Abstract
Introduction
Chronic musculoskeletal pain represents a significant health problem among adults in Norway. The prevalence of chronic pain can be up to 50% in both genders. However, the prevalence of chronic widespread pain is significantly higher in females than in males. Chronic widespread pain is seen as the end of a continuum of pain. There is rather sparse knowledge about the incidence of pain in initially pain free individuals and the course of self-reported pain over time. Moreover, little is known about risk factors for incidence of chronic pain or prognostic factors for the course of self-reported pain. We believe that such knowledge may contribute to develop strategies for treatment at an early stadium of the pain condition and thereby reduce the prevalence of chronic pain included chronic widespread pain.
Aims of the study
The aims of this study were threefold: (1) to calculate the incidence of self-reported musculoskeletal pain in a female cohort, (2) to describe the course of pain and (3) to investigate whether or not health complaints and sleep problems are predictive factors for onset of pain or prognostic factors for the course of pain.
Methods
This is a prospective population-based study of all women between 20 and 50 years who were registered in Arendal, Norway, in 1989 (N = 2498 individuals). A questionnaire about chronic pain (pain >3 months duration in muscles, joints, back or the whole body), modulating factors for pain, sleep problems and seven non-specific health complaints was mailed to all traceable women, in 1990 (N =2498), 1995 (n = 2435) and 2007 (n = 2261). Of these, 1338 responded on all three occasions. Outcome measures were presence and extent of chronic pain.
Results
The prevalence of chronic pain was 57% in 1990 and 61% in 2007. From 1990 to 2007, 53% of the subjects changed pain category. The incidence of chronic pain in initially pain free individuals during follow-up was 44%, whereas the recovery rate was 25%. Impaired sleep quality predicted onset of chronic pain. There was a linear association between the number of health complaints and the incidence of chronic pain in initially pain free individuals. Equivalent results were found for persistence of pain and worsening of pain.
Conclusion
The prevalence of chronic pain was rather stable throughout the follow-up period, but the prevalence of chronic widespread pain increased. Individual changes in pain extent occurred frequently. The presence of sleep disturbances and number of health complaints predicted onset, persistence and worsening of pain.
Implications
Sleep problems must be thoroughly addressed as a possible risk factor for onset or worsening of pain. Elimination of sleep problems in an early phase is an interesting approach in treating chronic pain. More research is needed to illuminate the possible pathogenetic relations between pain, non-specific health complaints, sleep problems and also depression.
1 Introduction
Chronic musculoskeletal pain (CP) is a common complaint in the adult population. The prevalence of CP (pain ≥ 3 months) is reported to be 35-58% in population-based studies including both genders [1,2,3,4,5,6] and 40-57% in studies comprising women only [7,8,9]. A study from 15 European countries and Israel, reported a considerably lower prevalence of CP, varying from 12 to 30% in different countries [10]. The prevalence of chronic widespread pain (CWP) in Europe is reported to be 11-13% [1,3,6,11].
One study reported increasing prevalence of self-reported CP during a 4 years follow-up [4] while two other population-based studies reported a rather stable prevalence overtime [2,6]. All these studies found that variation in pain extent occurred frequently on an individual basis and that CWP were more stable than non-widespread pain.
It is known that individuals with CWP often report non-specific health complaints (NHC) like gastrointestinal symptoms, headache, numbness, sleep problems in addition to anxiety and depression [3,6,12,13]. As early as in 1975, Moldofsky et al. found that sleep problems contributed to development of pain [14]. Psychological disorders, poor self-rated health, occupational role disability and unfavorable working positions are found to be risk factors for onset of pain [4,15,16]. The number of painful sites, old age, psychological disorders and poor self-rated health are found to be prognostic factors for the course of pain [4,11].
The objective of this study was, beside to calculate the incidence and describe the course of self-reported musculoskeletal pain; to investigate whether NHC and sleep problems are risk factors for onset of pain or prognostic factors for the course of pain during a follow-up period over 17 years in a large female population.
CWP can be regarded as the end of a continuum of increasing pain extent [17,18]. Knowledge of risk factors for worsening of chronic regional pain (CRP) can be of importance; as such knowledge may contribute to develop strategies for limiting CWP [19,20].
2 Methods
2.1 Design
The present study is a population-based prospective study with 17 years follow-up. The cohort consists of adult women. The women received a questionnaire by mail in 1990, 1995 and 2007. Two reminders were sent out on each occasion.
2.2 Materials
All women born between 1st January 1940 and 31st December 1969, and registered in Arendal municipality in 1989, a total of 2498 women, were included in the study at baseline. In 1995 and 2007, as many women as possible were retraced by the Norwegian National Registry. Of these, 1338 women responded on all three occasions and were defined as triple responders.
2.3 Screening questionnaire
The questionnaire consisted of two parts (Appendix A). Part one dealt with pain issues. There were four questions about pain and/or stiffness in muscles, joints, back and the whole body during three continuous months or longer the last year. A woman who gave at least one affirmative answer in the first part was classified as a positive responder and was assumed to suffer from CP, while a woman who gave no affirmative answer was classified as a negative responder and assumed to have no chronic pain (NP).
The second part consisted of 13 questions about NHC, sleep and pain-modulating factors that are often reported by individuals with CWP [3,6,12,13]. A time frame was not specified. Four questions were related to pain, of which three were about modulating factors for pain (physical activity, weather changes or feeling nervous, anxious, mentally stressed or depressed) and one about having pain at night. The remaining nine questions were about disrupted sleep, non-restorative sleep and seven NHC. The NHC were fatigue, feeling anxious, frightened or nervous, regular headaches, rumbling stomach, alternately hard/loose stools, numbness/tingling in the skin or joints/muscles feeling swollen. The questions could be answered with ‘yes’ or ‘no’. Those who failed to answer one or more questions about NHC or sleep problems as instructed were defined as non-completers.
2.3.1 Validation of questions about pain in the screening questionnaire
Women who reported pain in (1) the combination of “muscles”, “joints” and “back” or (2) any combination involving the “whole body”, were classified as having CWP; while women who reported pain in either (1) muscles, joints or back or (2) any combination of two of these subgroups were classified as having CRP. The negative responders were assumed to have NP.
We had the opportunity to validate these interpretations. In 1990,1995 and 2007, subsamples of women underwent structured interviews and clinical examinations. The inclusion procedure is described in detail in an earlier published article [17].
The interviews and clinical examinations were conducted within a maximum of three months after each subject had returned the questionnaire. The women were asked if they had experienced pain of at least three continuous months in 16 pre-defined anatomic locations in muscles and/or joints during the last year. These data were used to validate the classification of pain extent into CRP and CWP (Table 1). In addition these data were used to estimate under-and over-report of pain. Answers given in the interview were compared with data from part one on the questionnaire. In 2007, those who reported pain in either muscles, joints or back or any combination of two of these subgroups (defined as CRP) on the questionnaire had a mean number of painful sites of 2.55 reported in the interview. For those who reported pain in muscles and back and joints or any combination involving the whole body (defined as CWP), the number of painful sites was 6.25. We concluded that the classification into CRP and CWP reflects a true difference in extent of pain.
Number of painful sites documented in structured interviews and clinical examinations in subsamples of 322 women in different pain categories in 2007.
Pain category | Total n (%) | Number of painful sites | |||
---|---|---|---|---|---|
|
|||||
0 n (%) | 1-2 n (%) | 3-16 n (%) | Mean n | ||
NP2007 | 123 (100%) | 99 (80.5%) | 14 (11.4%) | 10 (8.1%) | 0.46 |
CRP 2007 | 124 (100%) | 25 (20.2%) | 47 (37.9%) | 52 (41.9%) | 2.55 |
CWP 2007 | 75 (100%) | 2 (2.7%) | 10 (13.3%) | 63 (84%) | 6.25 |
2.4 Statistics
2.4.1 Samples and variables
The responders were distributed into three samples (Fig. 1); Sample 1: all pain free individuals in 1990 (n = 577). Sample 2: all individuals with any kind of CP in 1990 (n = 761). Sample 3: a subsample of sample 2 including only individuals with CRP (n = 607), and excluding 154 with CWP. Due to non-completers of the questionnaire, missing data appear in 12-15% in both univariate and multivariate analysis.

Study population, response and samples of responders.
We have used four explanatory variables; age, NHC, sleep problems and pain modulating factors.
Age: The responders were categorized in three; 20-29 years, 30-39 years and 40-49 years.
NHC: There are seven questions about NHC on the questionnaire. They were analyzed separately in the univariate analysis to clarify if they were associated with CP or not. However, the questions are not sufficiently extensive to draw conclusions about the casual relationship between each symptom and CP. Thus, in the multivariate model, NHC are expressed as a continuous simple count variable (from 0 to 7).
Sleep problems: The questions about disrupted sleep and non-restorative sleep are presented as two dichotomous (yes/no) variables.
Modulating factors for pain: there were three questions about modulating factors for pain; physical activity, weather changes or feeling nervous, anxious, mentally stressed or depressed. In addition, there was one question about having pain during night. The variables are dichotomous.
2.4.2 Statistical analysis
The occurrence of self-reported musculoskeletal pain and change in pain extent are presented as frequencies and the incidence of CP is calculated on the basis of this.
Applying Sample 1: we investigated whether there was an association between sleeping problems, NHC or age and development of CP by using both univariate analyses (chi-square test) and multivariate analyses (multiple logistic regression). Outcome was NP vs. CP in 2007.
Applying Sample 2: we performed the same analysis to clarify if there were any associations between the different factors and persistence of pain. Outcome was report of NP vs. CP in 2007.
Applying Sample 3: we explored if any of the factors we studied were associated with CRP evolving into CWP. Outcome was report of CRP vs. CWP in 2007.
Age was considered a possible confounding factor, thus the analysis were adjusted for age.
Age was also considered a possible effect modifying factor for the association between disrupted sleep and pain. An interaction term between age and disrupted sleep was added to the multivariate model.
In Samples 2 and 3, we also studied different modulating factors for pain and having pain during the night as possible predictors for the course of CP. In studying the association between sleep problems and pain, pain during the night was considered to be a possible confounding factor, while the other modulating factors were not. Thus, we chose to build a model were sleeping problems, NHC and age was included in all the analysis, while we added one of the modulating factors/pain at night at a time.
The analysis was performed using the SPSS 16.0 statistical package.
The project was approved by the Regional Committee of Medical Research Ethics.
3 Results
3.1 Response rates, missing values and non-responders
In 1990, 2438 of 2498 women (82%) returned the questionnaire. In 1995, 1894 of 2435 (78%) responded. In November 2006, 2261 of the initial 2498 women were traced by the Norwegian National Registry. During the follow-up period 89 women had died, 36 had moved abroad and 112 were not found in the Registry. In total, 1654 (73%) returned the questionnaire; of these, 1338 responded for the third time and were defined as triple responders (Fig. 1). The triple responders were representative of the total responder group in age, pain status, sleep problems and health complaints. As the triple responders provide a virtually complete dataset at all three registrations, the following analyses and results refer to this group. The baseline data for the triple responders are presented in Table 2.
Frequencies of chronic pain, sleep problems and non-specific health complaints and age distribution at baseline in individuals who reported no pain after 17 years vs individuals who reported chronic pain.
Exposure 1990 | No pain after 17 years, | Chronic pain after 17 years, |
---|---|---|
No pain | ||
Yes (n) | 326/577 | 251/577 |
56% | 44% | |
Chronic regional pain | ||
Yes (n) | 183/654 | 471/654 |
28% | 72% | |
Chronic widespread pain | ||
Yes (n) | 10/107 | 97/107 |
9% | 91% | |
Disrupted sleep | ||
Yes (n) | 89/500 | 337/772 |
18% | 44% | |
Fatigue | ||
Yes (n) | 150/488 | 465/776 |
31% | 60% | |
Non-restorative sleep | ||
Yes (n) | 116/467 | 367/723 |
25% | 51% | |
Anxious, frightened or nervous | ||
Yes (n) | 52/482 | 161/747 |
11% | 22% | |
Regular headache | ||
Yes (n) | 91/500 | 263/775 |
18% | 34% | |
Rumbling stomach | ||
Yes (n) | 81/505 | 233/786 |
16% | 30% | |
Alternately hard and loose stools | ||
Yes (n) | 89/502 | 148/788 |
Numbness/tingling in skin/muscles | ||
Yes (n) | 59/505 | 207/771 |
12% | 27% | |
Joints/muscles feeling swollen | ||
Yes (n) | 41/506 | 203/776 |
8% | 26% | |
NHC[a] Median (SD) |
1 (1.3) | 2 (1.7) |
Age category | ||
20-29 years (n) | 204 (48%) | 222 (52%) |
30-39 years (n) | 180 (36%) | 323 (64%) |
40-49 years (n) | 135 (33%) | 274 (67%) |
There were 460 non-responders in 1990. These individuals were somewhat younger than the whole group of responders at the same registration point (data not shown). Beyond that, we have no information on this group.
3.2 Prevalence, incidence and recovery of CP
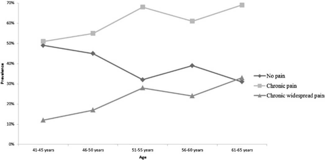
The prevalence of CP in this population at the three registration points was 57% in 1990, 53% in 1995 and 61% in 2007. The corresponding numbers for CWP are 12%, 17% and 23%. CWP increased stepwise from the youngest to the oldest age group and did not seem to stabilize during the follow-up period (Figs. 2 and 3). It seems that the prevalence of chronic pain stabilizes from 50 years onward at about 70%.

No pain, all kind of chronic pain and chronic widespread pain in different age groups in 1990.

No pain, all kind of chronic pain and chronic widespread pain indifferent age groups in 2007.
During follow-up, 44% of the initially pain free women developed chronic pain. This corresponds to an annual incidence of 2.6%. At the last registration, 25% of the individuals who reported chronic pain at baseline reported no pain. This corresponds to an annual recovery rate of 1,5%.
3.3 Initially pain-free women (Sample 1); course and risk factors for onset of CP
Of the initially pain-free 577 triple responders, 56% were still pain free in 2007, while 34% reported CRP and 10% reported CWP (Fig. 4). There was a crude association between disrupted sleep, non-restorative sleep, fatigue, feeling anxious, frightened or nervous, regular headaches, rumbling stomach, alternately hard/loose stools, increasing number of NHC and development of CP (Table 3, first column). Age had no significant influence on development of CP in the univariate analyses. In the multivariate model, disrupted sleep and number of NHC remained significantly associated with development of CP, respectively ([OR 2.0 CI (1.1-3.5)]) and ([OR 1.5 CI(1.2-1.8)]) (Table 4). However, age seems to be a confounding factor for the effect of disrupted sleep on development of CP, yet not a very strong one.

Report of no pain, chronic regional pain and chronic widespread pain in the triple responders (n =1338) in 1990 and 2007.
Sleep problems, non-specific health complaints (NHC), age and number of NHC as possible risk factors for onset of chronic pain or prognostic factors for course of chronic pain. Outcome is risk of chronic pain (Sample 1), risk of persistent pain (Sample 2) and risk of worsening of pain (Sample 3). Univariate analyses.
1: No pain at baseline, (n = 577) OR (95% CI) | 2: Chronic pain at baseline, (n = 761) OR (95% CI) | 3: Chronic regional pain at baseline, (n = 607) OR (95% CI) | |
---|---|---|---|
Disrupted sleep | 2.9 (1.6 5.1) | 2.5 (1.8 3.6) | 2.1 (1.4 3.2) |
Fatigue | 2.2 (1.5 3.2) | 2.6 (1.8 3.6) | 1.3 (0.9 2.0) |
Non-restorative sleep | 2.3 (1.4 3.7) | 2.5 (1.8 3.6) | 1.3 (0.8 1.9) |
Anxious, frightened or nervous | 2.2 (1.2 4.0) | 1.5 (1.0 2.3) | 1.7 (1.0 2.8) |
Regular headache | 1.8 (1.1 2.8) | 1.7 (1.2 2.5) | 1.2 (0.8 1.8) |
Rumbling stomach | 1.8 (1.2 2.8) | 1.9 (1.3 2.95 | 1.5 (1.0 2.4) |
Alternatively loose/hard stools | 1.6 (1.0 2.5) | 1.8 (1.2 2.6) | 1.2 (0.8 1.9) |
Numbness/tingling in skin/muscles | 1.5 (0.8 3.1) | 1.8 (1.2 2.7) | 2.2 (14 3.5) |
Joints/muscles feeling swollen | 2.5 (0.9-6.8) | 2.4 (1.6 3.7) | 1.6 (1.0 2.6) |
NHC (increasing number) | 1.5 (1.3 1.8) | 1.4 (1.3 1.6) | 13 (1.1 1.4) |
Age category | |||
20-29 years | Reference | Reference | Reference |
30-39 years | 1.2 (0.8 1.8) | 1.9 (1.2 2.8) | 2.5 (1.4 4.4) |
40-49 years | 1.1 (0.7 1.7) | 1.9 (12 2.8) | 2.7 (1.5 4.7) |
3.4 Women with initially CP (Sample 2); course and predictive factors for persistent pain
In 1990, 761 individuals reported CP. Of these, 25% were pain free in 2007, while 75% still had CP (Fig. 4). Each of the health complaints, disrupted sleep, non-restorative sleep, increasing number of NHC and age were significantly associated with persistence of CP in the univariate analyses (Table 3, second column).
As in analyses of Sample 1, only disrupted sleep ([OR 1.8 (1.1-2.7)]) and increasing number of NHC ([OR 1.2 (1.1-1.4)]), remained significantly associated with persistence of CP in the multivariate model (Table 4). Age seems to be a moderate confounding factor for the effect of disrupted sleep on the risk of having persistent pain.
Association between disrupted sleep, non-restorative sleep or number of non-specific health complaints adjusted for age in univariate analyses (first section) and in multivariate analyses (second section). Outcome is risk of chronic pain (Sample 1), risk of persistent pain (Sample 2) and risk of worsening of pain (Sample 3).
1: No pain at baseline, (n = 577) OR(95% CI) | 2: Chronic pain at baseline, (n = 761) OR (95% CI) | 3: Chronic regional pain at baseline, (n = 607) OR (95% CI) | |
---|---|---|---|
Risk factors; association adjusted for age | |||
Disrupted sleep | 2.5 (1.5 4.0) | 2.5 (1.7 3.5) | 2.2 (1.4 33) |
Non-restorative sleep | 2.0 (13 3.0) | 2.5 (1.8 3.6) | 1.3 (0.8 2.0) |
NHC | 1.5 (13 1.8) | 1.4 (13 1.6) | 13 (1.1 1.4) |
Risk factors; multivariate model | |||
Disrupted sleep | 2.0 (1.1 3.5) | 1.8 (1.1 2.7) | 2.1 (1.3 3.4) |
Non-restorative sleep | 1.0 (0.6 1.7) | 1.5 (0.9 2.3) | 0.6 (0.3 1.1) |
NHC | 1.5 (1.2 1.8) | 1.2 (1.1 1.4) | 13 (1.1 1.5) |
Age category | |||
20-29 years | Reference | Reference | Reference |
30-39 years | 1.5 (1.0 2.4) | 1.8 (1.1 2.9) | 2.5 (1.3 4.6) |
40-49 years | 1.1 (0.7 1.8) | 1.7 (1.1 2.7) | 2.6 (1.4 4.8) |
Analysing the modulating factors for pain and having pain during night, we found that pain after physical activity ([OR 1.6 (1.0-2.4)]) and pain worsened by weather changes ([OR 1.9 (1.2-3.0)]) were associated with persistent CP. Feeling nervous, anxious, mentally stressed or depressed and having pain during night did not reach a significant level (Table 5).
Pain modulating factors and pain at night. Each complaint is added separately to a multivariate model were disrupted sleep, non-restorative sleep, NHC and age are included.
Exposure 1990 | Chronic pain at baseline, (n = 761) OR (95% CI) | Chronic regional pain at baseline, (n = 607) OR (95% CI) |
---|---|---|
Physical activity | 1.6 (1.0 2.4) | 1.3 (0.8 2.1) |
Weather changes | 1.9 (1.2 3.0) | 1.4 (0.8 2.3) |
Feeling nervous, anxious, | 1.0 (0.7 1.5) | 0.7 (0.4 1.2) |
mentally stressed or frightened | ||
Pain during the night | 0.9 (0.6 1.6) | 1.9 (1.0 3.4) |
3.5 Women initially reporting CRP (Sample 3); course and risk factors for developing CWP
As described in Section 2, this is a subsample from Sample 2. In 1990, 607 individuals reported CRP. Of these, 46% reported CRP again in 2007, while 25% had developed CWP (Fig. 4).
Disrupted sleep, feeling anxious, frightened or nervous, rumbling stomach, numbness/tingling in skin/muscles and joints/muscles feeling swollen were significantly associated with increased extent of pain in the univariate analyses (Table 3, third column).
Disrupted sleep ([OR 2.1 (1.2-3.4)]) and increasing number of NHC ([OR 1.3 (1.1-1.5)]) remained significantly associated with increasing extent of pain in the multivariate model (Table 4). In this sample, age does not seem to act as a confounder.
Analysing the modulating factors for pain and having pain during night, we found that pain during night turned out to be a confounding factor as it increased the risk of worsening of pain ([OR 1.9 (1.0-3.4)]) (Table 5) and sleeping problems reached a slightly lower risk estimate than in the other analysis ([OR 1.6 (0.9-2.8)]).
A multivariate model with an interaction term between age and disrupted sleep were used in all three samples. None of the interaction terms are statistical significant, and age does not seem to be an effect modifier (data not shown).
4 Discussion
The results presented in this article are derived from a large population-based survey with 17 year follow-up. The main findings are that disrupted sleep and increasing number of NHC were risk factors for onset of CP and predictive factors for an unfavorable course of CP. The prevalence of CP was rather stable, though with frequent individual variations in pain extent.
4.1 Prevalence of CP
At all three registrations the prevalence of self-reported CP was higher than 50%. This prevalence is among the highest presented in European studies [1,2,3,4,5,6,10]. There are several factors that can contribute to this.
We have used a time frame of one year for reporting CP. The same definition has been used in a Swedish [2] and a Norwegian study [5]. In the Swedish study, a prevalence of CP of 35% was found, while the prevalence of CP in the Norwegian study was reported to be 45% and 48% at two different registration points. Two other studies asked for persistent pain the last three months ahead of the distribution of the questionnaires. The prevalence found in these studies was 45 and 54% [4,7]. Based on these figures, we assume that the time frame did not affect the results significantly. However, Breivik et al. used a stricter definition requiring among others >6 months duration of pain and intensity of 5 or more on a scale from 1 (no pain) to 10 (worst pain imaginable), and probably this resulted in a lower prevalence [10].
The present study is performed on a population consisting solely of females aged 20 50 years at baseline and 37–67 years at the last registration. The prevalence of CP, and especially CWP, is higher in females than in men, and the prevalence of CP tends to increase until the age of 65 years [5,7,9]. This may result in a higher prevalence of CP in this population compared to mixed populations aged 20 74 years which are the most commonly used study populations.
The prevalence of CP increased by 4.3% from 1990 to 2007. However, due to the likely magnitude of error introduced by under- and over-reporting (Table 1), we conclude that the prevalence is rather stable throughout the follow-up period. On the other hand there was a marked increase in women with CWP, especially in the older age group. Thus, the most prominent change in this population was that the pain problem intensified with respect to pain extent.
4.2 Risk factors
We have studied age, health complaints and sleep problems as possible risk factors for onset of and for different courses of CP.
It is known that prevalence of CP is higher in older age groups [1]. Our results indicate that increasing age is not a risk factor for onset of pain. However, age turned out to be a risk factor for CRP developing to CWP and it was a moderate confounder on the effect of disrupted sleep. There was no indication of age being an effect modifier on the effect of sleep.
Health complaints were reported significantly more often at baseline by pain-free women who developed CP during follow-up than by those who remained pain free, and by women who had an unfavorable course of their pain condition. Similar results are reported by others [12,21]. In this study, one question covered each complaint (Appendix A). This is not sufficient to draw conclusions with regards to the importance of each complaint being an independent risk factor for development, persistence or worsening of pain. The number of health complaints however, was significantly associated with both development of CP and a negative course of CP.
Disrupted sleep was an independent risk factor for development of chronic pain in initially pain free women in this study (OR 2.0, 95% CI 1.1-3.5). Of the pain-free women who reported sleep problems in 1990, 62% had developed CP in 2007. It has been assumed that there is a correlation between CP and sleep problems [22,23,24]. Experimental studies have supported the assumption that there is a bidirectional relationship between sleep disturbances and pain [25,26,27,28].
There are a few prospective studies in which sleep problems have been studied as a possible risk factor for the development of pain [29,30]. A 14-year follow-up study from Norway concluded that sleep problems, in addition to sex, age, education and number of painful sites at baseline, predicted the number of painful sites at the follow-up [31]. CWP is a main part of the fibromyalgia syndrome. A newly published study documented that sleep problems in pain free individuals is a risk factor for development of fibromyalgia [32]. Results from the present study support the assumption that the quality of sleep plays an important role in development of CP.
Sleep problems were also associated with persistence of CP compared to becoming pain free and also with worsening of pain. However, when pain during night was added to the model, we found that there were some confounding between pain during night and sleep problems in the analyses concerning worsening of pain. The risk estimate for sleep problems was however, only slightly reduced. In the analyses concerning persistence of pain, there was no confounding between these two variables.
As many as 53% of the women reported changes in pain severity. Most individuals moved only one category (from NP to CRP or from CRP to CWP or vice versa). Among women with CP, CWP was the most stable condition; 79% of those who reported CWP in 1990 and 1995 still had CWP in 2007 while only 4% had become negative responders. This is in contrast to individuals with CRP; of those who reported CRP in both 1990 and 1995, 24% were pain free in 2007. These findings indicate that an increased pain extent is a risk factor for persistent pain in addition to pain per ce. Our results support findings from earlier studies [2,31].
4.3 Common considerations
Our findings of an association between increasing number of NHC and sleep problems and both development and worsening of CP may indicate related pathogenetic mechanisms for these conditions. However, CP is a complex condition and it may co-exist with other conditions like depression [33]. Depression also includes NHC and sleep problems. There are significant deficiencies in the understanding of the relationship between pain, NHC, sleep problems and depression. It is suggested that CP and depression share some pathological pathways, and that this may be the explanation to the similarities in complaints [34,35].
In the present study, the screening questionnaire did not comprise questions about self-reported depression, and thus, we cannot outline if depression preceded pain. However, we believe that our finding of an association between NHC, sleep problems and CP is valuable in identifying individuals with an increased risk of developing CP.
4.4 Considerations concerning registration of pain
Our use of the term “CWP” in results from the questionnaire based survey can be criticized as we have not used a mannequin or asked detailed questions about localizations of pain. However, results from the comparison of answers given on the questionnaire with answers given in the interview showed that the mean number of painful sites reported by women classified as having CRP, was 2.55. Referring to the ACR-90 criterion, the smallest possible number of painful sites in individuals with CWP is three. This supports our assumption that individuals classified as having CRP in this study actually have localized pain. The mean number of painful sites reported by individuals we classified as having CWP was 6.25, which reflects a marked increase in pain extent compared to CRP, and referring to the ACR-90 criterion of widespread pain, we decided to use the term CWP.
In questionnaire-based surveys, there is a risk of under- and over-reporting the degree of pain. In 1990, 21% of the women over-reported pain. In 2007, 20% of the negative responders underreported pain and 20% of the positive responders over-reported pain (Table 1). This illustrates that questionnaire-based surveys about CP must be interpreted with caution.
Another source of error may be that the non-responders did not match the responder group. The non-responders from 1990 were somewhat younger than the rest of the cohort. Restricting the analysis to the triple responders may result in selection bias. However, the triple responder group equalizes the total responder group, and we therefore believe that the selection of triple responders will not affect the results.
4.5 Considerations concerning registration of risk factors
The questions about the different health complaints and sleep problems are rather simple and this simplicity might be criticized [24]. As the questionnaire opted only for ‘yes’ and ‘no’ answers, this must be seen as coarse screening. On the other hand, related to clinical practice where time for each patient is often limited, meaningful screening questions can be of importance. A time frame was not stated for these questions. The questions were asked in the present tense. We assumed that the individuals answered the questions about health complaints on the basis of their experience of their general health.
5 Conclusion
This is a relatively large prospective study with long follow-up comprising exactly the same participants at three registrations, and it permits us to draw some conclusions about the prevalence and course of pain among adult females. There was a minor increase in the prevalence of self-reported pain, however, there was a marked increase in the number of individuals with CWP, especially among the eldest. Thus, we may conclude that the pain problem in this population has been worsened during these 17 years.
Individual changes in pain extent occurred frequently. Increasing age was a risk factor for persistence and worsening of pain. The number of health complaints and sleep problems were risk factors for onset of pain, persistence of pain and development of CWP. Age was a moderate confounder on the effect of disrupted sleep on persistence and worsening of pain but it was not an effect modifier.
6 Implications
In this population, increasing number of NHC and sleep problems preceded both onset and worsening of pain. This may be a tool for positive intervention to prevent onset/worsening of pain in individuals with such problems. We believe that knowledge about risk factors can be especially useful for physicians working in primary care which often meet patients in early stages of their pain condition.
Further research in exploring possible common pathological pathways between depression, sleep problems and NHC in people suffering from pain, is mandatory for understanding CP.
DOI of refers to article: http://dx.doi.org/10.1016/j.sjpain.2012.07.004.
Acknowledgements
This project has been financed with the aid of EXTRA funds from the Norwegian Foundation for Health and Rehabilitation, The Norwegian Fibromyalgia Association and Olga and Henry Been’s Legacy.
The authors declare no financial or other relationships that might lead to a conflict of interest.
Appendix A. Questionnaire
1. Did you have pain and/or stiffness for at least three consecutive months during the last year at any of these sites?
Yes | No | ||
---|---|---|---|
(a) | Joints | ||
(b) | Muscles | ||
(c) | Back | ||
(d) | Whole body |
2. General complaints
Yes | No | ||
---|---|---|---|
(a) | Does the pain become worse after physical activity? | ||
(b) | Does the pain/stiffness change with the weather? | ||
(c) | Does the pain/stiffness increase if you become nervous, anxious, mentally stressed or depressed? | ||
(d) | Do you often have pain at night? | ||
(e) | Do you often wake up at night or have poor sleep? | ||
(f) | Do you often feel tired and listless? | ||
(g) | Do you feel refreshed in the morning? | ||
(h) | Do you feel anxious, frightened or nervous? | ||
(i) | Do you often have a headache? | ||
(j) | Does your stomach often rumble? | ||
(k) | Do you have alternately loose and hard stools? | ||
(l) | Do you feel numbness or tingling in skin or muscles? | ||
(m) | Do your joints and/or muscles feel swollen? |
Abbreviation
- NHC
-
non-specific health complaints.
References
[1] Bergman S, Herrstrom P, Hogstrom K, Petersson IF, Svensson B, Jacobsson LT. Chronic musculoskeletal pain, prevalence rates, and sociodemographic associations in a Swedish population study. J Rheumatol 2001;28:1369–77.Search in Google Scholar
[2] Bergman S, Herrstrom P, Jacobsson LT, Petersson IF. Chronic widespread pain: a three year follow up of pain distribution and risk factors. J Rheumatol 2002;29:818–25.Search in Google Scholar
[3] Croft P, Rigby AS, Boswell R, Schollum J, Silman A. The prevalence of chronic widespread pain in the general population. J Rheumatol 1993;20:710–3.Search in Google Scholar
[4] Elliott AM, Smith BH, Hannaford PC, Smith WC, Chambers WA. The course of chronic pain in the community: results of a 4-year follow-up study. Pain 2002;99:299–307.Search in Google Scholar
[5] Hagen K, Linde M, Heuch I, Stovner LJ, Zwart JA. Increasing prevalence of chronic musculoskeletal complaints. A large 11-year follow-up in the general population (HUNT 2 and 3). Pain Med 2011;12:1657–66.Search in Google Scholar
[6] Papageorgiou AC, Silman AJ, Macfarlane GJ. Chronic widespread pain in the population: a seven year follow up study. Ann Rheum Dis 2002;61: 1071–4.Search in Google Scholar
[7] Abusdal UG, Hagen KB, Bjorndal A. [Self-reported chronic muscle pain among women in Oslo]. Tidsskr Nor Laegeforen 1997;117:1606–10.Search in Google Scholar
[8] Forseth KO, Forre O, Gran JT. A 5.5 year prospective study of self-reported musculoskeletal pain and of fibromyalgia in a female population: significance and natural history. Clin Rheumatol 1999;18:114–21.Search in Google Scholar
[9] Schochat T, Raspe H. Elements of fibromyalgia in an open population. Rheumatology 2003;42:829–35.Search in Google Scholar
[10] Breivik H, Collett B, Ventafridda V, Cohen R, Gallacher D. Survey of chronic pain in Europe: prevalence, impact on daily life, and treatment. Eur J Pain 2006;10:287–333.Search in Google Scholar
[11] McBeth J, Macfarlane GJ, Hunt IM, Silman AJ. Risk factors for persistent chronic widespread pain: a community-based study. Rheumatology 2001;40: 95–101.Search in Google Scholar
[12] Rohrbeck J, Jordan K, Croft P. The frequency and characteristics of chronic widespread pain in general practice: a case-control study. Br J Gen Pract 2007;57:109–15.Search in Google Scholar
[13] Wolfe F, Smythe HA, Yunus MB, Bennett RM, Bombardier C, Goldenberg DL, Tugwell P, Campbell SM, Abeles M, Clark P. The American College of Rheumatology 1990 Criteria for the Classification of Fibromyalgia. Report of the Multicenter Criteria Committee. Arthritis Rheum 1990;33:160–72.Search in Google Scholar
[14] Moldofsky H, Scarisbrick P, England R, Smythe H. Musculosketal symptoms and non-REM sleep disturbance in patients with “fibrositis syndrome” and healthy subjects. Psychosom Med 1975;37:341–51.Search in Google Scholar
[15] Andersson HI. The course of non-malignant chronic pain: a 12-year follow-up of a cohort from the general population. EurJ Pain 2004;8:47–53.Search in Google Scholar
[16] Gureje O, Simon GE, Von KM. A cross-national study of the course of persistent pain in primary care. Pain 2001;92:195–200.Search in Google Scholar
[17] Forseth KO, Husby G, Gran JT, Forre O. Prognostic factors for the development of fibromyalgia in women with self-reported musculoskeletal pain. A prospective [35 study. J Rheumatol 1999;26:2458–67.Search in Google Scholar
[18] Nielsen LA, Henriksson KG. Pathophysiological mechanisms in chronic musculoskeletal pain (fibromyalgia): the role of central and peripheral sensitization and pain disinhibition. Best Pract Res Clin Rheumatol 2007;21:465–80.Search in Google Scholar
[19] Bergman S. Management of musculoskeletal pain. Best Pract Res Clin Rheumatol 2007;21:153–66.Search in Google Scholar
[20] Roehrs TA. Does effective management of sleep disorders improve pain symptoms? Drugs 2009;69 (Suppl 2):5–11.Search in Google Scholar
[21] Hunt IM, Silman AJ, Benjamin S, McBeth J, Macfarlane GJ. The prevalence and associated features of chronic widespread pain in the community using the ‘Manchester’ definition of chronic widespread pain. Rheumatology 1999;38:275–9.Search in Google Scholar
[22] Bennett RM, Clark SR, Campbell SM, Burckhardt CS. Low levels of somatomedin C in patients with the fibromyalgia syndrome. A possible link between sleep and muscle pain. Arthritis Rheum 1992;35:1113–6.Search in Google Scholar
[23] Davies KA, Macfarlane GJ, Nicholl BI, Dickens C, Morriss R, Ray D, McBeth J. Restorative sleep predicts the resolution of chronic widespread pain: results from the EPIFUND study. Rheumatology 2008;47:1809–13.Search in Google Scholar
[24] Moldofsky H. Rheumatic manifestations of sleep disorders. Curr Opin Rheumatol 2010;22:59–63.Search in Google Scholar
[25] Brandt JA, Churchill L, Guan Z, Fang J, Chen L, Krueger JM. Sleep deprivation but not a whisker trim increases nerve growth factor within barrel cortical neurons. Brain Res 2001;898:105–12.Search in Google Scholar
[26] Chhangani BS, Roehrs TA, Harris EJ, Hyde M, Drake C, Hudgel DW, Roth T. Pain sensitivity in sleepy pain-free normals. Sleep 2009;32:1011–7.Search in Google Scholar
[27] Hamilton NA, Affleck G, Tennen H, Karlson C, Luxton D, Preacher KJ, Templin JL. Fibromyalgia: the role of sleep in affect and in negative event reactivity and recovery. Health Psychol 2008;27:490–7.Search in Google Scholar
[28] Krueger JM. The role of cytokines in sleep regulation. Curr Pharm Des 2008;14:3408–16.Search in Google Scholar
[29] Canivet C, Ostergren PO, Choi B, Nilsson P, af SU, Moghadassi M, Karasek R, Isacsson SO. Sleeping problems as a risk factor for subsequent musculoskeletal pain and the role of job strain: results from a one-year follow-up of the Malmo Shoulder Neck Study Cohort. Int J BehavMed 2008;15:254–62.Search in Google Scholar
[30] Kaila-Kangas L, Kivimaki M, Harma M, Riihimaki H, Luukkonen R, Kirjonen J, Leino-Arjas P. Sleep disturbances as predictors of hospitalization for back disorders-a 28-year follow-up of industrial employees. Spine (Phila Pa 1976) 2006;31:51–6.Search in Google Scholar
[31] Kamaleri Y, Natvig B, Ihlebaek CM, Benth JS, Bruusgaard D. Change in the number of musculoskeletal pain sites: a 14-year prospective study. Pain 2009;141:25–30.Search in Google Scholar
[32] Mork PJ, Nilsen TI. Sleep problems and risk of fibromyalgia: longitudinal data from the Norwegian HUNT-study. Arthritis Rheum 2011.Search in Google Scholar
[33] Bair MJ, Wu uuJ, Damush TM, Sutherland JM, Kroenke K. Association of depression and anxiety alone and in combination with chronic musculoskeletal pain in primary care patients. Psychosom Med 2008;70:890–7.Search in Google Scholar
[34] Delgado PL. Common pathways of depression and pain. J Clin Psychiatry 2004;65(Suppl 12):16–9.Search in Google Scholar
[35] von KL, Ekselius L. Idiopathic pain and depression. Qual Life Res 1994;3(Suppl 1):S57–68.Search in Google Scholar
© 2012 Scandinavian Association for the Study of Pain
Articles in the same Issue
- Editorial comment
- What should we assess in outcome-studies to learn which patients benefit from treatments in multidisciplinary pain clinics?
- Clinical pain research
- Multidisciplinary pain treatment – Which patients do benefit?
- Editorial comment
- Sleeping with pain—A nightmare
- Clinical pain research
- Are sleep problems and non-specific health complaints risk factors for chronic pain? A prospective population-based study with 17 year follow-up
- Editorial comment
- The life long burden of suffering from postherpetic neuralgia is reduced by adult vaccination and by topical anti-hyperalgesic treatment with lidocaine and capsaicin
- Topical review
- Postherpetic neuralgia: New hopes in prevention with adult vaccination and in treatment with a concentrated capsaicin patch
- Editorial comment
- Can we measure the relative contributions of peripheral and central mechanisms of painful conditions, and how can it guide therapy?
- Human experimental study
- ‘Central sensitization’ in chronic neck/shoulder pain
- Editorial comment
- Appropriate interventional management of whiplash-associated pain disorders is effective
- Educational case report
- Treatment of post-traumatic pain, and autonomic and muscular dysfunction by ganglion impar block and medial branch block of the facet joints: A case report
Articles in the same Issue
- Editorial comment
- What should we assess in outcome-studies to learn which patients benefit from treatments in multidisciplinary pain clinics?
- Clinical pain research
- Multidisciplinary pain treatment – Which patients do benefit?
- Editorial comment
- Sleeping with pain—A nightmare
- Clinical pain research
- Are sleep problems and non-specific health complaints risk factors for chronic pain? A prospective population-based study with 17 year follow-up
- Editorial comment
- The life long burden of suffering from postherpetic neuralgia is reduced by adult vaccination and by topical anti-hyperalgesic treatment with lidocaine and capsaicin
- Topical review
- Postherpetic neuralgia: New hopes in prevention with adult vaccination and in treatment with a concentrated capsaicin patch
- Editorial comment
- Can we measure the relative contributions of peripheral and central mechanisms of painful conditions, and how can it guide therapy?
- Human experimental study
- ‘Central sensitization’ in chronic neck/shoulder pain
- Editorial comment
- Appropriate interventional management of whiplash-associated pain disorders is effective
- Educational case report
- Treatment of post-traumatic pain, and autonomic and muscular dysfunction by ganglion impar block and medial branch block of the facet joints: A case report