Cycle 120 | 70 | 1,475 | 370/0.2508 | 616/0.4176 | 307/0.2081 | 210/0.1424 |
| Cycle 120 | 90 | 1,475 | 242/0.1641 | 540/0.3661 | 255/0.1729 | 188/0.1275 |
3.2 Satellite telemetry data experiment
A certain type of satellite was launched in 2016 and operated in the GEO orbit. The historical data of the satellite battery are five full discharge voltage curves from the ground performance test of the same type battery, of which one curve is taken from the initial stage, three curves in the middle, and one curve in the end of the battery life. Up to now, the satellite has experienced 7 earth shadow periods, and the battery has been discharged 322 times. During discharge, the current vibrates only in a small range, which can be approximated as constant current discharge. The discharges are all partial discharges, the longest discharge time is 72 min, and the shortest is 5 min. The sampling interval of satellite telemetry is 0.5 s. Considering that the data changes little in a short period of time, in order to simplify the calculation, resample every 30 s. The proposed method is used to predict the EOD of each cycle of the battery, and the results are shown in Figure 7.

Predicted EOD of each cycle.
As mentioned earlier, the satellite battery cannot be fully discharged, so the true EOD could not be obtained, and only a qualitative analysis of the predicted results can be performed. The red line in Figure 7 is the predicted EOD. It can be seen that with the increase of the number of cycles, it roughly shows a linear decreasing trend, and the fluctuation range is small. When satellite runs stably in the earth shadow period, since the load power is basically unchanged and the current fluctuation is small, the change of EOD is similar to the change of battery capacity. Battery age with increasing use time, and in the early and mid-life, when the conditions of use remain unchanged, the change in capacity is generally linear. Therefore, the predicted EOD is consistent with the aging process of satellite batteries. The blue shadow is the confidence interval of the EOD. The battery discharge duration depends on the earth shadow duration. Since the earth shadow duration changes periodically, the discharge duration, that is, the number of known data points, also changes periodically, resulting in regular changes in the confidence interval, which is consistent with the analysis in Section 3.1. In practical monitoring, the battery performance is often evaluated with the duration of a fixed voltage interval. Through comparison, it is found that the change of EOD and this value is also consistent.
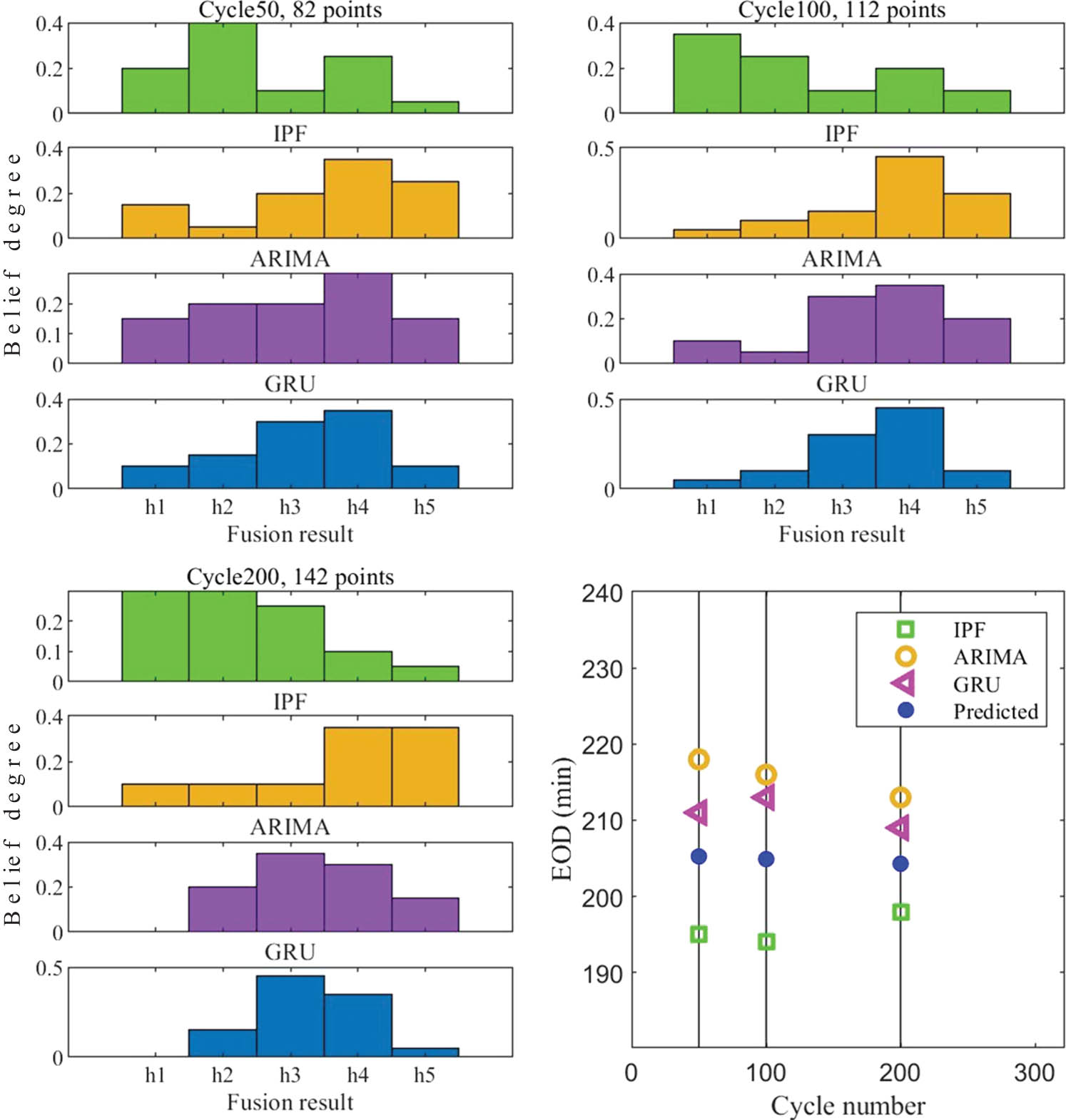
To further illustrate the role of the proposed method in uncertainty fusion, the three single methods and the proposed method are employed to forecast EOD of the 50th, 100th, and 200th cycles. The prediction results are converted into the form of belief degree distribution for comparison, and the results are displayed in Figure 8.

Comparison of predicted results for different cycles.
It can be observed that, compared with the single prediction methods, the belief degree of the prediction results of the method proposed in this paper is smaller at the boundary and larger at the center, which is close to the normal distribution and more in line with the central limit theorem. Therefore, its uncertain manifestation is more reasonable. In addition, when there are more voltage sampling points, that is, when the discharge time is longer, the belief degree is more concentrated in the center, and the distribution looks narrower, indicating that the uncertainty of the results is reduced.
In summary, the method proposed in this paper can be applied to the EOD prediction of satellite lithium-ion battery, and the prediction results can be expressed in the form of belief degree distribution, which has a certain ability to express uncertainty.
4 Conclusions
Due to the lack of historical data on full discharge of satellite battery, it is difficult to establish a strong supervision model with a single time series prediction method. In view of this problem, an EOD prediction framework based on the ER rule is proposed. The effectiveness of the method is validated with the NASA battery dataset.
The main contributions of this paper are as follows: (i) To improve the prediction accuracy, a battery EOD prediction framework based on the ER rule is proposed. (ii) To avoid wrong prediction results, the method of PF is improved. (iii) The proposed method is applied to battery EOD prediction of an in-orbit satellite.
The fusion-based method in this paper improves the prediction accuracy of EOD, but the model is more complex and computationally expensive. Future research will be conducted on this issue.
-
Funding information: This research was funded by the National Natural Science Foundation of China (Grant No. 61773388) and the Shaanxi Outstanding Youth Science Foundation (Grant 2020JC-34).
-
Author contributions: All authors have accepted responsibility for the entire content of this manuscript and approved its submission.
-
Conflict of interest: Authors state no conflict of interest.
References
Boudreaux TM. 2017. The applications of deep neural networks to sdbv classification. Open Astron. 26:258–269.10.1515/astro-D-17-0450Suche in Google Scholar
Cai Y, Zhu XF, Sun ZL, Chen AJ. 2017. Semi-supervised and ensemble learning: a review. Comput Sci. 44(6A):7–13.Suche in Google Scholar
Chen J, Feng X, Jiang L, Zhu Q. 2021. State of charge estimation of lithium-ion battery using denoising autoencoder and gated recurrent unit recurrent neural network. Energy. 227:120451.10.1016/j.energy.2021.120451Suche in Google Scholar
Chen LY, Zhou ZJ, Tang SW, Cao Y. 2020. Weapon equipment performance evaluation method with multi-information fusion. J Syst Eng Electron. 42(7):1527–1522.Suche in Google Scholar
Chen Z, Sun H, Dong G, Wei J, Wu J. 2019. Particle filter-based state-of-charge estimation and remaining-dischargeable-time prediction method for lithium-ion batteries. J Power Sources. 414:158–166.10.1016/j.jpowsour.2019.01.012Suche in Google Scholar
Cui R, Jiang Y, Tian C, Zhang R, Hu, Li J. 2021. Machine learning for the relationship of high-energy electron flux between GEO and MEO with application to missing values imputation for Beidou MEO data. Open Astron. 30:62–72.10.1515/astro-2021-0008Suche in Google Scholar
Danilov M, Karpov A. 2018. A classification of meteor radio echoes based on artificial neural network. Open Astron. 27:318–325.10.1515/astro-2018-0037Suche in Google Scholar
Dong G, Wei J, Chen Z, Sun H, Yu X. 2017. Remaining dischargeable time prediction for lithium-ion batteries using unscented Kalman filter. J Power Sources. 364:316–327.10.1016/j.jpowsour.2017.08.040Suche in Google Scholar
Dou JC, Chen ZW, Jie YX. 2013. Remaining useful life prediction for lithium battery based on ARIMA and particle filter. J Terahertz Sci Electron Inf Technol. 11(5):822–826.Suche in Google Scholar
Fan D, Sun H, Yao J, Zhang K, Yan X, Sun Z. 2021. Well production forecasting based on ARIMA-LSTM model considering manual operations. Energy. 220:119708.10.1016/j.energy.2020.119708Suche in Google Scholar
Feng C, Wang M, Ji QB. 2009. Analysis and comparison of resampling algorithms in particle filter. J Syst Simul. 21(4):1101–1110.Suche in Google Scholar
He W, Williard N, Osterman M, Pecht M. 2011. Prognostics of lithium-ion batteries based on Dempster—Shafer theory and the Bayesian Monte Carlo method. J Power Sources. 196:10314–10321.10.1016/j.jpowsour.2011.08.040Suche in Google Scholar
Hu CH, Si XS, Yang JB. 2010. System reliability prediction model based on evidential reasoning algorithm with nonlinear optimization. Expert Syst Appl. 37(3):2550–2562.10.1016/j.eswa.2009.08.024Suche in Google Scholar
Huang K, Ding H, Guo YF, Tian HJ. 2022. Prediction of remaining useful life of lithium-ion battery based on adaptive data preprocessing and long short-term memory network. T China Electrotech Soc. 37(7):57–70.Suche in Google Scholar
Kim S, Lee P-Y, Lee M, Kim J, Na W. 2022. Improved state-of-health prediction based on auto-regressive integrated moving average with exogenous variables model in overcoming battery degradation-dependent internal parameter variation. J Energy Storage. 46:103888.10.1016/j.est.2021.103888Suche in Google Scholar
Li P, Zhang Z, Xiong Q, Ding B, Hou J, Luo D, et al. 2020. State-of-health estimation and remaining useful life prediction for the lithium-ion battery based on a variant long short term memory neural network. J Power Sources. 459:228069.10.1016/j.jpowsour.2020.228069Suche in Google Scholar
Li X, Zhang L, Wang Z, Dong P. 2019. Remaining useful life prediction for lithium-ion batteries based on a hybrid model combining the long short-term memory and Elman neural networks. J Energy Storage. 21:510–518.10.1016/j.est.2018.12.011Suche in Google Scholar
Luo GQ, Luo P. 2017. Current application status and development prospect of Li-ion batteries for space. Chin J Power Sources. 41(10):1501–1504.Suche in Google Scholar
Miao Q, Cui HJ, Xie L, Zhou X. 2013. Remaining useful life prediction of the lithium-ion batter using particle filtering. J Chongqing Univ. 36(8):47–52.Suche in Google Scholar
Pola DA, Navarrete HF, Orchard ME, Rabie RS, Cerda MA, Olivares BE, et al. 2015. Particle-filtering-based discharge time prognosis for lithium-ion batteries with a statistical characterization of use profiles. IEEE T Reliab. 64(2):710–720.10.1109/TR.2014.2385069Suche in Google Scholar
Saha B, Goebel K. 2009. Modeling li-ion battery capacity depletion in a particle filtering framework. Annual Conference of the PHM Society. 1(1):1–10.Suche in Google Scholar
Swaraj A, Verma K, Kaur A, Singh G, Kumar A, Melo de Sales L. 2021. Implementation of stacking based ARIMA model for prediction of Covid-19 cases in India. J Biomed Inform. 121:103887.10.1016/j.jbi.2021.103887Suche in Google Scholar PubMed PubMed Central
Tang SW, Zhou ZJ, Jiang J, Cao Y, Chen Y, Ye YQ. 2020. Consensus evaluation of UAV swarm cooperative situation considering perturbation. Acta Aeronaut Astronaut Sin. 41(S2):13–23.Suche in Google Scholar
Tao Y D, Li N. 2017. Industrial lithium battery remaining useful life prediction based on the arima model. Comput Syst Appl. 26(11):282–287.Suche in Google Scholar
Wang Y, Chen Z. 2020. A framework for state-of-charge and remaining discharge time prediction using unscented particle filter. Appl Energ. 260:114324.10.1016/j.apenergy.2019.114324Suche in Google Scholar
Wei M, Gu H, Ye M, Wang Q, Xu X, Wu C. 2021. Remaining useful life prediction of lithium-ion batteries based on Monte Carlo Dropout and gated recurrent unit. Energy Rep. 7:2862–2871.10.1016/j.egyr.2021.05.019Suche in Google Scholar
Wei Q, Liao Y, Li HL, Yu WT, Li DW. 2013. Research of lithium-ion battery applied in DFH-4 platform. Spacecraft Eng. 22(6):69–75.Suche in Google Scholar
Xu JW, Yang Y. 2018. A survey of ensemble learning approaches. J Yunnan Univ. 40(6):1082–1092.Suche in Google Scholar
Yang JB, Xu DL. 2013. Evidential reasoning rule for evidence combination. Artif Intell. 205:1–29.10.1016/j.artint.2013.09.003Suche in Google Scholar
Zhang Y, Xiong R, He H, Pecht MG. 2018. Long short-term memory recurrent neural network for remaining useful life prediction of lithium-ion batteries. IEEE T Veh Technol. 67(7):5695–5705.10.1109/TVT.2018.2805189Suche in Google Scholar
Zhou YP, Huang MH. 2016. Lithium-ion batteries remaining useful life prediction based on a mixture of empirical mode decomposition and ARIMA model. Microelectron Reliab. 65:265–273.10.1016/j.microrel.2016.07.151Suche in Google Scholar
Zhou ZJ, Chang LL, Hu CH, Han XX, Zhou ZG. 2015. A new BRB-ER based model for assessing the life of product using data under various environments. IEEE T Syst Man Cy A. 46(11):1529–1543.10.1109/TSMC.2015.2504047Suche in Google Scholar
Zhou ZJ, Tang SW, Huang CH, Cao Y, Wang J. 2021. Evidential reasoning theory and its applications. Acta Automat Sin. 47(5):970–984.Suche in Google Scholar
Zhu W, Wang Y, Wu Y, Sun Y. 2016. A fusion model for securities analysts’ stock rating information based on the evidential reasoning algorithm under two-dimensional progressive recognition framework. Int J Secur Appl. 10(7):213–228.10.14257/ijsia.2016.10.7.19Suche in Google Scholar
© 2022 Dao Zhao et al., published by De Gruyter
This work is licensed under the Creative Commons Attribution 4.0 International License.
Artikel in diesem Heft
- Research Articles
- Deep learning application for stellar parameters determination: I-constraining the hyperparameters
- Explaining the cuspy dark matter halos by the Landau–Ginzburg theory
- The evolution of time-dependent Λ and G in multi-fluid Bianchi type-I cosmological models
- Observational data and orbits of the comets discovered at the Vilnius Observatory in 1980–2006 and the case of the comet 322P
- Special Issue: Modern Stellar Astronomy
- Determination of the degree of star concentration in globular clusters based on space observation data
- Can local inhomogeneity of the Universe explain the accelerating expansion?
- Processing and visualisation of a series of monochromatic images of regions of the Sun
- 11-year dynamics of coronal hole and sunspot areas
- Investigation of the mechanism of a solar flare by means of MHD simulations above the active region in real scale of time: The choice of parameters and the appearance of a flare situation
- Comparing results of real-scale time MHD modeling with observational data for first flare M 1.9 in AR 10365
- Modeling of large-scale disk perturbation eclipses of UX Ori stars with the puffed-up inner disks
- A numerical approach to model chemistry of complex organic molecules in a protoplanetary disk
- Small-scale sectorial perturbation modes against the background of a pulsating model of disk-like self-gravitating systems
- Hα emission from gaseous structures above galactic discs
- Parameterization of long-period eclipsing binaries
- Chemical composition and ages of four globular clusters in M31 from the analysis of their integrated-light spectra
- Dynamics of magnetic flux tubes in accretion disks of Herbig Ae/Be stars
- Checking the possibility of determining the relative orbits of stars rotating around the center body of the Galaxy
- Photometry and kinematics of extragalactic star-forming complexes
- New triple-mode high-amplitude Delta Scuti variables
- Bubbles and OB associations
- Peculiarities of radio emission from new pulsars at 111 MHz
- Influence of the magnetic field on the formation of protostellar disks
- The specifics of pulsar radio emission
- Wide binary stars with non-coeval components
- Special Issue: The Global Space Exploration Conference (GLEX) 2021
- ANALOG-1 ISS – The first part of an analogue mission to guide ESA’s robotic moon exploration efforts
- Lunar PNT system concept and simulation results
- Special Issue: New Progress in Astrodynamics Applications - Part I
- Message from the Guest Editor of the Special Issue on New Progress in Astrodynamics Applications
- Research on real-time reachability evaluation for reentry vehicles based on fuzzy learning
- Application of cloud computing key technology in aerospace TT&C
- Improvement of orbit prediction accuracy using extreme gradient boosting and principal component analysis
- End-of-discharge prediction for satellite lithium-ion battery based on evidential reasoning rule
- High-altitude satellites range scheduling for urgent request utilizing reinforcement learning
- Performance of dual one-way measurements and precise orbit determination for BDS via inter-satellite link
- Angular acceleration compensation guidance law for passive homing missiles
- Research progress on the effects of microgravity and space radiation on astronauts’ health and nursing measures
- A micro/nano joint satellite design of high maneuverability for space debris removal
- Optimization of satellite resource scheduling under regional target coverage conditions
- Research on fault detection and principal component analysis for spacecraft feature extraction based on kernel methods
- On-board BDS dynamic filtering ballistic determination and precision evaluation
- High-speed inter-satellite link construction technology for navigation constellation oriented to engineering practice
- Integrated design of ranging and DOR signal for China's deep space navigation
- Close-range leader–follower flight control technology for near-circular low-orbit satellites
- Analysis of the equilibrium points and orbits stability for the asteroid 93 Minerva
- Access once encountered TT&C mode based on space–air–ground integration network
- Cooperative capture trajectory optimization of multi-space robots using an improved multi-objective fruit fly algorithm
Artikel in diesem Heft
- Research Articles
- Deep learning application for stellar parameters determination: I-constraining the hyperparameters
- Explaining the cuspy dark matter halos by the Landau–Ginzburg theory
- The evolution of time-dependent Λ and G in multi-fluid Bianchi type-I cosmological models
- Observational data and orbits of the comets discovered at the Vilnius Observatory in 1980–2006 and the case of the comet 322P
- Special Issue: Modern Stellar Astronomy
- Determination of the degree of star concentration in globular clusters based on space observation data
- Can local inhomogeneity of the Universe explain the accelerating expansion?
- Processing and visualisation of a series of monochromatic images of regions of the Sun
- 11-year dynamics of coronal hole and sunspot areas
- Investigation of the mechanism of a solar flare by means of MHD simulations above the active region in real scale of time: The choice of parameters and the appearance of a flare situation
- Comparing results of real-scale time MHD modeling with observational data for first flare M 1.9 in AR 10365
- Modeling of large-scale disk perturbation eclipses of UX Ori stars with the puffed-up inner disks
- A numerical approach to model chemistry of complex organic molecules in a protoplanetary disk
- Small-scale sectorial perturbation modes against the background of a pulsating model of disk-like self-gravitating systems
- Hα emission from gaseous structures above galactic discs
- Parameterization of long-period eclipsing binaries
- Chemical composition and ages of four globular clusters in M31 from the analysis of their integrated-light spectra
- Dynamics of magnetic flux tubes in accretion disks of Herbig Ae/Be stars
- Checking the possibility of determining the relative orbits of stars rotating around the center body of the Galaxy
- Photometry and kinematics of extragalactic star-forming complexes
- New triple-mode high-amplitude Delta Scuti variables
- Bubbles and OB associations
- Peculiarities of radio emission from new pulsars at 111 MHz
- Influence of the magnetic field on the formation of protostellar disks
- The specifics of pulsar radio emission
- Wide binary stars with non-coeval components
- Special Issue: The Global Space Exploration Conference (GLEX) 2021
- ANALOG-1 ISS – The first part of an analogue mission to guide ESA’s robotic moon exploration efforts
- Lunar PNT system concept and simulation results
- Special Issue: New Progress in Astrodynamics Applications - Part I
- Message from the Guest Editor of the Special Issue on New Progress in Astrodynamics Applications
- Research on real-time reachability evaluation for reentry vehicles based on fuzzy learning
- Application of cloud computing key technology in aerospace TT&C
- Improvement of orbit prediction accuracy using extreme gradient boosting and principal component analysis
- End-of-discharge prediction for satellite lithium-ion battery based on evidential reasoning rule
- High-altitude satellites range scheduling for urgent request utilizing reinforcement learning
- Performance of dual one-way measurements and precise orbit determination for BDS via inter-satellite link
- Angular acceleration compensation guidance law for passive homing missiles
- Research progress on the effects of microgravity and space radiation on astronauts’ health and nursing measures
- A micro/nano joint satellite design of high maneuverability for space debris removal
- Optimization of satellite resource scheduling under regional target coverage conditions
- Research on fault detection and principal component analysis for spacecraft feature extraction based on kernel methods
- On-board BDS dynamic filtering ballistic determination and precision evaluation
- High-speed inter-satellite link construction technology for navigation constellation oriented to engineering practice
- Integrated design of ranging and DOR signal for China's deep space navigation
- Close-range leader–follower flight control technology for near-circular low-orbit satellites
- Analysis of the equilibrium points and orbits stability for the asteroid 93 Minerva
- Access once encountered TT&C mode based on space–air–ground integration network
- Cooperative capture trajectory optimization of multi-space robots using an improved multi-objective fruit fly algorithm