Abstract
There are two ways that the negligence rule is interpreted. Under one interpretation a negligent injurer is liable for the entire harm to the victim; and under the other interpretation a negligent injurer is liable only for that part of the harm which can be ascribed to his negligence. Both these versions are efficient. However, if there is uncertainty regarding whether the court will be employing the full liability version or the incremental liability version for determining the liability of a negligent injurer, notwithstanding the fact that both the versions are efficient, inefficiency is possible. It is shown in the paper that a necessary and sufficient condition for efficiency in all cases is that the subjective probability with which the injurer expects the standard version to be employed must be greater than or equal to the subjective probability with which the victim expects the standard version to be employed. For the subset of applications without complementarities in the cares of the two parties and which are such that the total social costs are minimized at a unique care-configuration, it is shown that efficiency obtains regardless of the subjective probabilities with which the parties expect the two versions. One very important conclusion that emerges from the analysis of this paper is that when courts employ more than one liability rule, even if all the employed rules are efficient, the efficiency of all outcomes cannot be taken for granted merely on the ground of the efficiency of the employed rules.
Acknowledgments
The author wishes to thank an anonymous referee for extremely helpful comments and suggestions.
Appendix
Lemma 1 Let <C, D, π, H, d*> be an application belonging to 𝒜. Let c*be such that (c*, d*)∈M. Then, regardless of the values of α and β, (c*, d*) is a Nash equilibrium.
Proof: Let <C, D, π, H, d*>∈𝒜; and let (c*, d*)∈M.
Therefore:
(1.1)–(1.3) establish that (c*, d*) is a Nash equilibrium.□
Lemma 2 Let <C, D, π, H, d*> be an application belonging to 𝒜; and let c*be such that (c*, d*)∈M. If β≥α, then we must have:
(∀(c̅, d̅)∈C×D)[(c̅, d̅) is a Nash equilibrium →(c̅, d̅)∈M].
Proof: Let <C, D, π, H, d*>∈𝒜. Let c* be such that (c*, d*)∈M. Suppose (c̅, d̅) is a Nash equilibrium.
(c̅, d̅) is a Nash equilibrium implies
and
Now, if d̅<d* we have:
Therefore if d̅<d*, (2.3) reduces to:
If d̅≥d* we have:
Therefore, if d̅≥d*, (2.3) reduces to:
(2.4) and (2.5) establish that TSC(c̅, d̅)≤TSC(c*, d*). As total social costs are minimized at (c*, d*), it follows that TSC(c̅, d̅)=TSC(c*, d*); and consequently we must have (c̅, d̅)∈M. The proposition therefore stands established.□
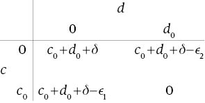
Lemma 3 If 1>α>β>0, then there exists an application belonging to 𝒜 under which the efficiency does not obtain.
Proof: Let 1>α>β>0.
Choose positive numbers δ and θ.
Let
Let
Now, consider the following application:
C={0, c0}; D={0, d0}. L(c, d), (c, d)∈C×D, is as given in the following array:

As ϵ1<c0 and ϵ2<d0, it follows that (c0, d0) is the unique TSC-minimizing care-configuration.
Let the due care for the injurer d*=d0.
We have:
(3.1) and (3.2) establish that (0, 0) is a Nash equilibrium. As (0, 0)∉M, it follows that efficiency does not obtain under the application considered here. This establishes the proposition.□
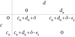
Lemma 4 If 1=α>β, then there exists an application belonging to 𝒜 under which the efficiency does not obtain.
Proof: Let 1=α>β.
Choose positive numbers δ, θ, ϵ2 and c0.
Let 0<ϵ1<c0 and
Now, consider the following application:
C={0, c0}; D={0, d0}. L(c, d), (c, d)∈C×D, is as given in the following array:

As ϵ1<c0 and ϵ2<d0, it follows that (c0, d0) is the unique TSC-minimizing care-configuration.
Let the due care for the injurer d*=d0.
We have:
(4.1) and (4.2) establish that (0, 0) is a Nash equilibrium. As (0, 0)∉M, it follows that efficiency does not obtain under the application considered here. This establishes the proposition.□
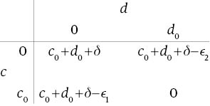
Lemma 5 If α>β=0, then there exists an application belonging to 𝒜 under which the efficiency does not obtain.
Proof: Let α>β=0.
Choose positive numbers δ, θ and d0.
Let 0<ϵ2<d0
Let
Now, consider the following application:
C={0, c0}; D={0, d0}. L(c, d), (c, d)∈C×D, is as given in the following array:

As ϵ1<c0 and ϵ2<d0, it follows that (c0, d0) is the unique TSC-minimizing care-configuration.
Let the due care for the injurer d*=d0.
We have:
(5.1) and (5.2) establish that (0, 0) is a Nash equilibrium. As (0, 0)∉M, it follows that efficiency does not obtain under the application considered here. This establishes the proposition.□
Theorem 1 A necessary and sufficient condition for efficiency under every application belonging to 𝒜 is that β be at least as large as α.
Proof: Let β≥α. Consider any a=<C, D, π, H, d*> application belonging to 𝒜. (c*, d*) is a Nash equilibrium by Lemma 1. By Lemma 2 we have: (∀(c̅, d̅)∈C×D)[(c̅, d̅) is a Nash equilibrium →(c̅, d̅)∈M]. Therefore, it follows that the efficiency obtains under a. Next suppose that α>β. Then by Lemmas 3–5 there exists an application a=<C, D, π, H, d*> under which the efficiency does not obtain. This establishes the theorem.□
Lemma 6 Let <C, D, π, H, d*> be an application belonging to 𝒜s. Then, if β>0 we must have:
(∀(c̅, d̅)∈C×D)[c̅, d̅) is a Nash equilibrium →(c̅, d̅)∈M].
Proof: Let β>0; and let <C, D, π, H, d*>∈𝒜s. Let c* be such that (c*, d*)∈M. Suppose (c̅, d̅) is a Nash equilibrium.
(c̅, d̅) is a Nash equilibrium implies
and
If d̅<d* we have:
Suppose c̅<c*∧d̅<d*.
because the application under consideration belongs to 𝒜s.
as TSC are minimized at (c*, d*).
From inequalities (6.4) and (6.5) we obtain: L(c̅, d̅)≥d*–d̅+L(c̅, d*),
which in turn implies that:
But by (6.2), EC1(c̅, d̅)≤d*.
This contradiction establishes that if c̅<c*∧d̅<d* then (c̅, d̅) cannot be a Nash equilibrium; and therefore:
If d̅≥d* we have:
Therefore, if d̅≥d*, (6.3) reduces to:
Next suppose d̅<d*∧c̅≥c*.
If d̅<d*, (6.3) reduces to:
If c̅≥c* then L(c̅, d*)≤L(c*, d*) by (A2).
From (6.10), therefore, it follow that:
As total social costs are minimized at (c*, d*), it follows that: TSC(c̅, d̅)–TSC(c*, d*)≤0→TSC(c̅, d̅)=TSC(c*, d*); and consequently we obtain: TSC(c̅, d̅)–TSC(c*, d*)≤0→(c̅, d̅)∈M. (6.7), (6.8) and (6.11), therefore, establish the lemma.□
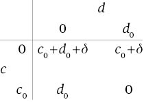
Lemma 7 If β=0∧α>0, then there exists an application belonging to 𝒜sunder which the efficiency does not obtain.
Proof: Let β=0∧α>0.
Choose positive numbers δ and d0.
Let
Now, consider the following application:
C={0, c0}; D={0, d0}. L(c, d),(c, d)∈C×D, is as given in the following array:

As δ>0 we obtain: M={(c0, 0)(c0, d0)}.
Let the due care for the injurer d*=d0.
It is clear that this application belongs to 𝒜s.
We have:
(7.1) and (7.2) establish that (0, 0) is a Nash equilibrium. As (0, 0)∉M, it follows that efficiency does not obtain under the application considered here. This establishes the proposition.□
Theorem 2 A necessary and sufficient condition for efficiency under every application belonging to 𝒜sis that (β>0∨α=0).
Proof: If α=0 then regardless of the value of β we have: β≥α; therefore, by Theorem 1, efficiency obtains under every application belonging to 𝒜s, as 𝒜s⊂𝒜. Let β>0. Consider any a=<C, D, π, H, d*> belonging to 𝒜s. (c*, d*) is a Nash equilibrium by Lemma 1 as 𝒜s⊂𝒜. By Lemma 6 we have: (∀(c̅, d̅)∈C×D)[(c̅, d̅) is a Nash equilibrium →(c̅, d̅)∈M]. Therefore, it follows that the efficiency obtains under a. This establishes the sufficiency part of the theorem. If (β=0∧α>0) then by Lemma 7 there exists an application belonging to 𝒜s under which efficiency does not obtain; which establishes the necessity part.□
Lemma 8 Let a=<C, D, π, H, d*> be an application belonging to 𝒜s∩𝒜m. Then:
(∀(c̅, d̅)∈C×D)[(c̅, d̅) is a Nash equilibrium →(c̅, d̅)∈M].
Proof: Let a=<C, D, π, H, d*>∈𝒜s∩𝒜m. Let c* be such that (c*, d*)∈M. Suppose (c̅, d̅) is a Nash equilibrium.
(c̅, d̅) is a Nash Equilibrium implies
and
If d̅<d* we have:
Suppose c̅<c*∧d̅<d*.
as TSC are uniquely minimized at (c*,d*) because a∈𝒜m.
Now, EC2(c̅, d̅)=d̅+βL(c̅, d̅)+(1–β)[L(c̅, d̅)–L(c̅, d*)]
>d̅+(d*–d̅), by (8.7)
=d*.
But by (8.2), EC2(c̅, d̅)≤d*.
This contradiction establishes that if c̅<c*∧d̅<d* then (c̅, d̅) cannot be a Nash equilibrium; and therefore:
If d̅≥d* we have:
EC1(c̅, d̅)=c̅+L(c̅, d̅); EC2(c̅, d̅)=d̅; EC1(c*, d̅)=c*+L(c*, d̅); and
EC2(c̅, d*)=d*.
Therefore, if d̅≥d*, (8.3) reduces to:
Next suppose d̅<d*∧c̅≥c*.
If d̅<d*, (8.3) reduces to:
If c̅≥c* then L(c̅, d*)≤(c*, d*) by (A2).
From (8.11), therefore, it follow that:

As total social costs are minimized at (c*, d*), it follows that: TSC(c̅, d̅)–TSC(c*, d*)≤0→TSC(c̅, d̅)=TSC(c*, d*); and consequently we obtain: TSC(c̅, d̅)–TSC(c*, d*)≤0→(c̅, d̅)∈M. (8.8), (8.9) and (8.12), therefore, establish the lemma.□
Theorem 3 Efficiency obtains under every application belonging to 𝒜s∩𝒜m.
Proof: Consider any application a=<C, D, π, H, d*> belonging to 𝒜s∩𝒜m. (c*, d*) is a Nash equilibrium by Lemma 1 as 𝒜s∩𝒜m⊂𝒜. By Lemma 8 we have: (∀(c̅, d̅)∈C×D)[(c̅, d̅) is a Nash equilibrium →(c̅, d̅)∈M]. Therefore, it follows that efficiency obtains under a. This establishes the theorem.□
References
Brown, John Prather. 1973. “Toward an Economic Theory of Liability.” Journal of Legal Studies 2: 323–350.10.1086/467501Suche in Google Scholar
Grady, Mark F. 1983. “A New Positive Theory of Negligence.” Yale Law Journal 92: 799–829.10.2307/796145Suche in Google Scholar
Grady, Mark F. 1984. “Proximate Cause and the Law of Negligence.” Iowa Law Review 69: 363–449.Suche in Google Scholar
Jain, Satish K. 2010. “On the Efficiency of the Negligence Rule.” Journal of Economic Policy Reform 13: 343–359.10.1080/17487870.2010.523972Suche in Google Scholar
Jain, Satish K. 2015. Economic Analysis of Liability Rules. New Delhi: Springer.10.1007/978-81-322-2029-9Suche in Google Scholar
Kahan, M. 1989. “Causation and Incentives to Take Care under the Negligence Rule.” Journal of Legal Studies 18: 427–47.10.1086/468154Suche in Google Scholar
Landes, William M., and Richard A. Posner. 1987. The Economic Structure of Tort Law. Cambridge, MA: Harvard University Press.10.4159/harvard.9780674864030Suche in Google Scholar
Shavell, Steven. 1987. Economic Analysis of Accident Law. Cambridge, MA: Harvard University Press.10.4159/9780674043510Suche in Google Scholar
©2016 Walter de Gruyter GmbH, Berlin/Boston
Artikel in diesem Heft
- Frontmatter
- Research Articles
- Uncertainty Regarding Interpretation of the “Negligence Rule” and Its Implications for the Efficiency of Outcomes
- Labour Market Regulations and In-formalisation of Migrant Worker: Evidence from Indian Manufacturing Sector
- The Impact of the Chinese Sovereign Wealth Funds (SWFs) On Sino-EU Relations: The Leverage between Investment and Human Rights
- Comparative Study on Anti-Treaty Shopping – Focused on Beneficial Ownership Theory
- Comparative Criminal Law: An Economic Perspective
Artikel in diesem Heft
- Frontmatter
- Research Articles
- Uncertainty Regarding Interpretation of the “Negligence Rule” and Its Implications for the Efficiency of Outcomes
- Labour Market Regulations and In-formalisation of Migrant Worker: Evidence from Indian Manufacturing Sector
- The Impact of the Chinese Sovereign Wealth Funds (SWFs) On Sino-EU Relations: The Leverage between Investment and Human Rights
- Comparative Study on Anti-Treaty Shopping – Focused on Beneficial Ownership Theory
- Comparative Criminal Law: An Economic Perspective